请点击上方蓝色字体“邹生书数学”,订阅本微信公众号;请点击右上角的“…”,发送给朋友或分享到朋友圈。
公众号“邹生书数学”创建于2018年8月28日。
开号宗旨:为热爱学习和研究的高中数学教师和教研员搭建学习交流平台,提升教学能力,促进专业发展。本公众号致力传播数学文化,发表教研成果,交流教学经验,探讨数学问题,展示解题方法,分享教学资源,为服务高中教学作贡献。
邹生书,男,1962年12月出生,本科学历,理学士学位,中学数学高级教师,黄石市高中数学骨干教师。主要从事高中数学教学、高中数学解题研究和探究性学习等。从2007年8月到2018年8月,在《数学通讯》《数学通报》《数学教学》《中学数学》《中学数学教学》等,二十多种学术期刊上发表解题和探究性学习文章300余篇。
公众号“邹生书数学”诚请高中数学教师、教研员和热爱数学的朋友不吝赐稿。来稿请注明真实姓名、工作单位和联系方式,一般只接受word文档格式的电子稿件,文稿请认真审查,防止错漏,确保无误,文责自负。
投稿邮箱:zoushengshu@163.com;
商务联系:13297228197。
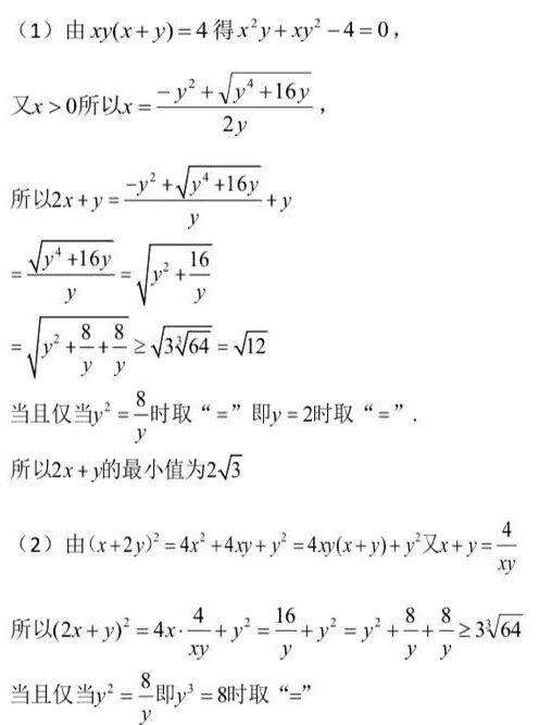
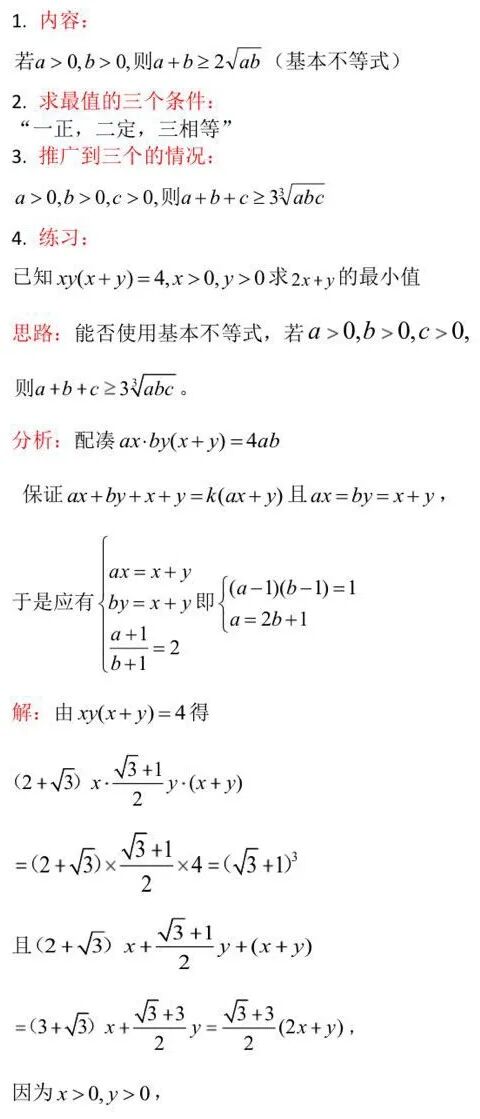
一道训练“配凑法”使用基本不等式
求最值的题目
山西省朔州市朔城区一中 柴淑兰 王丽敏
总结:该题对于使用基本不等式应该注意的条件,特别是求最值必须考虑的等号成立的条件还是有一定的警示作用,也能培养学生的探究意识和探究精神。另外也可以考虑消元法后使用基本不等式求解:
作者文章链接:
柴淑兰——关于“高中数学必修1第一章”难点处理策略(“待续”完整版)
柴淑兰,山西省朔州市朔城区一中数学教师,副高级职称,省学科带头人,区教学能手,学科名师、优秀班主任、师德标兵,从教29年,坚持工作在教学第一线,主持年级教学工作,兼任班主任,工作踏实,教学风格严谨细致,注重基础,追本溯源,管理班级粗中有细游刃有余,深得学生敬重和家长好评。
长按或扫描二维码关注本公众号!
投稿邮箱:zoushengshu@163.com;
商务联系:13297228197。