请点击上方蓝色字体“邹生书数学”,订阅本微信公众号;请点击右上角的“…”,发送给朋友或分享到朋友圈。
公众号“邹生书数学”创建于2018年8月28日。
开号宗旨:为热爱学习和研究的高中数学教师和教研员搭建学习交流平台,提升教学能力,促进专业发展。本公众号致力传播数学文化,发表教研成果,交流教学经验,探讨数学问题,展示解题方法,分享教学资源,为服务高中教学作贡献。
邹生书,男,1962年12月出生,本科学历,理学士学位,中学数学高级教师,黄石市高中数学骨干教师。主要从事高中数学教学、高中数学解题研究和探究性学习等。从2007年8月到2018年8月,在《数学通讯》《数学通报》《数学教学》《中学数学》《中学数学教学》等,二十多种学术期刊上发表解题和探究性学习文章300余篇。
公众号“邹生书数学”诚请高中数学教师、教研员和热爱数学的朋友不吝赐稿。来稿请注明真实姓名、工作单位和联系方式,一般只接受word文档格式的电子稿件,文稿请认真审查,防止错漏,确保无误,文责自负。
投稿邮箱:zoushengshu@163.com;
商务联系:13297228197。
用课本例题撬起学生探究之趣
彭光焰(湖北省广水市一中)
摘 要:通过课本例题设置问题情境,激活学生思考,让学生主动参与探究,突出规律探究和知识发现,探究问题解法和变式,充分发挥课本例题的教学功能。
关键词:不等式;探究证法;变式教学
创设问题情境,激发学生探究中的智慧潜能。
学习的契机蕴含在学生与身边的学习资源和人的交互中,我们深度创设问题情境,让学生借助身边的材料和已有的知识经验发挥自己的智慧潜能,应对学习中的挑战,在解决问题的过程中,完成新旧知识的整合,逐步建构起对新知识的自我认知。课本例题是经过专家的精心挑选而成,有些例习题初看起来很平常,实际上却丰富多彩,蕴涵着漂亮的结论。
教材内容丰富多样,怎样才能调动学生们的感官对材料产生敏感度,激发他们的探究兴趣。我们认为教师要深度研究教材,准确把握教材,重视教材在数学教学中重要地位,利用好教材例习题,这不仅增加了学生与教材互动的亲密程度,也让学生在学习过程中有更多的选择空间,释放出内心对教材的理解和感受。学生们的解决问题思路大多来源于以前所学的知识、方法和技能,在自发探究的过程中,他们会在观察、操作、筛选、尝试中建构自己对教材知识的一系列感知和解读,选择出他们认为可以帮助自己达成学习目的的方法,通过具体的操作和创造性地使用教材,表达自己对教材内容的理解和感知。
由于学生都是具有差异的不同个体,每个学生都是相对独立的,即使他们在同个班级学习,他们的智力发展水平不一,兴趣不同,应采用小团队式教学,使处于不同发展水平的学生在相互作用中都获得长进。在小团队式教学中,学生会不断从同伴身上汲取智慧、策略和经验方法,通过小组讨论和交流,使得这些想法不断修正或者实现,一起推动思维往更高级的方向前进,这种群众式的互动学习,让学生在合作式探究中,容易获得更加愉悦的心理体验,同时更能发现自己在团队中的贡献和价值,变得乐于与同伴一起分享自己的学习体验。
学生的学习,往往伴随着想法的深入或者学习过程中其他因素的融入和改变,而出现不确定的学习进程,学生会对自己的学习,进行重新的规划和重心转移,拟定一系列假设和猜想性的推断,再次呈现自己在学习中所要表达的内容或者挑战自己认为难度很不一般的事情,教师要及时观察到学生学习中的动态,适时给予鼓励,用一种支持性的语言和动作,帮助学生勇敢尝试,验证自己的新假设和新猜想。把教学中的资源,变成激发和支持学生学习意图的材料,在学生自主探究的过程中,丰富了学生学习的情境。学生通过与周围人、事、物的交互作用,获得有关的知识、经验并形成自身的观念,呈现出对世界不同的认识和解读。学生通过主动的探究,找到了一种愿意与周围人和环境分享自己的动力。
思维总是由问题开始的,而经典问题的探究常常是排疑解难的过程中被激发出来的。思起于疑问,问能解惑,问能知新,问能生成精彩的解答方法。在课堂教学中,教师不仅要善于设问,更应满腔热情地引导学生敢问、会问、爱问、善问,不断促进问题解决意识的高效、持续地发展。
此题是《普通高中课程标准实验教科书·选修4-5》(人教社A版第35页例题3)课本上用柯西不等式证明此题。此题已知条件和要证的结论都是对称的,本题是一道简明的不等式证明题,可以从多途径、多角度去思考证明方法。由于此题证法较多,故在教学中可前置性处理此题,即在学习柯西不等式前要求同学们证明此题,把此题放在测试卷中,或者要求学生对此题进行一题多证。前置性学习是一种重要的学习方式。前置性学习过程中学生有更多自主学习的空间,它是学生自己摸索、理解的自主学习过程。
德国教育家第斯多惠批出:“教学的艺术不在传授本领,而在于唤醒、鼓舞和激励”。学生只有亲身体验学习的过程,知识才容易内化、迁移、发散。实践证明最有效的教学是教师以学生为学习的主体,引导他们主动学习,激发学习热情。因此,教师要充分利用好教材,要善于创设情境,将可以前置学习的内容前置,有效地指导学生从熟悉的学习情境迁移知识和技能,提高探究、评价和创造能力,有效的前置内容能够激发学生的求知欲,使学生的求知心态由潜伏状态转入活跃状态,充分发挥学生学习新知识的积极性和主动性。有效的前置内容能促使学生主动学习,积极思考,勇于探索,享受学习过程的乐趣,体验成功的喜悦。
1 多角度审视,全面探究证法
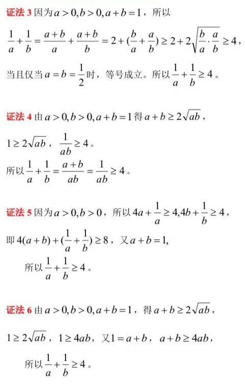
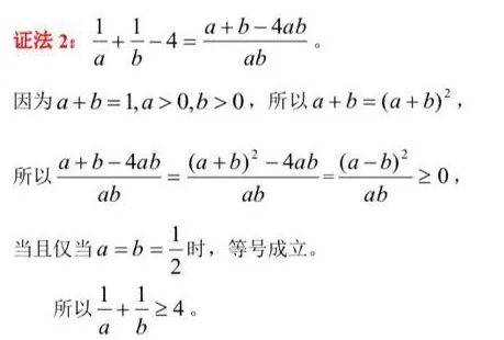
1.1比较法
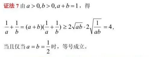
1. 2综合法
分析2:在不等式的证明中,我们经常从已知条件、不等式的性质和基本不等式等出发,通过逻辑推理,推导出所要证明的结论。
用综合法证明也有多种途径,主要由于对已知条件的使用和对要证的结论变形不一样所致。
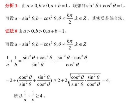
1.3 三角代换法
1.4分析法
分析4:在思考数学命题时,执果索因和由因导果总是不断交替地出现在思维过程中,有些问题可以用综合法证明,也可以从要证的结论入手,去逐步地推求使之成立所需的条件,也就是说也可以用分析法证明。
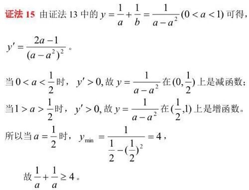
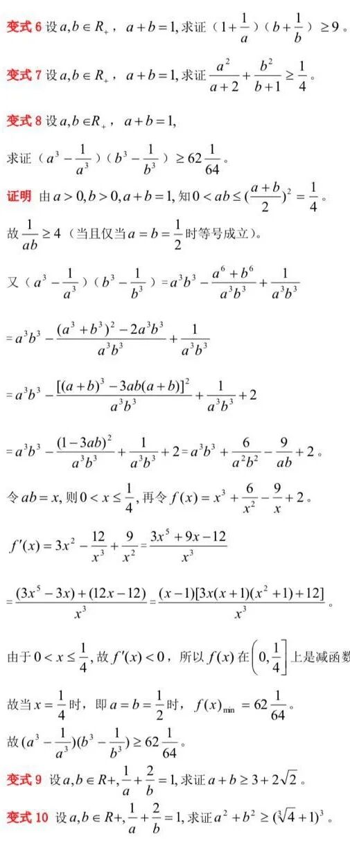
1.10 导数法
分析10:导数是求函数最值和证明不等式的有力工具。
1.11 柯西不等式法
分析11:柯西不等式在证明不等式中有广泛用途。用柯西不等式时,既要注意它的数学意义,又要注意它的外在形式,当一个式子与柯西不等式的左边或右边具有一致的形式时,就可以考虑利用柯西不等式对这个式子进行放大或缩小。
2 实施变式教学,培养学生能力
在数学教学中,恰当合理的变式能营造一种生动活泼、宽松自由的氛围,能开拓学生的视野,激发学生的思维,有助于培养学生的探索精神与创新意。同时,学生可以多层次、广视角、全方位地认识数学问题,使学生的提出问题能力、思维能力、分析问题能力和解决问题的能力充分的提高。
3 教后思考
怎样的例习题教学才是学生所需要的?怎样组织例习题课教学可使教学效果更佳?结合平时例习题教学中的探讨以及对新课标理念的理解,笔者认为在进行例习题教学中以下几点值得注意。
3.1 例习题的选题应由“多而杂”向“少而精”转化。教师所选题目多且杂,学生往往不容易抓住解题要点,学习过程中注意力容易分散,如果能选择适合多数学生又难易适中的典型题目,既可激发学生的兴趣又便于老师将题目进行深入浅出的讲解和拓展。
3.2 例习题教学方式可以由“单向输出式”的灌输法转变为“师生交流”的教学相长法。传统的例习题课,老师枯燥无味的独角戏,学生听着听着就失去兴趣,只介绍用柯西不等式证明上面例题,这样处理该题显然不符合教材的要求,没有把握好教材,对教材钻研不深,教学效率也是低下的。十六种证法全由老师讲授,学生除了对老师个人表示崇拜以外,就缺少那种运用知识解决问题时所取得的成就感和在辨析中澄清错误明白道理的过程体验。当然老师也失去了欣赏学生, 师生共同交流,实现教学相长的收获。因此习题教学中不妨多一些交流,让师生的智慧的星火燎原到各个学生心田。
3.3 教学态度应由站立挑错式转变为下蹲欣赏式。“好学生是表扬出来的”,此话的意义在例习题教学中尤为突出,当学生们灵活运用知识解决了“难题”后,老师恰如其分的一句表扬会让他们如沫春风,干劲十足;哪怕是闪过的一点思想火花得到教师及时的肯定,亦会让他们津津乐道,乐此不疲。
3.4 教学过程由单一讲题到“讲—议—变—练—归纳“相结合。老师讲例题时可以充分挖掘例题中的条件,尽可能地一题多解、一题多变、举一反三,将知识串联起来,使学生融会贯通,比如在上面例题讲解时,引导学生从多角度寻找对问题进行变式,对变式进行解决。
3.5 教学结束由草草收兵到“画龙点睛”般升华。在例习题课教学中,由于上数量,赶进度,老师最后收尾时时间较紧,往往草草收兵。如果教师在设计教学时,能预留时间引导学生回头看看,进一步理清思路,对提高学生的分析综合能力、归纳总结能力会很有帮助,整堂课的教学效果也将如同“画龙点睛”般得到升华。
3.6 课本是学生知识资源的依据,课本中的例题、习题是学生务必掌握的。因考虑到教学的阶段性要求,课本中的例题一般或体现某个定理(公式)的应用,或体现某种解题(思想)方法,具有基础性和示范性,有利于学生模仿、操练。笔者认为,适时、适度地对课本例题(习题)进行拓展,值得提倡。通过拓展,建立联系,整合知识,提炼思想方法,有利于学生开阔视野,学会借鉴,学会欣赏,激活其思维发散。
参考文献:
1 刘治和 浅谈柯西不等式的证明及应用[J]。数学通报,2000.5
2 孙建斌 黄宝玲 要重视数学问题的解题思路解题规律研究[J]。数学通报,2005.7
3 彭光焰 课本例题的价值在拓展中提升[J]。中学数学教学参考(上半月·高中),2007.1—2
4 彭光焰 如何深度挖掘教材[J]。数学通讯(下半月·教师),2015.12
5 彭光焰 一道教材习题的研究性学习[J]。数学通讯(下半月·教师),2016.6
长按或扫描二维码关注本公众号!
投稿邮箱:zoushengshu@163.com;
商务联系:13297228197。