请点击上方蓝色字体“邹生书数学”,订阅本微信公众号;请点击右上角的“…”,发送给朋友或分享到朋友圈。
公众号“邹生书数学”创建于2018年8月28日。
开号宗旨:为热爱学习和研究的高中数学教师和教研员搭建学习交流平台,提升教学能力,促进专业发展。本公众号致力传播数学文化,发表教研成果,交流教学经验,探讨数学问题,展示解题方法,分享教学资源,为服务高中教学作贡献。
邹生书,男,1962年12月出生,本科学历,理学士学位,中学数学高级教师,黄石市高中数学骨干教师。主要从事高中数学教学、高中数学解题研究和探究性学习等。从2007年8月到2018年8月,在《数学通讯》《数学通报》《数学教学》《中学数学》《中学数学教学》等,二十多种学术期刊上发表解题和探究性学习文章300余篇。
公众号“邹生书数学”诚请高中数学教师、教研员和热爱数学的朋友不吝赐稿。来稿请注明真实姓名、工作单位和联系方式,一般只接受word文档格式的电子稿件,文稿请认真审查,防止错漏,确保无误,文责自负。
投稿邮箱:zoushengshu@163.com;
商务联系:13297228197。
深度解析2020年全国1卷理数第21题
的命题方式与背景
山西省忻州一中 赵志岗
高考真题(2020年全国1卷理数第21题)
下面对第2问的解法进行探讨,并对命题背景作点挖掘。
解法一:(分类讨论法)
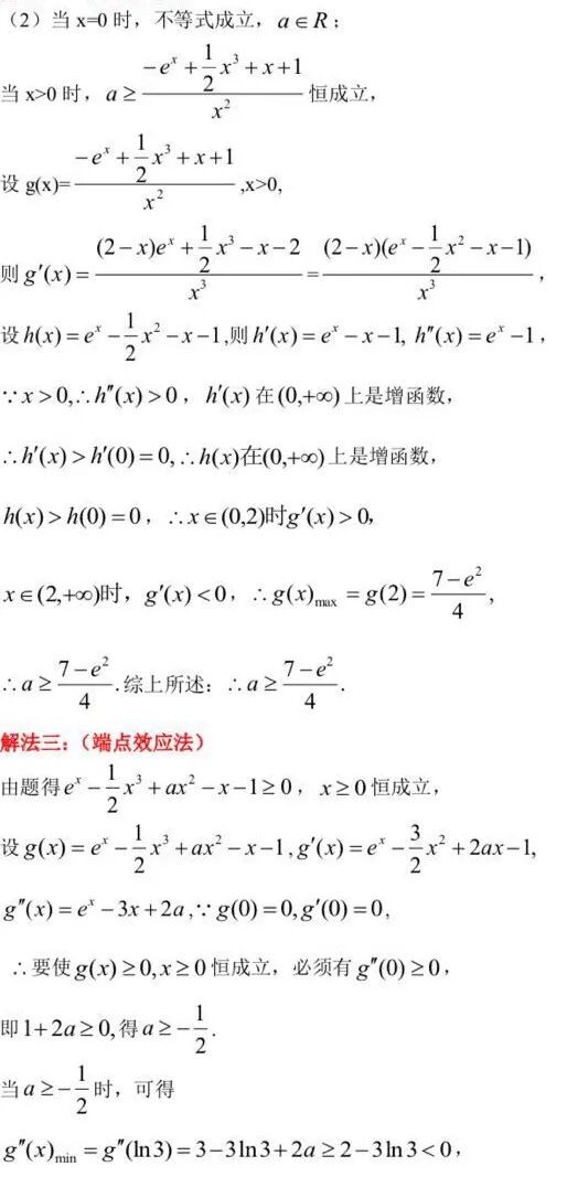
解法二:(分离参数法)
传递失败,需继续分类讨论,此解法受阻崩溃.
反思认识:此题最好的解法也是学生最易想到的做法就是分离参数法。
问题1:此题不等式在端点处取等,为什么不能用端点效应法,而适合用分离参数法?(先留作思考)
问题2:此题不等式在端点处取等,为什么用分参法会遭遇到洛必达法则(不是中等数学推荐的方法)?为什么适合用端点效应法?
问题3:前后两题,差别只在三次项系数不同,解法的选择上就截然不同,根源在哪里?教学上如何指导学生选择?
命题背景探析:
想给学生一杯水,老师得有一桶水,老师必须得视野广阔,压轴题是数学教师斗智斗勇的主阵地,要在高观点下审视压轴题,方能统领全局,揭示本质,要做到这一点,一定的高数知识是必不可少的。
本题命题背景:
由此可得一些预判性结论:
若ex≥mx3-+ax2+x+1(m为已知数)在x≥0时恒成立,求a的取值范围。
①若m≥1/6,则g(x)=ex-mx3-ax2-x-1在[0,+∞)上不是
增函数,此时不宜用端点效应法去求,因为此时已经不是最佳逼
近,故分参之后函数的最值就不在端点处取,所以分参之后也一定不会用到洛比达法则,分参法此时恰到好处。
②若m<1/6,此时不等式右侧的三次函数比最佳逼近的三次函数还小,故可知g(x)=ex-mx3-ax2-x-1在[0,+∞)上一定是增函数,可预知分参后函数的最值在端点处取到,此时必须要用到洛比达法则,分参法已不是解决此题的最佳方法了。因为g(x)在[0,+∞)上是增函数,故只需保证端点处成立即可,端点效应法就成为此题的最好方法了。
有图有真相:为了增强图形的对比性,取m=1/16<1/6,仍可保持图像相对位置与
性质的一致性.
共勉:高考压轴题的内容、题型、考法都处在不断的变革之中,我们要不断地学习,不断地更新观念和认识,才可能识破题目之外的本质.
公众号《邹生书数学》
最受读者欢迎的柒拾篇解题文章链接
(20191018——20200618)
2.“端点效应”模考压轴题的三种解法——分类讨论 洛必塔 导数定义(修正版)
4.刘锐——六构函数解答一道“指对混合”方程参数取值范围难题
6.李鸿昌——函数f(x)=2sinx+sin2x最小值的多解与变式探究
7.老唐说题——导数压轴题之同构式的三“生”三“释”+8个典型试题教你学同构
10.李鸿昌——绕开洛必达,回归导数概念,求解“0/0”端点效应高考压轴题
13.袁方、洪一平、邹生书——运用“等积线”求解一类条件最值问题
18.深度好文|用通性、通法解导数压轴题——全国理数一卷近三年导数题研究及2020年导数题预测
20.洛必塔法则 零点定理取点 函数凹凸性 三种法解一道“端点效应”难题
21.阳友雄:拉格朗日中值定理及其应用——不等式证明的又一大利器!!!
24.九市联盟2020届数学理科核心模拟卷三份及参考答案与评分细则
26.高考数学冲刺专题——解析几何(正高级,特级教师夏远景)
27.巧用“等和线”解决平面向量问题,怎一个“妙”字了得!!!
28.解答高考选择题的八大策略——教你如何灵活、高效、精准拿分!!!
43.曾蓉——轨迹法处理一类解三角形最值问题之一 阿波罗尼斯圆
53.曹凤山:年年考向量 岁岁数与形 ———浙江省自主命题以来向量试题特点评析
55.万尔遐、汪跃中——探讨高考数学命题人如何编定概率统计的试题
62.魏立国——不等式e^x ≥ x+1和+ln(x+1)≤X的应用
63.一道取值范围试题的七个解法四个结果!谁对谁错?问题出在哪?
64.【美不胜收】求解动点轨迹方程的的七种解法------全方位,无死角!!!
长按或扫描二维码关注本公众号!
投稿邮箱:zoushengshu@163.com;
商务联系:13297228197。