请点击上方蓝色字体“邹生书数学”,订阅本微信公众号;请点击右上角的“…”,发送给朋友或分享到朋友圈。
公众号“邹生书数学”创建于2018年8月28日。
开号宗旨:为热爱学习和研究的高中数学教师和教研员搭建学习交流平台,提升教学能力,促进专业发展。本公众号致力传播数学文化,发表教研成果,交流教学经验,探讨数学问题,展示解题方法,分享教学资源,为服务高中教学作贡献。
邹生书,男,1962年12月出生,本科学历,理学士学位,中学数学高级教师,黄石市高中数学骨干教师。主要从事高中数学教学、高中数学解题研究和探究性学习等。从2007年8月到2018年8月,在《数学通讯》《数学通报》《数学教学》《中学数学》《中学数学教学》等,二十多种学术期刊上发表解题和探究性学习文章300余篇。
公众号“邹生书数学”诚请高中数学教师、教研员和热爱数学的朋友不吝赐稿。来稿请注明真实姓名、工作单位和联系方式,一般只接受word文档格式的电子稿件,文稿请认真审查,防止错漏,确保无误,文责自负。
投稿邮箱:zoushengshu@163.com;
商务联系:13297228197。
彭光焰(湖北省广水市一中)
1 问题呈现
详见《普通高中课程标准实验教科书.4—5(选修)》)(人教A版)第29页习题2·3第4题.此题是一道典型条件不等式证明题,课本要求用反证法证明.如果将此题改为:
再要求同学们证明此题,同学们会用反证法吗?同学们会用什么方法证明呢?解题的价值并不在于答案本身,而在于弄清“是怎样想到这种解法或证法的”,“是什么促使你这样想,这样做的”,“怎样做更有效”?事实上,一次解题或证题,就像是一次旅行.在这个旅途中,如果我们能用“心灵”去感知、感受,如果我们能放飞解题的“心灵”,那么,无论是什么数学问题,也无论你的思路是否顺畅,一路走过,处处背是风景.此题如果只用反证法来证明,那么这次解题之旅是失败的,照本宣科使用教材的教学是低效的.
前苏联数学教育家奥加涅相说过:“必须重视很多习题潜在着进一步扩展其数学功能、发展功能和教育功能的可行性.”中学数学教材中的例习题凝聚了几代专家、学者的集体智慧和结晶,研究这些例习题,充分挖掘其内在功能的教育教学价值是一线教师责无旁贷的任务.课本上一些看似平淡无奇的例习题,隐藏着深远的背景,也许有着意想不到的功能.如果对教材中的例习题仅停留在它的表面,而不探究它的本质,那么就会失去例习题的内涵与新意,也会失去提升学生学习能力的作用,不利于我们教学的开展与深入,不利于学生思维能力的培养.我们通过对该问题认真探究反思,得到了该问题的一些有意义的结论:一是该问题的多种证法,二是该问题的变形命题.
2 证法探究
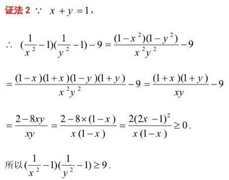
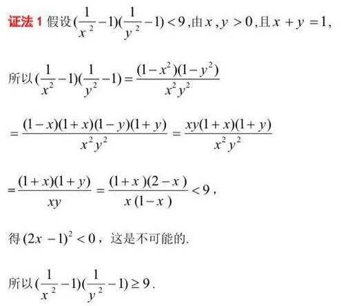
2.1用反证法证明
以上证法是教师教学用书给出的证法.
2.2用比较法证明
用比较法证明不等式是最简单、最基本、最常用的方法,是证明不等式的首先方法。
2.3 用综合法证明
用分析法证明不等式是一种常用证明不等式的方法.
2.5 用三角代换证明
柯西不等式法和向量法实质是一样的.
2.8 用换元法证明
用导数知识来证明,利用导数知识证明不等式也是常用方法.
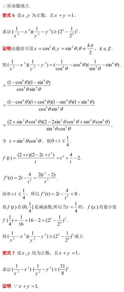
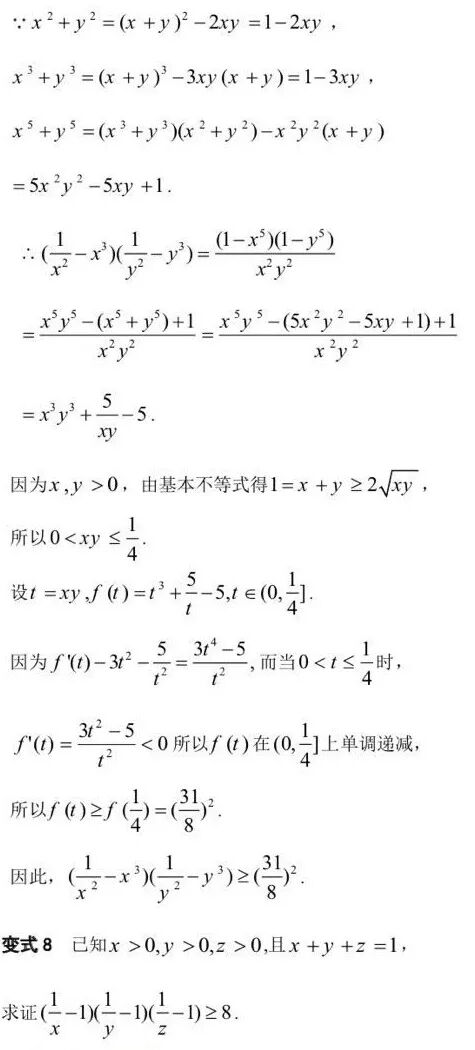
3 变式研究
被称为现代科学之父的爱因斯坦指出:“提出一个问题往往比解决一个问题更重要,因为解决问题也许仅是数学上的或实验上的技能而已.而提出新的问题,新的可能性,从新的角度去看旧的问题,却需要有创造性的想象力,而且标志着科学的真正进步.”“问题是数学的心脏,”而问题解决则是数学思维的核心.但是数学问题的分析与解决应当建立在问题发现和提出的基础上,从这个意义上讲,发现和提出一个有价值的数学问题就是创新.因此,在数学课堂教学中,教师应该注意给学生营造不同的问题情境,通过变式研究,可让学生通过自己一系列思维的加工发展自己的创新思维和创新能力.
变式8易证,在此从略.
4 教学感悟
4.1 精心设计问题,促进深度学习
美国心理学家布鲁纳指出:“教学过程是一种提出问题和解决问题的持续不断的活动,思维永远是从问题开始.”因此,精心设置系列问题,为学生的学习活动搭建恰当的平台,对于促进学生的自主学习和深度学习是非常关健的.笔者及时扑捉教情信息,设计问题序列,分组联动,诱导学生进行探究.用问题驱动学生的思维并使学生参与到课堂活动之中,难度由低到高,形式由简洁直观到隐晦抽象.通过问题串,让学生们自然地建构新知识,应用新知识,反思新知识,从不同的角度理解新知识,最后提升到综合运用所学知识解决问题的思维水平,追求一种自然、流畅的教学节奏,取得了良好的教学效果.
4.2 稚化教师思维,引领学生探究
现代认知心理学认为,新学习的知识必须纳入原有的认知体系,并在原有的认知结构中找到联系点、结合点,才能将新知识同化,牢固地掌握新知识.新课程提倡关注学生的认知特点,注意站在学生的角度,精心创设问题情境,诱发学生思维的积极性,用卓有成效的启发引导,促使学生的思维活动持续发展.备课首先应该备学生,教师应非常熟悉学生的知识基础和认知水平及学习的薄弱之处,要善于改变自己身份,稚化自己的思维,从学生的角度审视问题.对于课堂中问题设计,坚持低起点,高落点,引导学生观察、归纳、体验,进行自主探究,激发学生的学习兴趣,锻炼学生的思维能力,为学生的全面发展和终身学习打下良好的基础.
4.3 及时调整预设,实现精彩生成
在新课程改革的教育理念下,数学课堂教学即要体现其应用价值,又要体现数学本质.数学课堂应逐渐走向“学生参与、交往互动、共同发展”.课堂教学过程更是一个个活泼的头脑在教师预设好的问题情境中的交流、对话与活动的过程,是“精心预设”与“动态生成”和谐统一的过程.我们应该创造有利条件让学生在自主的学习交流和互动中逐步完善认识,丰富生成的空间,使课堂在师生的共同创造中变得充满灵性、充满智慧、充满活力.
4.4 反思教学,促进教师专业成长
加强习题研究,促进教师专业成长.现在习题大多都有答案,有些教师认为看看答案怎么解就可以了,这种观点是错误的.一道有价值的习题,一般都有着丰富的内涵.教师应高屋建瓴,全面展开试题研究,在解题的基础上进一步研究它的立意、来源、解法、变式、推广、应用等,充分挖掘习题的价值,并运用到教学中,从而不断提高教研水平,促进教师专业成长.
当前许多教师不重视课本例习题,认为课本例题、习题简单,不能应对高考.重视课本不能只停留在表面,要通过一题多变、一题多解、多题一解等,把知识目标、能力目标落到实处,真正达到高效教学.
课本例题、习题都经过专家们的千挑万选,蕴含着数学思想和方法.《普通高中数学课程标准(实验)》、《考试说明》提出重视课本的基础和导向作用,所以在命题时可多选择一些课本上的原题或者是课本例题、习题的变式,使学生更加重视课本内容的学习.
参考文献:
[1] 陈崇荣.2012年高考山东卷第22题在教学中的应用节选[J].
中国数学教育(高中版),2013(5).
[2] 杨华文.对一道轮换对称不等式问题的探究过程[J]
中国数学教育(高中版),2013(5).
长按或扫描二维码关注本公众号!
投稿邮箱:zoushengshu@163.com;
商务联系:13297228197。