请点击上方蓝色字体“邹生书数学”,订阅本微信公众号;请点击右上角的“…”,发送给朋友或分享到朋友圈。
公众号“邹生书数学”创建于2018年8月28日。
开号宗旨:为热爱学习和研究的高中数学教师和教研员搭建学习交流平台,提升教学能力,促进专业发展。本公众号致力传播数学文化,发表教研成果,交流教学经验,探讨数学问题,展示解题方法,分享教学资源,为服务高中教学作贡献。
邹生书,男,1962年12月出生,本科学历,理学士学位,中学数学高级教师,黄石市高中数学骨干教师。主要从事高中数学教学、高中数学解题研究和探究性学习等。从2007年8月到2018年8月,在《数学通讯》《数学通报》《数学教学》《中学数学》《中学数学教学》等,二十多种学术期刊上发表解题和探究性学习文章300余篇。
公众号“邹生书数学”诚请高中数学教师、教研员和热爱数学的朋友不吝赐稿。来稿请注明真实姓名、工作单位和联系方式,一般只接受word文档格式的电子稿件,文稿请认真审查,防止错漏,确保无误,文责自负。
投稿邮箱:zoushengshu@163.com;
商务联系:13297228197。
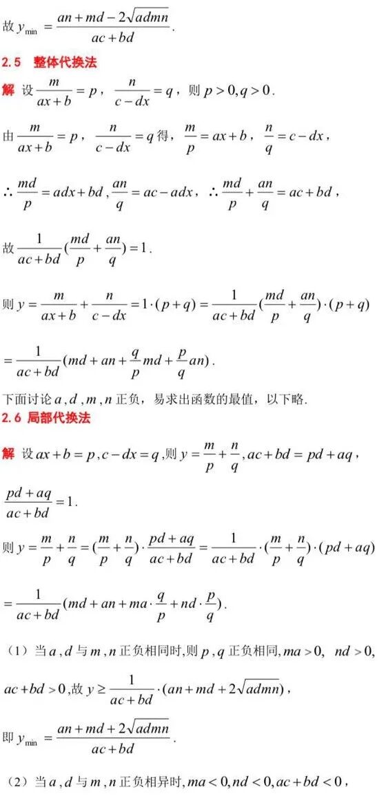
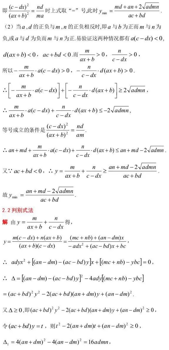
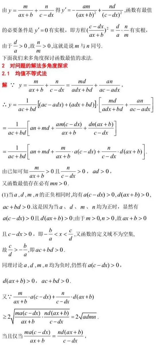
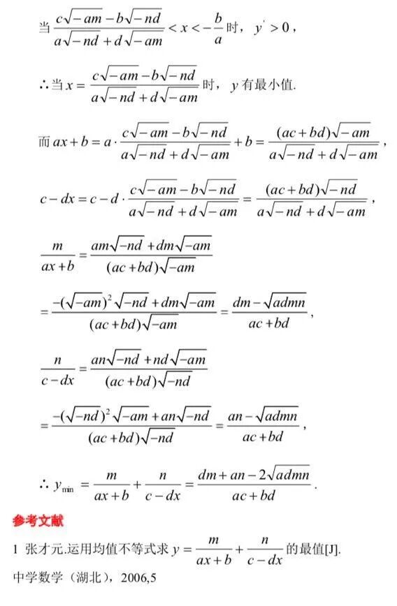
全面理解 多方转化
一道分式函数最值问题的多角度审视
彭光焰
(湖北省广水市一中 432700)
作者彭光焰往期文章链接
【作者简介】彭光焰,男,1989年6月毕业于华中师范大学数学系,正高级教师,湖北省特级教师。湖北省广水市第一高级中学副校长。2018年荣获中学数学教育最高奖“苏步青数学教育奖”,湖北省优秀中学数学教师,湖北省骨干教师,湖北省教育科学研究学术带头人,享受湖北省人民政府和随州市人民政府津贴专家,随州市首批学科带头人,随州市首批十大名师。随州市教研室高中数学兼职教研员,随州市高中数学学科核心团队成员,湖北省高中数学名师工作室和随州市高中数学名师工作室主持人,曾被华中师范大学聘为华中师范大学免费师范生导师,曾被《语数外学习》编辑部聘为编委。随州市第一届、第二届政协委员,广水市第五届、第八届政协委员。自1988年4月28日至今,先后在《中国教育报》《数学通报》《中学数学教学参考》《数学通讯》《中学数学》等全国30余家省级以上报刊发表文章160余篇,其中在核心期刊发表论文32篇,主持各级课题5项,参编高中数学教学用书6册,获地级以上教科研成果奖38项。
公众号《邹生书数学》
近期最受读者欢迎的34篇解题文章链接
(20200619——20200824)
33.邹生书——二次函数方程a[f(x)]^2+bf(x)+c=0实根问题的求解通法
32.邹生书——椭圆定义与解三角形联手再解天津高考解析几何题
20.马力仲2020年高考数学试题分析讲座第四讲——整体把握结构稳定 着眼细节字母可变
19.万志红、张长新||2020年全国一卷文科导数题——如何找点?
18.刘 锐——2020年山东新高考数学试卷压轴题的几个解法
16.张国川:游离在高考岸边的“数学美”——斜率问题的齐次化构造解法
15.万志红、张长新、黎良琛——2020年新课标Ⅰ卷 · 理20 · 一题多解
13.马力仲——2020年高考试题分析第一讲:知识背景成解题障碍,五音不全怎理解和弦
12.连毅端——2020年全国1卷理科数学第11题的两个解法
11.邹生书——2020年高考全国一卷第20题直线过定点问题的 简证与变式 拓展与背景
10.洪一平、刘锐——圆中同起点动弦向量数量积最小值难题的八种解法 你知道几种?
5.“对数单身狗,指数找朋友”到底讲的是什么?——这或许是你见过最全面的解析!!!
4.张伟、邹生书——不等式恒成立求双参数式子最值的方法与命题背景
3.刘 锐:一道“指对幂”混合不等式恒成立求参数取值范围问题的解决
长按或扫描二维码关注本公众号!
投稿邮箱:zoushengshu@163.com;
商务联系:13297228197。
公众号《邹生书数学》
最受读者欢迎的柒拾篇解题文章链接
(20191018——20200618)
2.“端点效应”模考压轴题的三种解法——分类讨论 洛必塔 导数定义(修正版)
4.刘锐——六构函数解答一道“指对混合”方程参数取值范围难题
6.李鸿昌——函数f(x)=2sinx+sin2x最小值的多解与变式探究
7.老唐说题——导数压轴题之同构式的三“生”三“释”+8个典型试题教你学同构
10.李鸿昌——绕开洛必达,回归导数概念,求解“0/0”端点效应高考压轴题
13.袁方、洪一平、邹生书——运用“等积线”求解一类条件最值问题
18.深度好文|用通性、通法解导数压轴题——全国理数一卷近三年导数题研究及2020年导数题预测
20.洛必塔法则 零点定理取点 函数凹凸性 三种法解一道“端点效应”难题
21.阳友雄:拉格朗日中值定理及其应用——不等式证明的又一大利器!!!
24.九市联盟2020届数学理科核心模拟卷三份及参考答案与评分细则
26.高考数学冲刺专题——解析几何(正高级,特级教师夏远景)
27.巧用“等和线”解决平面向量问题,怎一个“妙”字了得!!!
28.解答高考选择题的八大策略——教你如何灵活、高效、精准拿分!!!
43.曾蓉——轨迹法处理一类解三角形最值问题之一 阿波罗尼斯圆
53.曹凤山:年年考向量 岁岁数与形 ———浙江省自主命题以来向量试题特点评析
55.万尔遐、汪跃中——探讨高考数学命题人如何编定概率统计的试题
62.魏立国——不等式e^x ≥ x+1和+ln(x+1)≤X的应用
63.一道取值范围试题的七个解法四个结果!谁对谁错?问题出在哪?
64.【美不胜收】求解动点轨迹方程的的七种解法------全方位,无死角!!!
长按或扫描二维码关注本公众号!
投稿邮箱:zoushengshu@163.com;
商务联系:13297228197。