请点击上方蓝色字体“邹生书数学”,订阅本微信公众号;请点击右上角的“…”,发送给朋友或分享到朋友圈。
公众号“邹生书数学”创建于2018年8月28日。
开号宗旨:为热爱学习和研究的高中数学教师和教研员搭建学习交流平台,提升教学能力,促进专业发展。本公众号致力传播数学文化,发表教研成果,交流教学经验,探讨数学问题,展示解题方法,分享教学资源,为服务高中教学作贡献。
邹生书,男,1962年12月出生,本科学历,理学士学位,中学数学高级教师,黄石市高中数学骨干教师。主要从事高中数学教学、高中数学解题研究和探究性学习等。从2007年8月到2018年8月,在《数学通讯》《数学通报》《数学教学》《中学数学》《中学数学教学》等,二十多种学术期刊上发表解题和探究性学习文章300余篇。
公众号“邹生书数学”诚请高中数学教师、教研员和热爱数学的朋友不吝赐稿。来稿请注明真实姓名、工作单位和联系方式,一般只接受word文档格式的电子稿件,文稿请认真审查,防止错漏,确保无误,文责自负。
投稿邮箱:zoushengshu@163.com;
商务联系:13297228197。
发挥解题后反思对培养学生思维
品质的作用
(湖北省广水市一中 432700)彭光焰
数学知识的掌握和学生能力的培养很多情况下是通过解题训练来实现的.学生解题效率直接反映出知识掌握的程度,思维能力的高低.现实教学中,学生解题匆匆,只求数量,不重效益,未能“做一题、知一类、会一片”,往往事倍功半,成绩却不甚理想.解题后反思是医治上述通病的一剂良方.实践证明:解题后反思是解题活动中不可缺少的一环,是“画龙点睛”的一笔,是驱动思维能力提升的“催化剂”,也是提高解题效益的有效途径.因此,解完一道题并非大功告成,还应进行必要的反思,从中理解知识点的内涵外延以及解题策略技巧,从反思过程中汲取经验教训,巩固和扩大解题成果,实现知识与问题的举一反三,解题效果的事半功倍,思维能力得以培养与提升.高中新课程标准强调反思“有助于学生对客观事物中蕴涵的数学模式进行思考和做出判断”.
我们认为解题后反思不仅仅是学生要做的,更是我们教师要做的创造性的工作.作为一个中学数学教师要不断地与数学题目打交道,经常解题,甚至解一些较难的数学题,我们教师在解题之后也要进行反思.我们在讲解例题之后,要有意识地引导学生对所讲解的例题进行反思,不仅如此,我们数学教师在阅读有关数学文献时也要进行反思,在反思中我们会发现文献中所给数学例题本身有问题,也有的解答是错误的,解题后反思是青年教师成长的重要途径.
解题后反思,对教师的成长对学生成绩提高都有重要作用.那么,解题后怎样进行反思呢?反思有那些具体教学功能呢?
一、反思题目所涉及的知识点,训练思维敏捷性
高中数学的基本内容是有限的,但题目却灵活多变.同一个知识点,命题者可以从不同的角度、不同的层次,以不同的题型进行命题,面对新题型、新情境问题,同学们往往会觉得很难下手,不知从何处下手,主要原因在于同学们理不清所考查到的知识点,因而对题意的理解就不到位.于是,反思题目所涉及到的知识点,反思对题意的理解过程就显得非常重要.在解完一题之后,对题意最初的理解进行深入思考,反思审题时的遗漏知识,为何会遗漏,题中哪些信息不明了,为何会不明了,对题设条件之间、条件与目标之间有哪些关系未发现,对题意的理解存在什么样的偏差,为何会有这样的偏差,等等,在反思过程中达到对某些知识的补漏、知识结构的优化、使得思维更加有序合理.
分析初解此题,用同学自己的话说是“根本就找不到方向”,然后糊里糊涂乱做一通,结果可想而知是错的,即使答对了,也是凑巧,心里没底.同学们千万不可急,而应“心平气和”地分析题目所涉及的知识点,从这些知识点入手可以找到解题的方向.本题所涉及的知识点只有:
同学们找不到解题的方向,只是题设条件和要解决的问题中所含的字母较多,并且题设条件和要解决的问题之间的关系不明显.反思清楚本题所考的知识点后,就有了正确的思维起点与方向,就能敏锐地捕捉到解题的有效信息与突破口,问题便迎刃而解了.其实,只要我们把(x+y)(z+x)展开变形就可以了.
二、反思解题过程,积累解题经验,训练思维深刻性
反思解题过程就是指对解题思路和解题策略进行反思,它包括对解题策略选择和运用的成与败两方面的反思.在解题过程中,难免会出现这样或那样的错误,这些错误既有知识上的缺陷和思维能力上的不足,也有非智力因素的影响.因此,通过认真反思自己的解题过程,认识在审题时所遇到的困惑以及在解题过程中所走的弯路,通过自我剖析找出原因;反思解题思路与策略的成功之处,分析它们的特点、适用条件、概括出思维规律;比较借鉴教师和其他同学的解题思路,改进自己的思维方式,熟练掌握解题技能,积累解题经验,培养良好思维习惯,激发思维的深刻性.
综上所述,在x轴和y轴上的截距的绝对值相等的切线有4条,选(B).
那么这种解题过程是否正确?是否符合实际情况呢?如果解完后能这样反问一下自己,那么也就很快能发现其中的破绽,很显然,上述解答忽视了截距为零的情况.
经讨论我们知道,例3和例4均不选(D),而例3选(B),例4选(C).因此这类问题不能推广.我们对待每一个数学问题要具体问题具体分析.
这样经过不断反思,积累了经验,深刻认识了问题的本质,实现了知识与能力的有机转化.
三、反思解题方法,总结规律方法,训练思维发散性
许多数学问题重在考查学生思维的全面性、深刻性和灵活性.所以同一道题,从不同角度去分析研究,可能有不同的理解,引出多种不同的解法.在解题时,我们不能仅仅满足于一种解法,要养成在解题后再反思解题方法的习惯:从不同的角度去研究问题、摆脱原来的思维模式、发现原来思维过程中的不足,探索出新的解题途径,防止思维定势,寻求最佳的解题方法,及时总结各类解题技巧,养成“从优、从快”的解题思维方式,提高解题效率,从而更进一步来完善思维过程,激发思维的创造性和灵活性.
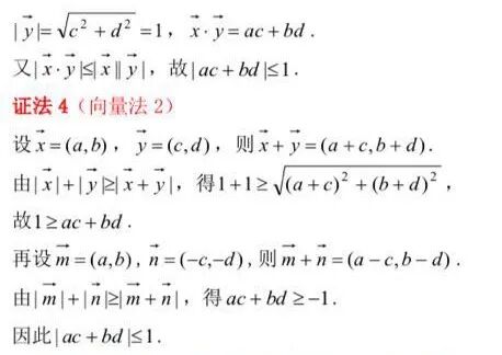
例5是人教社《全日制普通高级中学教科书·数学》第二册(上)第六章“不等式”中的小结与复习中的参考例题例1,课本上介绍了此题的三种证法,它们分别是分析法、比较法和综合法.
反思课本上介绍的证法之后,是否还有其它的证法呢?回答是肯定的,在此再介绍有别于课本的四种证法.
证法1(柯西不等式法)
通过反思一题多解,引导学生总结解题规律,培养解题技能,增强学习兴趣和解决问题的信心,培养学生的良好心理素质,拓宽学生思维,优化思维品质,发挥学生自身潜能,培养学生创新意识和创新能力. 教师在讲解例题时进行反思,可以引导学生在解题后进行反思.
四、反思解题结果,确保答案准确严密,训练思维严密性和批判性
解题后的验证过程是确保答案准确无误的一种有效做法,有助于良好解题习惯的养成,有助于提高学生的审题能力和良好思维品质.鉴于数学问题的特点,要求学生在解答时一定要认真细致,切不可马虎大意,有时稍有疏忽或一念之差就会导致错解.因此,通过对解题结果的反思,一方面确保答案准确无误,另一方面考察审题严密规范,逐步养成良好的解题思维习惯,培养思维严密性和批判性.
按上述过程解题后,上述解法似乎无懈可击,但反思题目信息,对题给信息进行再加工,便可知上述解答其实是错误的.因为在直线m确定存在的前提下,以上解法是可行的,但此处直线m存在与否未知.因此,我们必须对所求结果加以检验,事实上,由方程组
故此方程组无实数解,即直线2x-y-1=0与所给双曲线不相交,所以直线m不存在.
五、反思问题的变式,实现举一反三,提高思维品质
著名科学家爱因斯坦说“提出一个问题往往比解决一个问题更重要,解决问题也许仅是一个数学上或实验上的技能而已,而提出新的问题,新的可能性,从新的角度去看旧的问题,都需要有创造性的想象力.”因此,题目解完了,并不等于解题任务的结束. 有时对题目的题干条件进行适当的变换,对数据进行衍变、对知识内容进行拓展、对设问内容进行延伸转化、对命题的方向进行改变等变式训练,不仅能加强对基础知识的理解运用,而且能拓宽、深化解题思路,探索解题规律,培养创新能力,提高思维品质,增强应变能力,实现举一反三触类旁通、顺利走出题海. 如由例5可得下列变式.
反思一道例习题的题干变换,可以对某个知识点进行系统分析、研究、挖掘知识间的内在联系与外延,使知识系统化,同时提高学生的审题、应变能力.
类似的变式训练很多,在此不一一列举,我们在平时的教学过程中注意拓展联想,重视一题多变训练,提高知识整合、系统扩展、综合运用能力,真正实现“做一题、知一类、会一片”,做到事半功倍,提高学习效率.
总之,思源于疑,学起于思,反思是师生思维的驱动器,反思过程又是实现创新教学、摆脱“题海”的行之有效的方法.老师们,同学们,我们高举“反思”大旗,在学海中遨游吧!
参考文献
[1]舒昶辉. 注重反思 提高能力.数理化解题研究(高中),2007,2
[2]杜典意 童金华. 圆切线条数题的探究,中学生数学(上),2007,3
[3]朱怀东.仲崇辉.避免搬起石头砸自己的脚.中学生数学(上),2007,3
[4]彭光焰 课本例题的价值在拓展中提升.中学数学教学参考(高中),2007年1~2
作者彭光焰往期文章链接
11.彭光焰:方法与过程并行 巧解与通解并重——也谈2013年重庆市高考理科考试说明样题第17题
10.彭光焰:巧用教材资源 命制高考试题 ——对2014年湖北省高考文科数学第17题的探究
8.彭光焰:从“路径依赖”到“另辟蹊径” ———从几道三角题的解法谈起
7.彭光焰:全面理解 多方转化——一道分式函数最值问题的多角度审视
【作者简介】彭光焰,男,1989年6月毕业于华中师范大学数学系,正高级教师,湖北省特级教师。湖北省广水市第一高级中学副校长。2018年荣获中学数学教育最高奖“苏步青数学教育奖”,湖北省优秀中学数学教师,湖北省骨干教师,湖北省教育科学研究学术带头人,享受湖北省人民政府和随州市人民政府津贴专家,随州市首批学科带头人,随州市首批十大名师。随州市教研室高中数学兼职教研员,随州市高中数学学科核心团队成员,湖北省高中数学名师工作室和随州市高中数学名师工作室主持人,曾被华中师范大学聘为华中师范大学免费师范生导师,曾被《语数外学习》编辑部聘为编委。随州市第一届、第二届政协委员,广水市第五届、第八届政协委员。自1988年4月28日至今,先后在《中国教育报》《数学通报》《中学数学教学参考》《数学通讯》《中学数学》等全国30余家省级以上报刊发表文章160余篇,其中在核心期刊发表论文32篇,主持各级课题5项,参编高中数学教学用书6册,获地级以上教科研成果奖38项。
长按或扫描二维码关注本公众号!
投稿邮箱:zoushengshu@163.com;
商务联系:13297228197。