请点击上方蓝色字体“邹生书数学”,订阅本微信公众号;请点击右上角的“…”,发送给朋友或分享到朋友圈。
公众号“邹生书数学”创建于2018年8月28日。
开号宗旨:为热爱学习和研究的高中数学教师和教研员搭建学习交流平台,提升教学能力,促进专业发展。本公众号致力传播数学文化,发表教研成果,交流教学经验,探讨数学问题,展示解题方法,分享教学资源,为服务高中教学作贡献。
邹生书,男,1962年12月出生,本科学历,理学士学位,中学数学高级教师,黄石市高中数学骨干教师。主要从事高中数学教学、高中数学解题研究和探究性学习等。从2007年8月到2018年8月,在《数学通讯》《数学通报》《数学教学》《中学数学》《中学数学教学》等,二十多种学术期刊上发表解题和探究性学习文章300余篇。
公众号“邹生书数学”诚请高中数学教师、教研员和热爱数学的朋友不吝赐稿。来稿请注明真实姓名、工作单位和联系方式,一般只接受word文档格式的电子稿件,文稿请认真审查,防止错漏,确保无误,文责自负。
投稿邮箱:zoushengshu@163.com;
商务联系:13297228197。
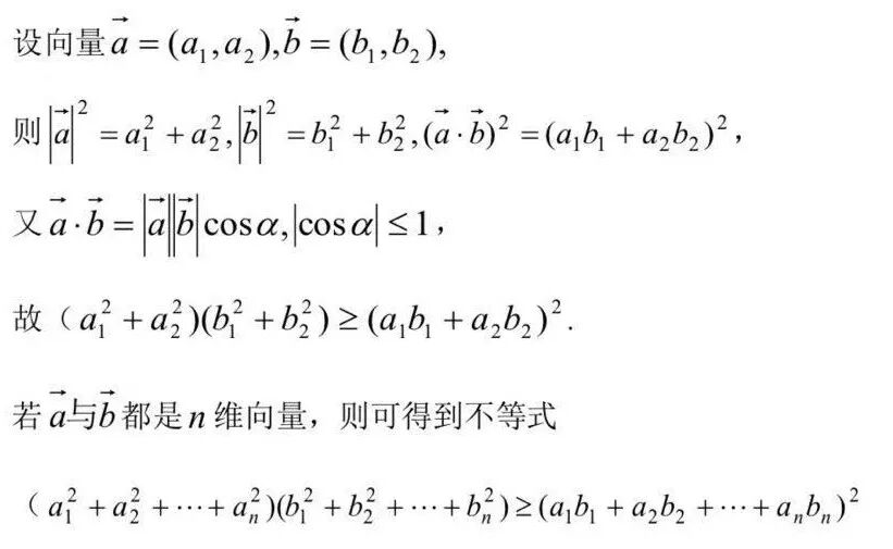
|a|2|b|2≥(a•b)2的解题探究
432700 湖北省广水市一中 彭光焰
《中学教研》(数学)2006年第11期发表了孙建斌同志的《一个分式不等式的解题探究》一文(以后,简称文[12]),该文利用了定理:
来解决了一些数学问题,其实这个定理是二阶Cauchy不等式一种推广形式.
向量是高中数学必修内容,向量又具有几何形式和代数方法的双重身份,因此向量在代数、三角、平面几何、立体几何和解析几何等方面有重要作用.
这一不等式与n阶Cauchy不等式是一致的,但它的解题功能强于n阶Cauchy不等式的解题功能.
下面就用文[12]中的例题来说明|a|2|b|2≥(a•b)2的解题功能.为便于比较,例题的顺序也不改变.
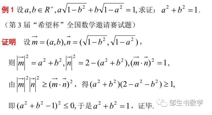
1 证明代数等式
(注:文[3]巧用“等叠法”证明;文[4]巧用Cauchy不等式证之).
2 证明三角等式
经检验为原方程的解.
(注:该方程有些难度,然而解法颇多:巧用Cauchy不等式[4]、配方法[5]等.)
4 讨论含参数方程组
这里,两处等号不能同时成立,故不取“≥”,而取“>”.
(注:这一脍炙人口的赛题,证法颇多,如:巧用Cauchy不等式[4]、叠加法[7]等.)
8 证明一类无理不等式
(注:文[8]巧用构造几何模型证之;而用|a|2|b|2≥(a•b)2证明竟如此简洁,令人叫绝.)
9 证明三角不等式
(注:此处,巧用了0<cos(α-β)≤1,本题尚可用基本不等式证明[9]或用互叠法[7]证明之.)
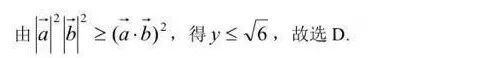
10 求一次函数最值
12 求二次函数最值
的切线方程.由于过圆外一点作圆的切线有两条,还有一条切线方
程的斜率不存在,其方程是x-2=0.
(注:文[12]的解法有误,遗漏了一条切线方程x-2=0.)
15 求有关点的坐标
(注:注意此处考虑P、Q两点不同,故只取“>”.)
综上所述,只要我们认真审题,根据题目提供的信息,恰当地构造向量,便可巧用|a|2|b|2≥(a•b)2予以简洁、漂亮的解证.
参考文献
1 孙建斌. 一类二元函数最值问题的一种解题策略[J].中学教研(数学),2004(11):21-24.
2 沈红霞.一堂研究课的来龙去脉——对基本不等式的探究及应用[J].中学教研(数学),2006(6):29-31.
3 孙建斌.巧用“等叠法”解题[J].中学教研(数学),2005(9):38-40.
4 孙建斌.柯西不等式的解题魅力[J].中学生数学,2006(5)上:30-31.
5 黄量生.孙建斌.巧用配方法解三角题[J].中学数学月刊,2004(9):24-25.
6 李铁烽.丢番图恒等式在解题中的应用[J].中学数学月刊,2002(7):47-49.
7 孙建斌.与时俱进,大胆创新——“互叠法”证明不等式的发现与解题联想[J].数学通报,2006(5):46—48.
8 李生有.构造解析几何模型证明不等式[J].中学生数学,2001(2)上.
9 曾思江,刘中华.用基本不等式解题的思维过程浅析[J].湖南数学通讯,1996(2).
10 朋安,姚先伟,直线学习中的“八项注意”[J],中学生数学,2001(2)上.
11 孙建斌.“特征信息”的捕捉与解题的最优化[J].中学数学教学参考,2001(12):29-30.
12.孙建斌.一个分式不等式的解题探究[J].中学教研(数学),2006(11):17-21.
作者彭光焰往期文章链接
11.彭光焰:方法与过程并行 巧解与通解并重——也谈2013年重庆市高考理科考试说明样题第17题
10.彭光焰:巧用教材资源 命制高考试题 ——对2014年湖北省高考文科数学第17题的探究
8.彭光焰:从“路径依赖”到“另辟蹊径” ———从几道三角题的解法谈起
7.彭光焰:全面理解 多方转化——一道分式函数最值问题的多角度审视
【作者简介】彭光焰,男,1989年6月毕业于华中师范大学数学系,正高级教师,湖北省特级教师。湖北省广水市第一高级中学副校长。2018年荣获中学数学教育最高奖“苏步青数学教育奖”,湖北省优秀中学数学教师,湖北省骨干教师,湖北省教育科学研究学术带头人,享受湖北省人民政府和随州市人民政府津贴专家,随州市首批学科带头人,随州市首批十大名师。随州市教研室高中数学兼职教研员,随州市高中数学学科核心团队成员,湖北省高中数学名师工作室和随州市高中数学名师工作室主持人,曾被华中师范大学聘为华中师范大学免费师范生导师,曾被《语数外学习》编辑部聘为编委。随州市第一届、第二届政协委员,广水市第五届、第八届政协委员。自1988年4月28日至今,先后在《中国教育报》《数学通报》《中学数学教学参考》《数学通讯》《中学数学》等全国30余家省级以上报刊发表文章160余篇,其中在核心期刊发表论文32篇,主持各级课题5项,参编高中数学教学用书6册,获地级以上教科研成果奖38项。
长按或扫描二维码关注本公众号!
投稿邮箱:zoushengshu@163.com;
商务联系:13297228197。