请点击上方蓝色字体“邹生书数学”,订阅本微信公众号;请点击右上角的“…”,发送给朋友或分享到朋友圈。
公众号“邹生书数学”创建于2018年8月28日。
开号宗旨:为热爱学习和研究的高中数学教师和教研员搭建学习交流平台,提升教学能力,促进专业发展。本公众号致力传播数学文化,发表教研成果,交流教学经验,探讨数学问题,展示解题方法,分享教学资源,为服务高中教学作贡献。
邹生书,男,1962年12月出生,本科学历,理学士学位,中学数学高级教师,黄石市高中数学骨干教师。主要从事高中数学教学、高中数学解题研究和探究性学习等。从2007年8月到2018年8月,在《数学通讯》《数学通报》《数学教学》《中学数学》《中学数学教学》等,二十多种学术期刊上发表解题和探究性学习文章300余篇。
公众号“邹生书数学”诚请高中数学教师、教研员和热爱数学的朋友不吝赐稿。来稿请注明真实姓名、工作单位和联系方式,一般只接受word文档格式的电子稿件,文稿请认真审查,防止错漏,确保无误,文责自负。
投稿邮箱:zoushengshu@163.com;
商务联系:13297228197。
抓好“概念、方程和几何性质”
解决椭圆常规问题
山西省朔州市朔城区一中 柴淑兰
西南大学在读大四学生 王丽敏
一、抓住椭圆定义、方程和几何性质是解决选填小题的基本方法
小结:解析几何很多小题或大题第一问是考察定义、方程和几何性质,所以注意围绕这个方向找解题思路或突破点,当然平面几何知识在解题中能够起到“推波助澜”,一定要注意利用。
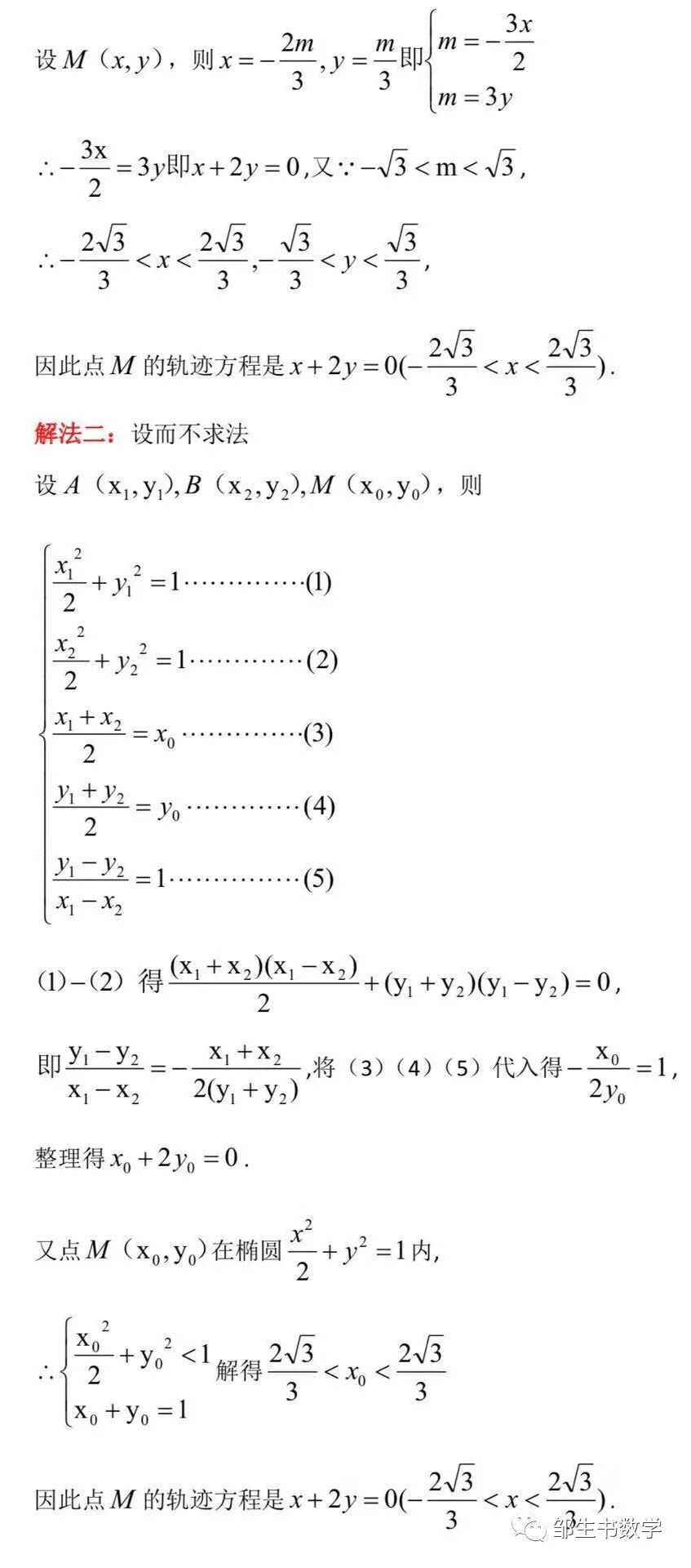
二、“弦中点问题”
解法三:利用弦中点性质
小结:该题运算量很小,用哪种方法都不麻烦,但是一个易错题,容易忽略限制范围。解法一规范解答,在使用根与系数关系之前,如果能想到对判别式加以限制的话,自然x范围是受其影响的,能够注意到,并加以限制;解法二和解法三没有判别式,但要考虑到弦中点务必在椭圆内的话,自然想到应该限制了,联立求交点横坐标即可找到x应该有的限制条件。
小结:该题注意到直线过定点,而且定点在椭圆内,所以和例3比不需要限制条件。但第一种方法消参比较麻烦,最后方程化成标准形式不一定能做好,如果不要求答出轨迹形状,方程写成一般形式就可以了。
对初学者而言是难点,启发学生仔细观察得到用定点和弦中点的坐标表示斜率,是一件令学生惊喜的事,记忆比较深刻,对提升学生数学核心素养有意义。
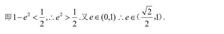
三、求离心率或其取值范围
小结:三种解法最终都归结为“另一个交点的横坐标(或另一解)小于等于a”,利用它“建立不等式关系”求e的范围。
四、定值最值问题
揭示问题的本质,为进一步需要解决的问题指明了方向。
小结:解法三P,Q坐标的设法不是利用椭圆参数方程,而是注意到已知OP⊥OQ,又结论研究对象OP,OQ,想到直线的参数方程,考虑到学生还没有学习直线参数方程或者将来有取消该内容的趋势,故以三角函数定义为出发点,不提“倾斜角”,P,Q以角α,α+π/2上点出现,将OP,OQ分别记作r1,r2,易于得到点P,Q坐标,再代入椭圆方程,易于解出r1,r2的平方的倒数(用α表示),最后化简得常数结论。
练习:如图,椭圆中心是坐标原点O,焦点在轴上,过椭圆左焦点F的直线交椭圆于P,Q两点,且OP⊥OQ,求椭圆离心率的取值范围。
点评:这个题目记住椭圆的这个性质,结合“d与的不等关系”可以迅速建立a,b,c的齐次关系数消去d2,两边同除以a2即可构建e的不等式进行求解e的范围(如果题目求e的只需要建立齐次a,b,c方程而已!当然能直接获得2a和2c,或者a和c用定义定义得解更好!)
本文根据本人平时教学过程中一些例、习题的处理,深切体会到解析几何就是两个任务,一是给平面曲线赋予方程,二是利用方程研究曲线的性质,所以曲线的定义尤为重要,抓住几何定义、几何特征,进行方程和性质的探讨和应用,数形结合的数学思想尤为突出,时而定性分析,时而定量计算,数中有形,形中有数,题型琳琅满目,我只蜻蜓点水;方法千奇百怪,二级结论堆积如山,我只随心而动,按常规的处理问题的思路方法,充分利用曲线的定义、方程和性质,结合平面几何性质,偶尔使用常用的结论,都能找到常规解法一二三。不必过多渲染二级结论的神奇,否则学生容易本末倒置,总想一步登天,不能脚踏实地;不愿吃苦,害怕大量运算,畏难情绪作怪,在瞻前顾后犹豫不决中浪费了时间,影响了解题的质量。本人认为,解析几何的学习,对学生不仅仅是一个知识的接受和应用,而是在老师正确引领下,学生去大胆探索创新,一个习题考题的攻克,就是一次畅快淋漓的登山,一个阶段完成一个小目标,脚踏实地,一步一个脚印攀登,翻过一座山,刚能喘息停顿,又一个新的任务目标摆在我们面前,哪怕再苦再累,也要咬紧牙关,坚持下去,因为胜利在望,当然需要继续努力,坚持到胜利!所以说,解析几何教学不仅能提高学生的数学素养,也是一个极好的励志教育,方法➕努力=成功!
作者文章链接:
8.柴淑兰、王丽敏:一道训练“配凑法”使用基本不等式求最值的题目
3.柴淑兰——关于“高中数学必修1第一章”难点处理策略(“待续”完整版)
2.柴淑兰——关于“高中数学必修1第一章”难点处理策略(待续)
1.柴淑兰——关于“高中数学必修1第一章”难点处理策略(续完)
柴淑兰,山西省朔州市朔城区一中数学教师,副高级职称,省学科带头人,区教学能手,学科名师、优秀班主任、师德标兵,从教29年,坚持工作在教学第一线,主持年级教学工作,兼任班主任,工作踏实,教学风格严谨细致,注重基础,追本溯源,管理班级粗中有细游刃有余,深得学生敬重和家长好评。
公众号邹生书数学
2020年9月至2020年11月
最受读者欢迎的数学解题文章链接
36.彭光焰——向量数量积不等式|a|∧2|b|∧2≥(a•b)∧2的解题探究
31.黄贤锋:一道三角函数题的多解探究
26.彭光焰:从“路径依赖”到“另辟蹊径” ———从几道三角题的解法谈起
25.彭光焰:全面理解 多方转化——一道分式函数最值问题的多角度审视
24.曹凤山:基于核心素养提升的高考数学备考策略——以函数与导数内容为例
11.赵志岗——深度解析2020年全国1卷理数第21题的命题方式与背景
9.甘大旺——2019 年浙江大学一道开平方自招题的 4 种解法
长按或扫描二维码关注本公众号!
投稿邮箱:zoushengshu@163.com;
商务联系:13297228197。