请点击上方蓝色字体“邹生书数学”,订阅本微信公众号;请点击右上角的“…”,发送给朋友或分享到朋友圈。
公众号“邹生书数学”创建于2018年8月28日。
开号宗旨:为热爱学习和研究的高中数学教师和教研员搭建学习交流平台,提升教学能力,促进专业发展。本公众号致力传播数学文化,发表教研成果,交流教学经验,探讨数学问题,展示解题方法,分享教学资源,为服务高中教学作贡献。
邹生书,男,1962年12月出生,本科学历,理学士学位,中学数学高级教师,黄石市高中数学骨干教师。主要从事高中数学教学、高中数学解题研究和探究性学习等。从2007年8月到2018年8月,在《数学通讯》《数学通报》《数学教学》《中学数学》《中学数学教学》等,二十多种学术期刊上发表解题和探究性学习文章300余篇。
公众号“邹生书数学”诚请高中数学教师、教研员和热爱数学的朋友不吝赐稿。来稿请注明真实姓名、工作单位和联系方式,一般只接受word文档格式的电子稿件,文稿请认真审查,防止错漏,确保无误,文责自负。
投稿邮箱:zoushengshu@163.com;
商务联系:13297228197。
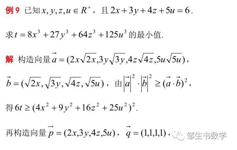
构造向量 探索解题新路
——也谈如何求等式条件下的最值
彭光焰
文[1]用7种方法14个例题讨论了等式条件下的最值的求法,笔者读后,启发很大.在IMO、国内外数学竞赛以及一些数学杂志的问题征解中,常常出现一些高难度的等式条件下的最值问题,对于解决这类问题没有统一的方法,任何一种方法都不是万能的,文[1]提供的7种方法只能解决这类问题的一部分.由于向量是现行高中数学教材内容,向量中有重要不等式
以上8个例题分别是文[1]中的例3、例4、例5、例6、例7、例8、例13、例14.为了说明问题再举几个例题.
参考文献
[1]曹继元.如何求等式条件下的最值.高中数学教与学.2006,9.
作者彭光焰往期文章链接
16.彭光焰——向量数量积不等式|a|∧2|b|∧2≥(a•b)∧2的解题探究
11.彭光焰:方法与过程并行 巧解与通解并重——也谈2013年重庆市高考理科考试说明样题第17题
10.彭光焰:巧用教材资源 命制高考试题 ——对2014年湖北省高考文科数学第17题的探究
8.彭光焰:从“路径依赖”到“另辟蹊径” ———从几道三角题的解法谈起
7.彭光焰:全面理解 多方转化——一道分式函数最值问题的多角度审视
【作者简介】彭光焰,男,1989年6月毕业于华中师范大学数学系,正高级教师,湖北省特级教师。湖北省广水市第一高级中学副校长。2018年荣获中学数学教育最高奖“苏步青数学教育奖”,湖北省优秀中学数学教师,湖北省骨干教师,湖北省教育科学研究学术带头人,享受湖北省人民政府和随州市人民政府津贴专家,随州市首批学科带头人,随州市首批十大名师。随州市教研室高中数学兼职教研员,随州市高中数学学科核心团队成员,湖北省高中数学名师工作室和随州市高中数学名师工作室主持人,曾被华中师范大学聘为华中师范大学免费师范生导师,曾被《语数外学习》编辑部聘为编委。随州市第一届、第二届政协委员,广水市第五届、第八届政协委员。自1988年4月28日至今,先后在《中国教育报》《数学通报》《中学数学教学参考》《数学通讯》《中学数学》等全国30余家省级以上报刊发表文章160余篇,其中在核心期刊发表论文32篇,主持各级课题5项,参编高中数学教学用书6册,获地级以上教科研成果奖38项。
长按或扫描二维码关注本公众号!
投稿邮箱:zoushengshu@163.com;
商务联系:13297228197。