请点击上方蓝色字体“邹生书数学”,订阅本微信公众号;请点击右上角的“…”,发送给朋友或分享到朋友圈。
公众号“邹生书数学”创建于2018年8月28日。
开号宗旨:为热爱学习和研究的高中数学教师和教研员搭建学习交流平台,提升教学能力,促进专业发展。本公众号致力传播数学文化,发表教研成果,交流教学经验,探讨数学问题,展示解题方法,分享教学资源,为服务高中教学作贡献。
邹生书,男,1962年12月出生,本科学历,理学士学位,中学数学高级教师,黄石市高中数学骨干教师。主要从事高中数学教学、高中数学解题研究和探究性学习等。从2007年8月到2018年8月,在《数学通讯》《数学通报》《数学教学》《中学数学》《中学数学教学》等,二十多种学术期刊上发表解题和探究性学习文章300余篇。
公众号“邹生书数学”诚请高中数学教师、教研员和热爱数学的朋友不吝赐稿。来稿请注明真实姓名、工作单位和联系方式,一般只接受word文档格式的电子稿件,文稿请认真审查,防止错漏,确保无误,文责自负。
投稿邮箱:zoushengshu@163.com;
商务联系:13297228197。
一道向量等式条件下最值难题的几种解法
浙江省平阳中学 洪一平
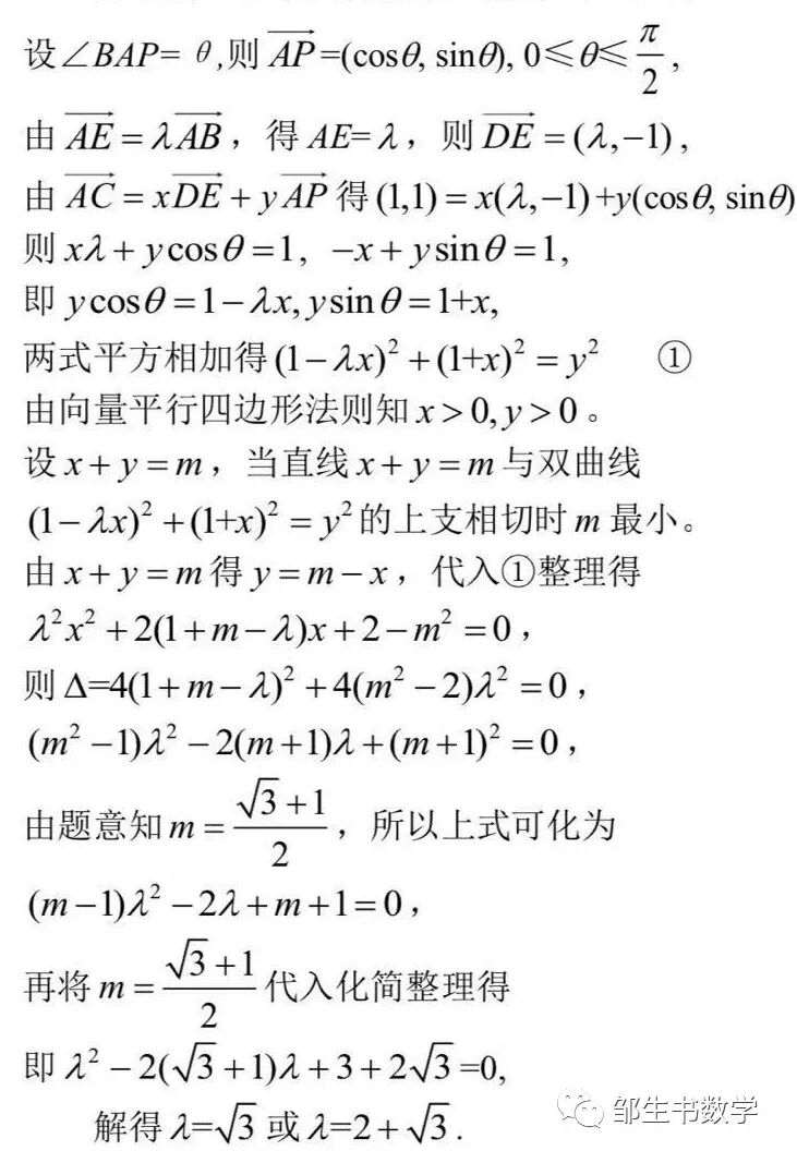
编者受洪一平老师解法启发,数形结合,用线性规划的思想方法,从直线与双曲线的位置关系入手得如下解法:
解法2:数形结合,线性规划思想,直线截距的几何意义求解
以A为坐标原点AB,AD所在直线作为x轴y轴建
立直角平面坐标系如,不妨设正方形的边长为1,
下面是陕西省澄城县庄头中学 魏拴文老师的解法
【作者简介】洪一平,男, 1962年4月出生, 1979年考上浙江大学应用数学系并于83年毕业, 获理学士学位, 毕业后分配到杭州商学院担任高数助教二年, 85年考上浙江大学应用数学系攻读计算机辅助几何设计专业硕士研究生学位, 89年获得理学硕士学位, 毕业后回家乡任教于浙江省平阳中学, 96年评上高中数学高级教师职称, 曾连续二十多年担任高中数学竞赛及培优辅导员。
长按或扫描二维码关注本公众号!
投稿邮箱:zoushengshu@163.com;
商务联系:13297228197。
洪一平解难题文章专集链接
85.魏拴文、洪一平:解答一道二次函数条件下最大值中的最小值
83.洪一平:一道双参数双量词绝对值不等式恒成立 求参数取值范围问题的两个解法
81.洪一平、刘锐——圆中同起点动弦向量数量积最小值难题的八种解法 你知道几种?
79.洪一平、杨俊等——三线段长度最大值的最小值试题解法研讨
78.洪一平——不等式恒成立 求双参数积最大值试题的两个解法
76.洪一平——2020湖北高三5月调研模拟理科数学第10题解析
71.洪一平——这个怪异丑陋的三角不等式征解题 原来的样子很优美
69.洪一平——解答一道综合性较强的最值选择题
65.洪一平——隐极值点法和参数分离法解一道不等式恒成立试题
61.洪一平——2011年印度数学奥林匹克抽象函数竞赛题的严谨解法
59.洪一平、邹生书——六种方法解答一道含有参数的向量模之和的最小值试题
57.洪一平、李有贵——再解一道二元不等式条件下的取值范围试题
56.袁方、洪一平、邹生书——运用“等积线”求解一类条件最值问题
52.洪一平、邹生书:一道与椭圆焦点弦相关的向量模取值范围 难题的两个解法
51.洪一平、邹生书——三角形面积最大值问题的两个新解法与几何背景
48.洪一平——对一道二次根式线性和取值范围问题的解法再探讨
47.洪一平、张红生——涉及二次函数零点的系数线性和最值问题及其解法
40.洪一平——2019年5月浙江五校联考试题第9题的四种解法
39.洪一平——六种方法解答一道四边形中的三角形面积最大值问题
30.洪一平、 杨飞、邹生书——解答一道以椭圆为载体的轨迹方程与面积最值征解难题
27.胡长淼、洪一平——一道已知函数的最小值求参数取值试题的三种解法
24.洪一平——2019届南通海安上学期期末考试第14题的两个解法
23.洪一平——用高线法解2019年江苏省数学夏令营测试卷第7题
22.杨俊、张长新、洪一平、李启印——解答一道与阿氏圆有关的双根式最小值征解题
19.洪一平——第十六届东南杯数学奥林匹克高一试题第一题的两个新解法
17.洪一平、张智刚、霍忠林——一道涉及三角形内心的向量系数和最值问题的几个简解
16.洪一平——一道二元三次条件等式一次最小值问题的几种解法
14.洪一平——2017年福建高中数学竞赛第8题的几个精彩解法
13.洪一平、邹生书——两个二元条件指数式取值范围问题及其解法
12.洪一平——解答《数学通讯》第6期问题征解401与402号题
9.洪一平、张智刚、邹生书——一道三次函数零点个数试题的解法与反思
6.洪一平:一道含有双参数绝对值全称量词和特称量词综合小题的四种解法
公众号邹生书数学
2020年9月至2020年11月
最受读者欢迎的数学解题文章链接
36.彭光焰——向量数量积不等式|a|∧2|b|∧2≥(a•b)∧2的解题探究
31.黄贤锋:一道三角函数题的多解探究
26.彭光焰:从“路径依赖”到“另辟蹊径” ———从几道三角题的解法谈起
25.彭光焰:全面理解 多方转化——一道分式函数最值问题的多角度审视
24.曹凤山:基于核心素养提升的高考数学备考策略——以函数与导数内容为例
11.赵志岗——深度解析2020年全国1卷理数第21题的命题方式与背景
9.甘大旺——2019 年浙江大学一道开平方自招题的 4 种解法
长按或扫描二维码关注本公众号!
投稿邮箱:zoushengshu@163.com;
商务联系:13297228197。