请点击上方蓝色字体“邹生书数学”,订阅本微信公众号;请点击右上角的“…”,发送给朋友或分享到朋友圈。
公众号“邹生书数学”创建于2018年8月28日。
开号宗旨:为热爱学习和研究的高中数学教师和教研员搭建学习交流平台,提升教学能力,促进专业发展。本公众号致力传播数学文化,发表教研成果,交流教学经验,探讨数学问题,展示解题方法,分享教学资源,为服务高中教学作贡献。
邹生书,男,1962年12月出生,本科学历,理学士学位,中学数学高级教师,黄石市高中数学骨干教师。主要从事高中数学教学、高中数学解题研究和探究性学习等。从2007年8月到2018年8月,在《数学通讯》《数学通报》《数学教学》《中学数学》《中学数学教学》等,二十多种学术期刊上发表解题和探究性学习文章300余篇。
公众号“邹生书数学”诚请高中数学教师、教研员和热爱数学的朋友不吝赐稿。来稿请注明真实姓名、工作单位和联系方式,一般只接受word文档格式的电子稿件,文稿请认真审查,防止错漏,确保无误,文责自负。
投稿邮箱:zoushengshu@163.com;
商务联系:13297228197。
对一道二元函数最小值征解题
的解法交流
北京市陈经纶中学 孙丕训
湖南益阳 吴祥云
浙江省平阳中学 洪一平
湖北省阳新县高级中学 邹生书
问题征解:
这是阳新董老师在高中数学解题交流二群里提出的一道求二元函数最小值的征解题,很快引起了群友的热烈讨论,纷纷发帖交流解法和解题思路。下面编者将这些解法整理成文,与读者朋友交流分享。
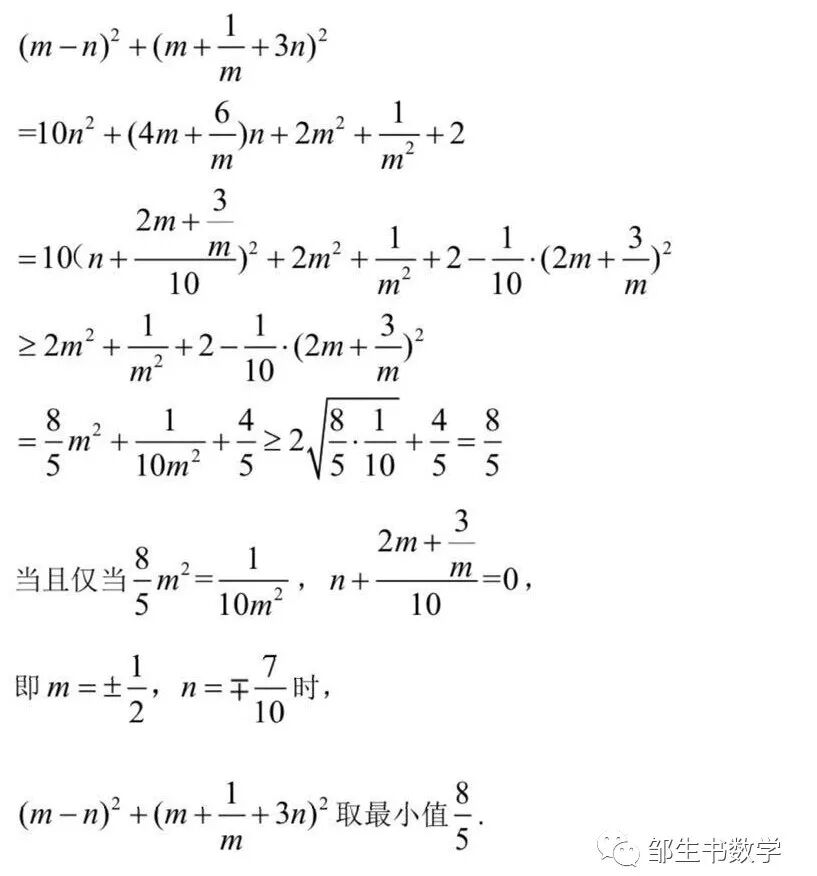
解法1:配方法与均值不等式联手求解 孙丕训 提供
解法2: 设点构线数形结合求解 吴祥云 提供
另解:由图知,当曲线在点P处的切线与直线平行时,点P到直线的距离最小.
解法3 用三角换元法求解 邹生书 提供
解法4 : 用权方和不等式求解 洪一平 提供
评注:上面群里朋友交流了这道最小试题的四种解法,那么,哪种解法是通性通法呢?回答是解法2的另解——直线平移化切法,才是解决这类问题的普适性的方法。请看下面例子及其解法(魏拴文供题,编者给出解答)。
公众号邹生书数学
2020年9月至2020年12月
最受读者欢迎的数学解题文章链接
48.柴淑兰、王丽敏——抓好“概念、方程和几何性质”解决椭圆常规问题
46.越做越起劲的100道高中数学函数压轴题, 你敢来试试吗?
45.庞景生——2012年广东高考理科数列第19题的深度思考
36.彭光焰——向量数量积不等式|a|∧2|b|∧2≥(a•b)∧2的解题探究
31.黄贤锋:一道三角函数题的多解探究
26.彭光焰:从“路径依赖”到“另辟蹊径” ———从几道三角题的解法谈起
25.彭光焰:全面理解 多方转化——一道分式函数最值问题的多角度审视
24.曹凤山:基于核心素养提升的高考数学备考策略——以函数与导数内容为例
11.赵志岗——深度解析2020年全国1卷理数第21题的命题方式与背景
9.甘大旺——2019 年浙江大学一道开平方自招题的 4 种解法
长按或扫描二维码关注本公众号!
投稿邮箱:zoushengshu@163.com;
商务联系:13297228197。
公众号《邹生书数学》
最受读者欢迎的柒拾篇解题文章链接
(20191018——20200618)
2.“端点效应”模考压轴题的三种解法——分类讨论 洛必塔 导数定义(修正版)
4.刘锐——六构函数解答一道“指对混合”方程参数取值范围难题
6.李鸿昌——函数f(x)=2sinx+sin2x最小值的多解与变式探究
7.老唐说题——导数压轴题之同构式的三“生”三“释”+8个典型试题教你学同构
10.李鸿昌——绕开洛必达,回归导数概念,求解“0/0”端点效应高考压轴题
13.袁方、洪一平、邹生书——运用“等积线”求解一类条件最值问题
18.深度好文|用通性、通法解导数压轴题——全国理数一卷近三年导数题研究及2020年导数题预测
20.洛必塔法则 零点定理取点 函数凹凸性 三种法解一道“端点效应”难题
21.阳友雄:拉格朗日中值定理及其应用——不等式证明的又一大利器!!!
24.九市联盟2020届数学理科核心模拟卷三份及参考答案与评分细则
26.高考数学冲刺专题——解析几何(正高级,特级教师夏远景)
27.巧用“等和线”解决平面向量问题,怎一个“妙”字了得!!!
28.解答高考选择题的八大策略——教你如何灵活、高效、精准拿分!!!
43.曾蓉——轨迹法处理一类解三角形最值问题之一 阿波罗尼斯圆
53.曹凤山:年年考向量 岁岁数与形 ———浙江省自主命题以来向量试题特点评析
55.万尔遐、汪跃中——探讨高考数学命题人如何编定概率统计的试题
62.魏立国——不等式e^x ≥ x+1和+ln(x+1)≤X的应用
63.一道取值范围试题的七个解法四个结果!谁对谁错?问题出在哪?
64.【美不胜收】求解动点轨迹方程的的七种解法------全方位,无死角!!!
长按或扫描二维码关注本公众号!
投稿邮箱:zoushengshu@163.com;
商务联系:13297228197。