请点击上方蓝色字体“邹生书数学”,订阅本微信公众号;请点击右上角的“…”,发送给朋友或分享到朋友圈。
公众号“邹生书数学”创建于2018年8月28日。
开号宗旨:为热爱学习和研究的高中数学教师和教研员搭建学习交流平台,提升教学能力,促进专业发展。本公众号致力传播数学文化,发表教研成果,交流教学经验,探讨数学问题,展示解题方法,分享教学资源,为服务高中教学作贡献。
邹生书,男,1962年12月出生,本科学历,理学士学位,中学数学高级教师,黄石市高中数学骨干教师。主要从事高中数学教学、高中数学解题研究和探究性学习等。从2007年8月到2018年8月,在《数学通讯》《数学通报》《数学教学》《中学数学》《中学数学教学》等,二十多种学术期刊上发表解题和探究性学习文章300余篇。
公众号“邹生书数学”诚请高中数学教师、教研员和热爱数学的朋友不吝赐稿。来稿请注明真实姓名、工作单位和联系方式,一般只接受word文档格式的电子稿件,文稿请认真审查,防止错漏,确保无误,文责自负。
投稿邮箱:zoushengshu@163.com;
商务联系:13297228197。
设线设点都尝试,定值最值均可解
山西省朔州市朔城区一中 柴淑兰
西南大学在读大四学生 王丽敏
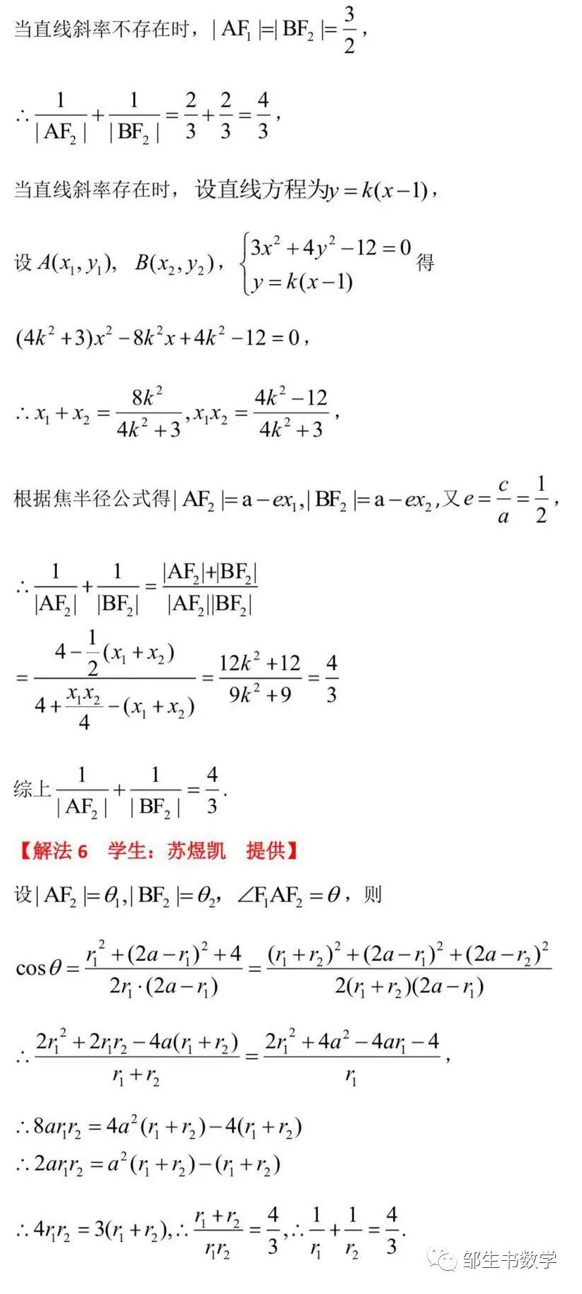
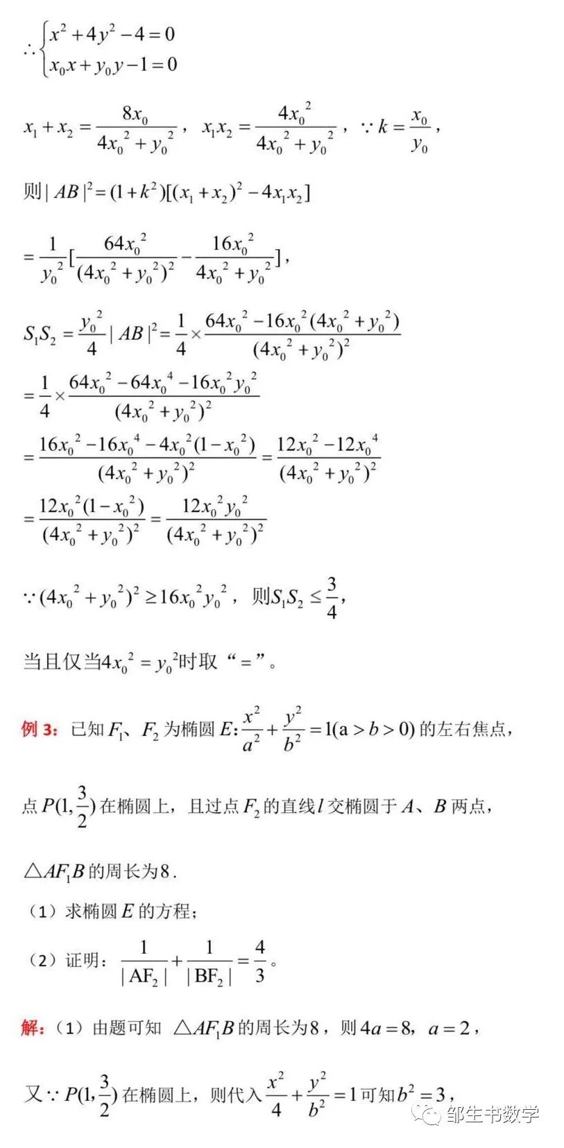
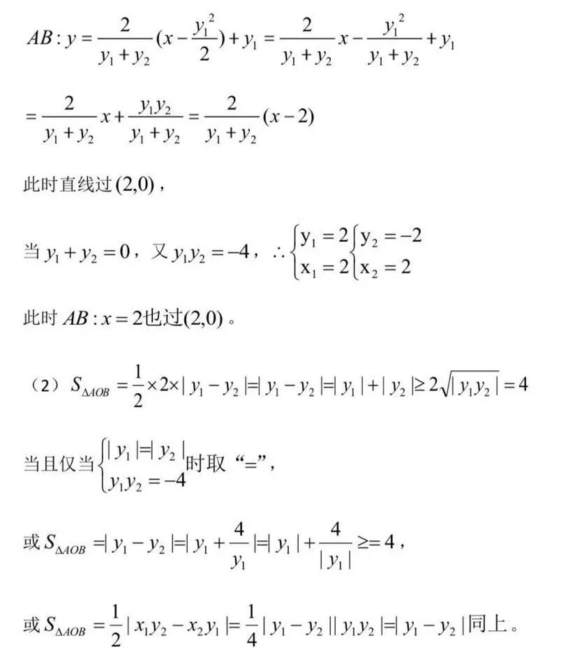
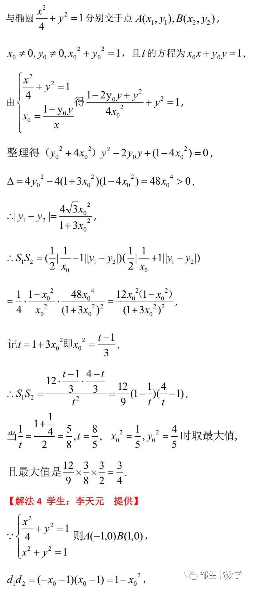
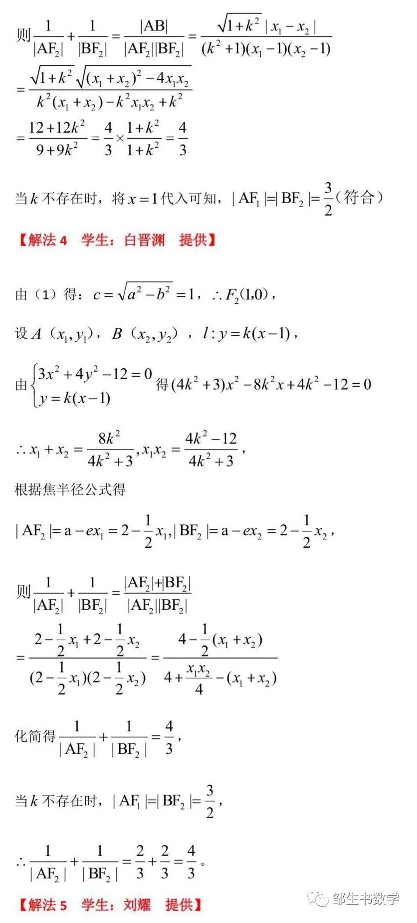
在直线与圆锥曲线的相交问题中,定值最值问题的探讨屡见不鲜,两个问题的起因往往是直线不确定,造成其与圆锥曲线的公共点位置发生变化,所以一般解法方法从设线开始,常见设y=kx+b或者x=my+n的形式,还要注意是否有“没有包含某些特殊情况”的情况需要特别补充验证或者检验,其实除了设线外,也可以尝试设点来搞。在初学阶段需要老师带学生尝试多种方法解题,然后再碰到类似题目试着让学生去完成,老师在旁边鼓励引导着进行,必要时与同学们共同探讨解题过程中遇到的各种困难。随着知识的积累,实战训练和不断尝试,从学生中发现更多的解题思路和方法,给学生机会和平台去展示自己的思路、方法和过程,从而产生更好的教学效果。下面我以三个教学案例,反映从老师的教到学生的学,再到学生教学生这三个阶段的收获。
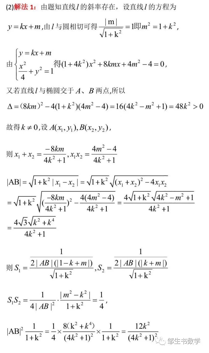
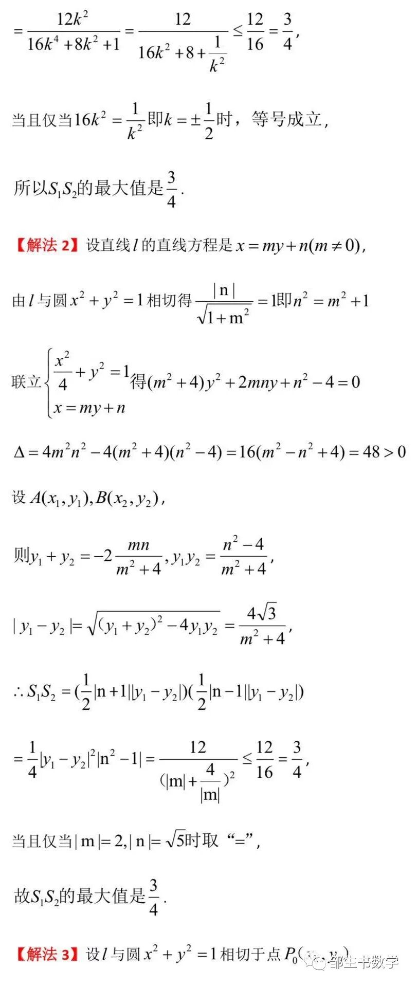
(当且仅当m=0时取“=”)
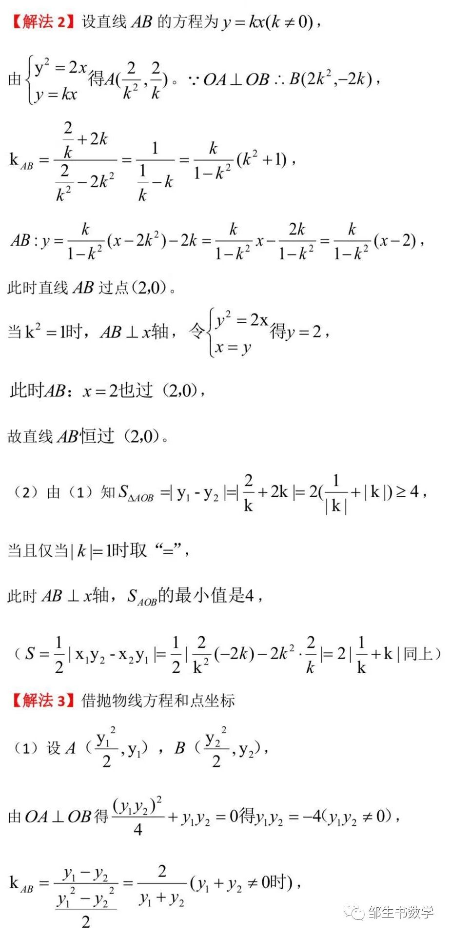
注:若设直线AB的方程为y=kx+m,不仅代入y2=2x后形式复杂,而且还不包含k不存在时即AB⊥x轴,需要检验(1),补充研究(2)再下结论,故其设法需斟酌。
柴淑兰,山西省朔州市朔城区一中数学教师,副高级职称,省学科带头人,区教学能手,学科名师、优秀班主任、师德标兵,从教29年,坚持工作在教学第一线,主持年级教学工作,兼任班主任,工作踏实,教学风格严谨细致,注重基础,追本溯源,管理班级粗中有细游刃有余,深得学生敬重和家长好评。
作者往期文章链接:
柴淑兰、王丽敏:一道训练“配凑法”使用基本不等式求最值的题目
柴淑兰——关于“高中数学必修1第一章”难点处理策略(“待续”完整版)
公众号邹生书数学
2020年9月至2020年12月
最受读者欢迎的数学解题文章链接
48.柴淑兰、王丽敏——抓好“概念、方程和几何性质”解决椭圆常规问题
46.越做越起劲的100道高中数学函数压轴题, 你敢来试试吗?
45.庞景生——2012年广东高考理科数列第19题的深度思考
36.彭光焰——向量数量积不等式|a|∧2|b|∧2≥(a•b)∧2的解题探究
31.黄贤锋:一道三角函数题的多解探究
26.彭光焰:从“路径依赖”到“另辟蹊径” ———从几道三角题的解法谈起
25.彭光焰:全面理解 多方转化——一道分式函数最值问题的多角度审视
24.曹凤山:基于核心素养提升的高考数学备考策略——以函数与导数内容为例
11.赵志岗——深度解析2020年全国1卷理数第21题的命题方式与背景
9.甘大旺——2019 年浙江大学一道开平方自招题的 4 种解法
长按或扫描二维码关注本公众号!
投稿邮箱:zoushengshu@163.com;
商务联系:13297228197。