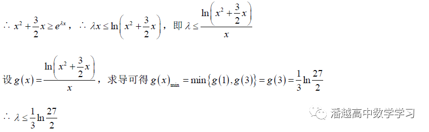
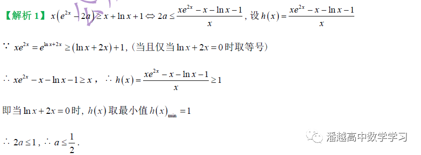
导数解题笔记(四):不等式恒成立问题

潘越老师 邹生书数学