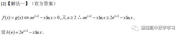
导数解题笔记(六):分而治之

潘越老师 邹生书数学