请点击上方蓝色字体“邹生书数学”,订阅本微信公众号;请点击右上角的“…”,发送给朋友或分享到朋友圈。
公众号“邹生书数学”创建于2018年8月28日。
开号宗旨:为热爱学习和研究的高中数学教师和教研员搭建学习交流平台,提升教学能力,促进专业发展。本公众号致力传播数学文化,发表教研成果,交流教学经验,探讨数学问题,展示解题方法,分享教学资源,为服务高中教学作贡献。
邹生书,男,1962年12月出生,本科学历,理学士学位,中学数学高级教师,黄石市高中数学骨干教师。主要从事高中数学教学、高中数学解题研究和探究性学习等。从2007年8月到2018年8月,在《数学通讯》《数学通报》《数学教学》《中学数学》《中学数学教学》等,二十多种学术期刊上发表解题和探究性学习文章300余篇。
公众号“邹生书数学”诚请高中数学教师、教研员和热爱数学的朋友不吝赐稿。来稿请注明真实姓名、工作单位和联系方式,一般只接受word文档格式的电子稿件,文稿请认真审查,防止错漏,确保无误,文责自负。
投稿邮箱:zoushengshu@163.com;
商务联系:13297228197。
加强解题教学研究
提高学生解题能力
湖北省广水市一中(432700)彭光焰
教学是一门科学,又是一门艺术.讲究教学艺术是创造性教学的一种追求. 解题也是一门艺术,它需要我们每一个数学教师毕生追求.在中学数学界,重视解题的教学已经形成一股潮流.由于广大教师的研究与实践,更使它逐步迈向科学化与艺术化的境地,其标志是解题教学中摒弃题海战术讲究教学艺术思潮的兴起,这将使我国解题教学趋于一个更高的水平.为了避免空泛议论,本文将从一道经典题的几个教学侧面来浅谈解题教学中的若干策略.
貌不惊人的一道普通题,通过对其教学内涵的开发,却可以使它在教学上展现众多诱人的艺术光彩,对提高学生的解题能力和培养学生创新能力有重大帮助.
1 强化基本功
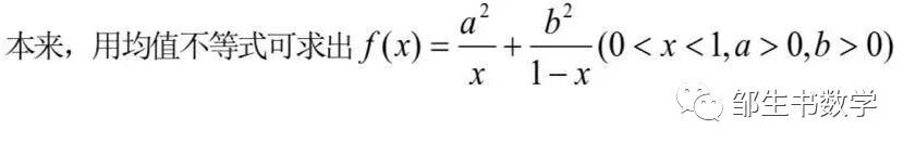
解题巧法是惹人喜爱的,但从总体来看,真正有强大威力的(或者说,在解题中经常有用的)还中那些踏踏实实的基本功.通过解题教学来加强学生的基本功,使他们的双基得到强化是解题教学中的强基艺术.它对学生解题能力的提高将产生重要影响.上面那道题可以让学生掌握以下的基本解法:
命题意图是运用a+b≥2√ab(a>0,b>0)来求条件最值.这里利用换元及“1”的巧妙代入,构造出“积为定”的形式,从而求得最值.上面解题过程所包含的概念、方法和深刻的解题思想,这些内容都是十分重要的,又是中等及中等以下学生并未都掌握(或有各种错误出现的).引导学生踏踏实实地把它解出来,对落实双基,强化基本功极有好处.
2 力克错误源
学生出错的源头通常有二:一是态度不认真;二是掌握的知识有缺陷,纠错是经常需要的教学措施.常用两种方式:一种是预防性的,它进行在出现错误之前;一种是治疗性的,它进行在出现错误之后.预防是重要.但有些错误仅靠预防是不够的.有时,学生由于尚未出现这类错误而对教师的预防性讲解心不在焉,甚至认为是没有必要的.通常的效果是“印象不深”.自然状态的治疗性纠错通常是计划性差,出现被动堵漏的教学局面.如果教师事前对出现某种错误的可能性有充分的估计而不动声色有计划地“引蛇出洞”,针对学生中出现的错误,突出地予以纠正,使他们认清精神状态与错误的关系,并从双基上揭示其正面深刻涵义从而力克错源常可收到“纠正现在,预防今后”的良好效果.这是解题教学中值得重视的纠错艺术.
如上面的题若从纠错的角度来处理,则可让学生当堂练习.学生容易出现下列两种典型错误:
上述两种错误解法是典型的.反映的双基不扎实是深刻的.从暴露出的问题来纠正错误,学生心服口服.在这种思维感情之下改正错误有自觉要求.尤其是对概念和方法上深刻涵义的揭示会给学生留下深刻印象.这是仅用预防性讲解难以达到的效果.
3 培养探索欲
在掌握了基本解法之后,启发学生进一步研究探索,是解题教学上的导向艺术.我们来探索本题的其它解法.
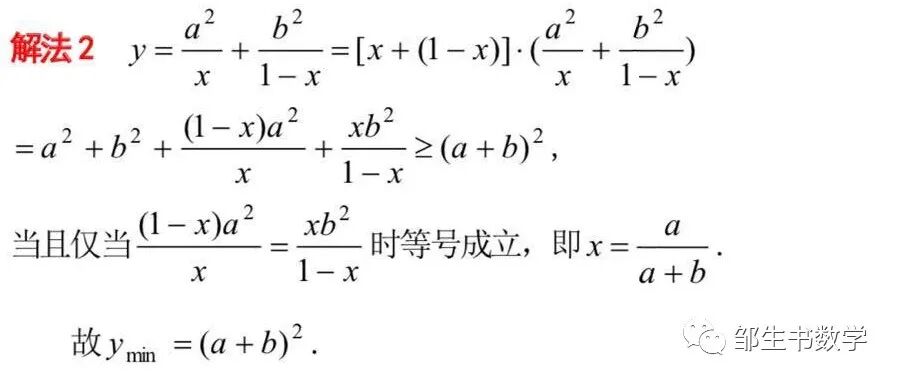
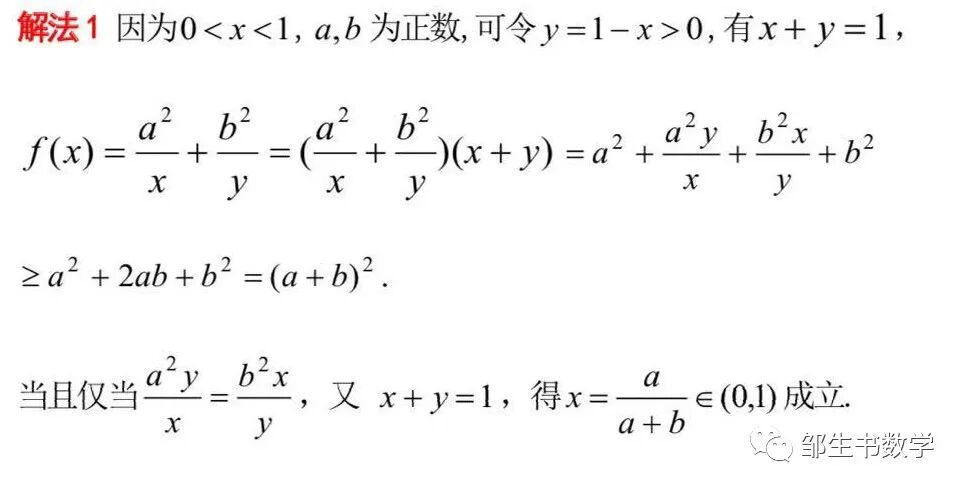
评注 解法二与解法一的实质是一样的,解法一利用了换元法,而解法二没有,它们都用了重要不等式.
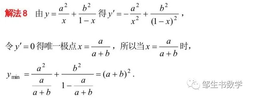
评注 导数是高中数学必须内容,利用导数求函数最值是导数的应用之一,此题用导数来解决非常简捷,值得提倡.
从上述各种解法,不仅充满了运动的观点,而且把解题思路从形式地在“式”的变换中变来变去转移到说明的论证.这实际上是解题思维层次上的提高,也可以说是从低层次思维向高层次思维的转化.这种转化对中学生来说是十分可贵的.
4 发展创造力
发展学生的机智和创造力是解题教学中的求新求变艺术.培养机智和创造力的方法之一是让学生在努力钻研的自觉行动中去注意观察研究特点、转换视角、力求创新,要求学生不仅要会解决问题,而且要会提出问题.
著名科学家爱因斯坦说“提出一个问题往往以比解决一个问题更重要,解决问题也许不仅是一个数学上或实验上的技能而已,而提出新的问题,新的可能性,从新的角度去看旧的问题,都需要有创造性的想象力.”因此,读书时,不仅要多动脑筋,勤于思考,不仅要懂得如何处理问题,解决问题,还要懂得如何发现新问题,提出新问题.
波利亚(G.Polya)说“好问题同某种蘑菇有些相似,他们大都成堆的生长,找到一个以后,你应当在周围找找,很可能在附近就有几个”.我们对此题的解法进行探究,如果就此罢休,那么没有发挥此题应有的作用,解题后再思考,根据此题的结构特点,此题不仅适宜,一题多解,而且适合一题多变.师生共同探究,得出了下列新问题.
的最小值,常用的原则右边必须为常数.但这是对一般而言的.如果思想就此被“一般性原则”禁固,那么就等于失去了数学的灵魂——从实际出发,具体情况具体研究.从而把数学变成了死东西,也就不能出现创造性思维!用重要不等式有三种方法,直接用、换之后用;新教材中介绍了向量和导数,我们在解题时应充分发挥向量和导数的工具作用,解题方法的选择也要与时俱时.上面介绍的8种解法,柯西不等式和向量法是通法,14个变式中,除变式3外,其余均可柯西不等式或构造向量来解决.因此,题目解完了,并不等式解题任务的结束.有时对题目的题干条件进行适当的变换,对数据和数据进行衍变,对知识内容进行拓展,对设问内进行延伸转化,对命题的方向进行改变等变式训练,不仅能加强对基础知识的理解运用,而且能拓宽,深化解题思路,探索解题规律,培养创造能力,提高思维品质,增强应变能力,实现一举反三、触类旁通、顺利走出题海。
参考文献
[1]哈家宝.例谈解题教学的艺术追求,中学数学(湖北),1993,10
[2]彭光焰.全面理解 多方转化 中学数学(湖北),2007,10
[3]陆剑红.一个分式不等式的引申及应用,数学教学.2007,1
作者彭光焰往期文章链接
16.彭光焰——向量数量积不等式|a|∧2|b|∧2≥(a•b)∧2的解题探究
11.彭光焰:方法与过程并行 巧解与通解并重——也谈2013年重庆市高考理科考试说明样题第17题
10.彭光焰:巧用教材资源 命制高考试题 ——对2014年湖北省高考文科数学第17题的探究
8.彭光焰:从“路径依赖”到“另辟蹊径” ———从几道三角题的解法谈起
7.彭光焰:全面理解 多方转化——一道分式函数最值问题的多角度审视
【作者简介】彭光焰,男,1989年6月毕业于华中师范大学数学系,正高级教师,湖北省特级教师。湖北省广水市第一高级中学副校长。2018年荣获中学数学教育最高奖“苏步青数学教育奖”,湖北省优秀中学数学教师,湖北省骨干教师,湖北省教育科学研究学术带头人,享受湖北省人民政府和随州市人民政府津贴专家,随州市首批学科带头人,随州市首批十大名师。随州市教研室高中数学兼职教研员,随州市高中数学学科核心团队成员,湖北省高中数学名师工作室和随州市高中数学名师工作室主持人,曾被华中师范大学聘为华中师范大学免费师范生导师,曾被《语数外学习》编辑部聘为编委。随州市第一届、第二届政协委员,广水市第五届、第八届政协委员。自1988年4月28日至今,先后在《中国教育报》《数学通报》《中学数学教学参考》《数学通讯》《中学数学》等全国30余家省级以上报刊发表文章160余篇,其中在核心期刊发表论文32篇,主持各级课题5项,参编高中数学教学用书6册,获地级以上教科研成果奖38项。
长按或扫描二维码关注本公众号!
投稿邮箱:zoushengshu@163.com;
商务联系:13297228197。