请点击上方蓝色字体“邹生书数学”,订阅本微信公众号;请点击右上角的“…”,发送给朋友或分享到朋友圈。
公众号“邹生书数学”创建于2018年8月28日。
开号宗旨:为热爱学习和研究的高中数学教师和教研员搭建学习交流平台,提升教学能力,促进专业发展。本公众号致力传播数学文化,发表教研成果,交流教学经验,探讨数学问题,展示解题方法,分享教学资源,为服务高中教学作贡献。
邹生书,男,1962年12月出生,本科学历,理学士学位,中学数学高级教师,黄石市高中数学骨干教师。主要从事高中数学教学、高中数学解题研究和探究性学习等。从2007年8月到2018年8月,在《数学通讯》《数学通报》《数学教学》《中学数学》《中学数学教学》等,二十多种学术期刊上发表解题和探究性学习文章300余篇。
公众号“邹生书数学”诚请高中数学教师、教研员和热爱数学的朋友不吝赐稿。来稿请注明真实姓名、工作单位和联系方式,一般只接受word文档格式的电子稿件,文稿请认真审查,防止错漏,确保无误,文责自负。
投稿邮箱:zoushengshu@163.com;
商务联系:13297228197。
圆锥曲线之歌
邹生书
圆锥曲线我的爱,就象菜花遍地开。
定值定点定直线,推广类比求拓展。
焦点弦,最青睐,四点共圆有妙解。
极点极线好舞伴,几何画板展风采。
从一道抛物线试题的多种解法到圆锥曲线
“伴侣点”的一个和谐性质
湖北省阳新县高级中学 邹生书
一.试题与解法
说明:上述问题是由广州朱章根老师首先在高中数学解题交流二群里提出来的,若用抛物线的二级结论则解法较多,不用二级结论怎么求解?上面解法是浙江省平阳中学洪一平老师交流的一个没有用到二级结论的解法。
下面先证明抛物线的一个二级结论,再用此结论简解这个题目。
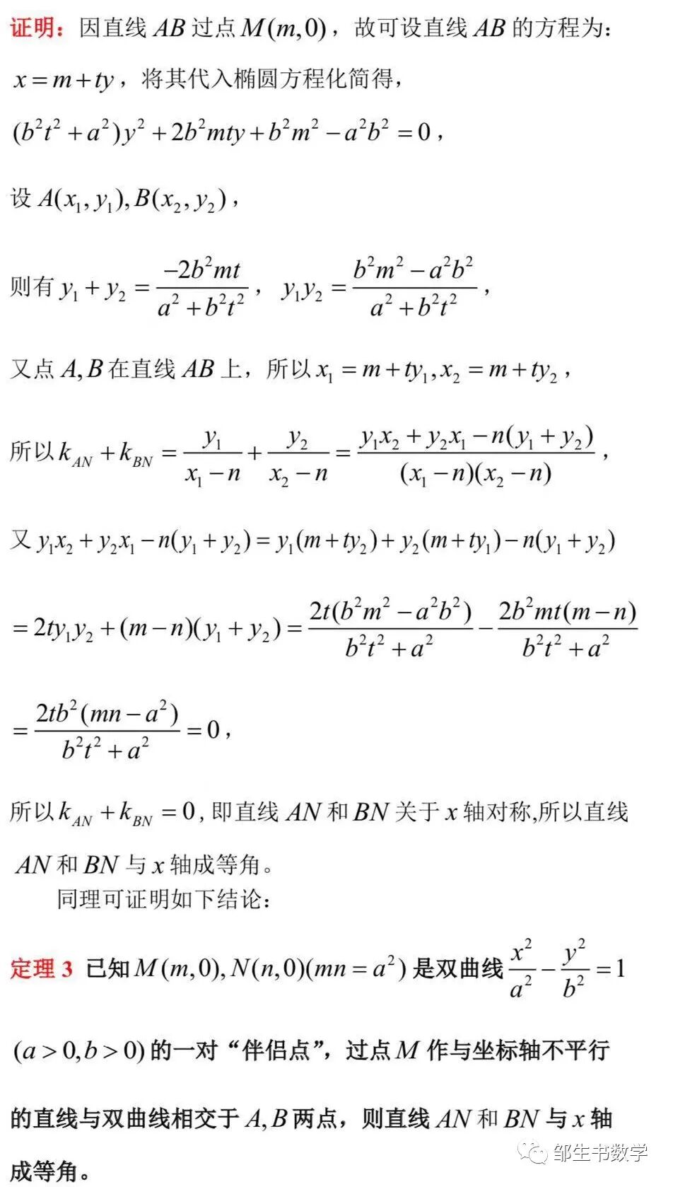
二.推广与拓展(圆锥曲线“伴侣点”性质)
综合上述3个结论,可得圆锥曲线的一个统一的和谐性质如下:
定理4 已知M,N是圆锥曲线的一对“伴侣点”,过点M作与坐标轴不平行的直线与曲线相交于A,B两点,则直线AN和BN与x轴成等角。
不难看出文献[1]中的4个结论分别是上述4个定理中的“伴侣点”分别为焦点和对应准点时的一个特例,文献[2]中的3个结论分别是上述定理4中的一个“伴侣点”在曲线内或曲线外时一种情形。
上述定理中的一对“伴侣点”的地位是平等的,其中任一点既可在曲线内部也可在曲线外部,正因为如此故称上述几何性质是“伴侣点”的和谐性质。对“伴侣点”平等相待,不分“类焦点”和“类准点”,这样既避免了过“类焦点”作直线与圆锥曲线相交和过“类准点”作直线与圆锥曲线相交两种情形的研究,又使“类焦点”和“类准点”的两个性质统一成“伴侣点”的性质,充分体现了数学的和谐之美。
三.两道考查圆锥曲线等角性质的全国卷高考题
1.(2018高考全国1卷理科第20题)
2018 年新课标 1 卷理科和文科的解析几何大题,以及2015年新课标1卷理科大题的最后一问题都与圆锥曲线等角性质有关。由《圆锥曲线“伴侣点”的一个和谐性质》知,圆锥曲线的等角性质的充要条件是“伴侣点”。从问题产生的时间顺序以及问题之间的逻辑关系来看,如果说圆锥曲线的等角性质是第一代,那么椭圆、双曲线和抛物线的等角性质属于第二代,这三道高考题保留着第二代的基因,无疑就是第三代了。也就是说这三道高考题是文中性质1和性质2的特殊情形,是他们的子女,是圆锥曲线等角性质的孙子和孙女!
参考文献
[1] 吕学柱. 圆锥曲线“和谐”新视点. 中学教研(数学),2008(9):25-26
[2] 彭世金. 圆锥曲线的一个优美性质. 数学教学通讯, 2007(6)
公众号邹生书数学
2020年9月至2020年12月
最受读者欢迎的数学解题文章链接
48.柴淑兰、王丽敏——抓好“概念、方程和几何性质”解决椭圆常规问题
46.越做越起劲的100道高中数学函数压轴题, 你敢来试试吗?
45.庞景生——2012年广东高考理科数列第19题的深度思考
36.彭光焰——向量数量积不等式|a|∧2|b|∧2≥(a•b)∧2的解题探究
31.黄贤锋:一道三角函数题的多解探究
26.彭光焰:从“路径依赖”到“另辟蹊径” ———从几道三角题的解法谈起
25.彭光焰:全面理解 多方转化——一道分式函数最值问题的多角度审视
24.曹凤山:基于核心素养提升的高考数学备考策略——以函数与导数内容为例
11.赵志岗——深度解析2020年全国1卷理数第21题的命题方式与背景
9.甘大旺——2019 年浙江大学一道开平方自招题的 4 种解法
长按或扫描二维码关注本公众号!
投稿邮箱:zoushengshu@163.com;
商务联系:13297228197。