请点击上方蓝色字体“邹生书数学”,订阅本微信公众号;请点击右上角的“…”,发送给朋友或分享到朋友圈。
公众号“邹生书数学”创建于2018年8月28日。
开号宗旨:为热爱学习和研究的高中数学教师和教研员搭建学习交流平台,提升教学能力,促进专业发展。本公众号致力传播数学文化,发表教研成果,交流教学经验,探讨数学问题,展示解题方法,分享教学资源,为服务高中教学作贡献。
邹生书,男,1962年12月出生,本科学历,理学士学位,中学数学高级教师,黄石市高中数学骨干教师。主要从事高中数学教学、高中数学解题研究和探究性学习等。从2007年8月到2018年8月,在《数学通讯》《数学通报》《数学教学》《中学数学》《中学数学教学》等,二十多种学术期刊上发表解题和探究性学习文章300余篇。
公众号“邹生书数学”诚请高中数学教师、教研员和热爱数学的朋友不吝赐稿。来稿请注明真实姓名、工作单位和联系方式,一般只接受word文档格式的电子稿件,文稿请认真审查,防止错漏,确保无误,文责自负。
投稿邮箱:zoushengshu@163.com;
商务联系:13297228197。
2019高考上海卷数学第12题解法探究
田伯峰 喀什六中 新疆 喀什市
摘要:在高考数学复习中,面对“旋转与绝对值函数结合求参数值问题,旋转与圆锥曲线相结合求动点最值问题,旋转与圆锥曲线相结合的存在性问题”等问题,如果没有经历过类似题型,没有总结过,是难以发现和解出的,为了高效应对高考考场上的变化,亲身体验推理运算过程,通过对各种解法的反思比较培养运算求简的核心素养意识,培养在解题中等价转化思想的精益求精意识,帮助学生明晰解法原理,提炼解题策略,带着学生不断地提高解题效率。本文通过一题多解和多题一解的探究,分析了解决与旋转相关的各类题型的各种方法之间的联系与区别,推陈出新,凸显了用复数乘法的几何意义解决此类问题的优势。
关键词:求参数的值 ;求最值;存在性问题;绝对值函数;直线与曲线相交;几何法;圆的参数方程法;复数乘法的几何意义法;直线的参数方程法;一题多解;多题一解
通过一题多解可以开阔学生思路,发散学生思维,让学生学会多角度分析和解决问题,通过多题一解,能够加深学生的思维深度,分析事物时能够由表及里,抓住事物的本质,找出事物间内在的联系。一题多解和多题一解是数学解题教学中的常用方法,是培养、提高学生思维能力,创新能力,分析问题解决问题能力的有效方法。只要我们能善于运用,积极引导学生运用,就能培养学生创新能力和创造性的思维能力,而且也能减轻学生学习数学的负担,还能提高学生学习数学的效率,从而增强学生学习数学的兴趣,真正发挥一题多解和多题一解在中学数学教学中应有的作用。
[2019上海高考压轴小题]
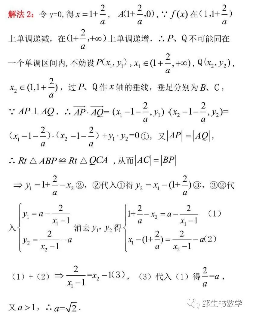
分析:上面解法一利用直线的方程,将关于x1,y1,x2,y2,a的问题转化成了关于k,a的等式恒成立的问题,消元的效果十分明显,让我们找到了“柳暗花明又一村”的体验,但是运算过程仍然不如意,能不能将条件AP⊥AQ且|AP|=|AQ|转化的更简洁一点呢?下面看一看几何法。
分析:上面解法二中的几何法将关于x1,y1,x2,y2,a的几个等式巧妙的转化成了关于a的方程,虽然面对的字母多,等式多,但运算却十分简洁!注意到点P,Q恒在以A为圆心的圆上,能否利用圆的参数方程将条件AP⊥AQ且|AP|=|AQ|进行转化呢?看看下面的解法三.
反思:显然各解法是等价的,尤其是解法三与解法五形式上完全相同,那么它们又有什么联系和区别呢?带着这个问题我们继续探究.
分析:画出曲线如图2,此例可以用几何法,圆的参数方程法,复数的乘法的几何意义法,也可用直线的参数方程法,但用复数的乘法的几何意义可以使解题过程更加简洁短小精炼,解答如下:
探究变式1:将条件“等腰直角三角形△ABC,且∠A=90°”改变为“等边三角形”情况又如何呢?很显然,几何法不好发挥作用,圆的参数方程法,复数乘法的几何意义法,直线的参数方程法不受影响。
探究变式2:将条件“等腰直角三角形△ABC,且∠A=90°”改变为“直角三角形ABC, AC⊥AB,AC=2AB”,情况又如何呢?很明显,圆的参数方程法彻底失效!为什么?但是复数乘法的几何意义法,直线的参数方程法不受影响,下面用两种方法解答如下:
由此可见,用直线的参数方程法和复数乘法的几何意义法解决此类问题优势很明显.事实上,我们还可以做下面的推广.
这恰好是平面上平移、伸缩、旋转变换公式.这说明前述各种等价的解法都是从不同的角度对旋转变换的描述,圆的参数方程法只能解决旋转中长度不变的问题,而直线的参数方程法和复数乘法的几何意义不仅能解决旋转中长度不变的问题,还能解决旋转中的长度发生变化的伸缩问题,是解决涉及旋转伸缩问题的强有力的工具.
例1解决的是旋转与绝对值函数相结合求参数的值的问题,例2解决的是旋转与圆锥曲线相结合求动点最值问题,下面看看例3,例3解决的是旋转与圆锥曲线相结合的存在性问题.
例3.已知抛物线C:y2=4x,设P(1,-2),Q为抛物线C上的两个不关于x轴对称的点,判断在x轴上是否存在点R使得△PQR是以R为直角顶点的等腰直角三角形?若存在,求出点R的坐标;若不存在,说明理由。
分析:画出曲线如图3,此例可用直线方程法,几何法,圆的参数方程法,直线的参数方程法,也可用复数的乘法的几何意义,但用复数的乘法的几何意义可以使解题过程更加简洁短小精炼.
结束语
本文侧重阐明解决与旋转相关问题的各种方法的联系与区别,分析了直线的参数方程法与复数乘法的几何意义法的等价性,凸显了用复数乘法的几何意义解决与旋转相关问题的优势,还有很多解题方法可以促进学生的思维能力的发展,这就需要大家进行更为深入的研究和探讨。
参考文献:
[1]浅谈一题多解在数学教学中的作用.苏北中学 许惜珠.
[2]如何理解点在曲线上—2019高考上海卷数学第12题.广东佛山市三水区三水中学吴超.
[3]贾凤梅,中学数学教学要注重培养学生的数学思维能力,教育理论与实践,2009年底29卷.
长按或扫描二维码关注本公众号!
投稿邮箱:zoushengshu@163.com;
商务联系:13297228197。