请点击上方蓝色字体“邹生书数学”,订阅本微信公众号;请点击右上角的“…”,发送给朋友或分享到朋友圈。
公众号“邹生书数学”创建于2018年8月28日。
开号宗旨:为热爱学习和研究的高中数学教师和教研员搭建学习交流平台,提升教学能力,促进专业发展。本公众号致力传播数学文化,发表教研成果,交流教学经验,探讨数学问题,展示解题方法,分享教学资源,为服务高中教学作贡献。
邹生书,男,1962年12月出生,本科学历,理学士学位,中学数学高级教师,黄石市高中数学骨干教师。主要从事高中数学教学、高中数学解题研究和探究性学习等。从2007年8月到2018年8月,在《数学通讯》《数学通报》《数学教学》《中学数学》《中学数学教学》等,二十多种学术期刊上发表解题和探究性学习文章300余篇。
公众号“邹生书数学”诚请高中数学教师、教研员和热爱数学的朋友不吝赐稿。来稿请注明真实姓名、工作单位和联系方式,一般只接受word文档格式的电子稿件,文稿请认真审查,防止错漏,确保无误,文责自负。
投稿邮箱:zoushengshu@163.com;
商务联系:13297228197。
一文帮你弄懂定角定弦模型
广东深圳 杨 俊
问题:在△ABC中,∠A=60°,BC=2.
① 求△ABC周长的最值;
② 求△ABC面积的最值。
这个模型就是我们所谓的定角定弦模型,也就是在一个三角形中一个角和它的对边保持不变,在BC边固定的同时,虽然∠A的大小不变,但顶点A的位置可以发生变化,那么顶点A的位置如何变化可以保持∠A的大小不变呢?由初中平面几何知识可知:同弧所对的圆周角不变,故顶点A可以在△ABC的外接圆的BC这段弦所对的优弧上运动(不包括B,C两点)。
掌握了这个知识点,第二问就立刻可以得到解决,很明显,当高线AD过圆心时有最大的高,即h≤R+d其中d为圆心到弦BC的距离。
当然,我们也可以使用高中知识来解决这个面积的最大值问题。
由余弦定理可得
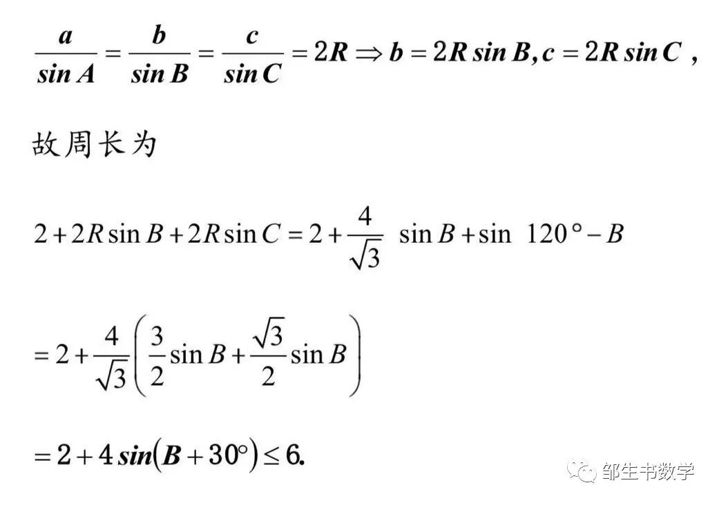
那周长的最大值如何求得呢?从图像上一下不容易确定取到最大值的位置,那么我们通过计算来求得该最值。
由正弦定理可得
可知,当△ABC为等边三角形时有最大周长6.由于B>0°,故周长最小值为4,即点A无限接近点B或者点C时有周长的最小值4,但注意这个最小值是取不到的。
总结:对于定角定弦模型,当等腰三角形时有最大的周长和面积。
那么,不掌握这个背景,直接使用不等式的知识能否解决问题呢?可以的。
故周长的最大值为6,当且仅当b=c即等腰的时候取等号。
那这个b+c的最大值有没有初等解法可以解决呢?可以的。
我们延长BA至点D,使AD=AC,连接DC,易得∠D=30°,很明显,当∠DCB=90°即BD为直径时有b+c最大值,此时b+c=4,即b+c的最大值为4.
那么,这里的全部内容你都搞清楚了吗?如果真的搞懂了,那么遇到下面这道题。
在△ABC中,b2+c2-bc=4.
①求△ABC周长的最值;
②求△ABC面积的最值。
你能识别出这本质就是∠A=60°,BC=2的定角定弦模型吗?
公众号邹生书数学
2020年9月至2020年12月
最受读者欢迎的数学解题文章链接
48.柴淑兰、王丽敏——抓好“概念、方程和几何性质”解决椭圆常规问题
46.越做越起劲的100道高中数学函数压轴题, 你敢来试试吗?
45.庞景生——2012年广东高考理科数列第19题的深度思考
36.彭光焰——向量数量积不等式|a|∧2|b|∧2≥(a•b)∧2的解题探究
31.黄贤锋:一道三角函数题的多解探究
26.彭光焰:从“路径依赖”到“另辟蹊径” ———从几道三角题的解法谈起
25.彭光焰:全面理解 多方转化——一道分式函数最值问题的多角度审视
24.曹凤山:基于核心素养提升的高考数学备考策略——以函数与导数内容为例
11.赵志岗——深度解析2020年全国1卷理数第21题的命题方式与背景
9.甘大旺——2019 年浙江大学一道开平方自招题的 4 种解法
长按或扫描二维码关注本公众号!
投稿邮箱:zoushengshu@163.com;
商务联系:13297228197。