请点击上方蓝色字体“邹生书数学”,订阅本微信公众号;请点击右上角的“…”,发送给朋友或分享到朋友圈。
公众号“邹生书数学”创建于2018年8月28日。
开号宗旨:为热爱学习和研究的高中数学教师和教研员搭建学习交流平台,提升教学能力,促进专业发展。本公众号致力传播数学文化,发表教研成果,交流教学经验,探讨数学问题,展示解题方法,分享教学资源,为服务高中教学作贡献。
邹生书,男,1962年12月出生,本科学历,理学士学位,中学数学高级教师,黄石市高中数学骨干教师。主要从事高中数学教学、高中数学解题研究和探究性学习等。从2007年8月到2018年8月,在《数学通讯》《数学通报》《数学教学》《中学数学》《中学数学教学》等,二十多种学术期刊上发表解题和探究性学习文章300余篇。
公众号“邹生书数学”诚请高中数学教师、教研员和热爱数学的朋友不吝赐稿。来稿请注明真实姓名、工作单位和联系方式,一般只接受word文档格式的电子稿件,文稿请认真审查,防止错漏,确保无误,文责自负。
投稿邮箱:zoushengshu@163.com;
商务联系:13297228197。
圆锥曲线倾斜角互补的割线化切性质
与相关问题处理技巧
湖北省阳新县高级中学 邹生书
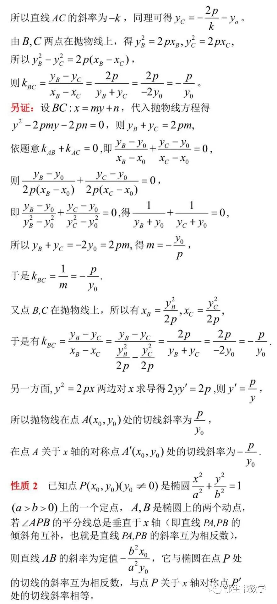
圆锥曲线有一个非常有趣的性质:
若x轴是圆锥曲线的对称轴,过圆锥曲线上一定点P作圆锥曲线的两条倾斜角互补的两条直线分别交曲线于A,B两点,则直线AB的斜率为定值,其值与曲线在点P处的切线斜率互为相反数,与点P关于x轴的对称点P’处的切线斜率相等。
此性质我们称之为:圆锥曲线倾斜角互补割线化切性质。本文先分别对抛物线、椭圆和双曲线给出该性质的证明,然后给出相关试题并进行解析,意在交流处理方法倾斜角互补问题的处理方法和解题技巧。
一、圆锥曲线倾斜角互补割线化切性质的证明
将上述椭圆性质类比到双曲线同样有类似性质,结论如下:
评注:性质3证明如性质3基本一样,只需将性质2中b2换成- b2即可。
二、圆锥曲线倾斜角互补问题的处理方法技巧举例
例1(2011八省联考第7题)
这是湖北省八校2015届高三第二次联考数学理科第21题,其中第(II)综合性强,将角平分线、向量共线、直线斜率、弦长最值和存在性探索融为一体,问题设置新颖不落俗套,解题入口宽,方法灵活多样,有利于不同思维层次的考生选择不同的解法展示各自的实力。现将解法探讨呈现如下,供大家参考。
长按或扫描二维码关注本公众号!
投稿邮箱:zoushengshu@163.com;
商务联系:13297228197。