请点击上方蓝色字体“邹生书数学”,订阅本微信公众号;请点击右上角的“…”,发送给朋友或分享到朋友圈。
公众号“邹生书数学”创建于2018年8月28日。
开号宗旨:为热爱学习和研究的高中数学教师和教研员搭建学习交流平台,提升教学能力,促进专业发展。本公众号致力传播数学文化,发表教研成果,交流教学经验,探讨数学问题,展示解题方法,分享教学资源,为服务高中教学作贡献。
邹生书,男,1962年12月出生,本科学历,理学士学位,中学数学高级教师,黄石市高中数学骨干教师。主要从事高中数学教学、高中数学解题研究和探究性学习等。从2007年8月到2018年8月,在《数学通讯》《数学通报》《数学教学》《中学数学》《中学数学教学》等,二十多种学术期刊上发表解题和探究性学习文章300余篇。
公众号“邹生书数学”诚请高中数学教师、教研员和热爱数学的朋友不吝赐稿。来稿请注明真实姓名、工作单位和联系方式,一般只接受word文档格式的电子稿件,文稿请认真审查,防止错漏,确保无误,文责自负。
投稿邮箱:zoushengshu@163.com;
商务联系:13297228197。
武汉三月调考数学第7题的五种解法
湖北省阳新县高级中学 邹生书
7.过抛物线E:y2=2px(p>0)焦点F的直线交抛物线于A,B两点,过两点分别向的准线作垂线,垂足分别为C,D,若△ACF与△BDF的面积之比为4,则直线AB的斜率为( )
思路一、解析几何方向
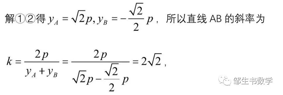
解法1:设点法求解(点差法求直线斜率,用点的坐标表示直线方程)
由对称性知,正确的选项是D.
解法2:用设线法求解
思路二、三角几何方向
解法3:用几何与三角联手求解
如图2,过点F作x轴的垂线分别交AC,BD于点M,N,
由AF=AC,BF=BD知
∠AFC=∠ACF=(π-∠FAC)/2,
∠BFD=∠BDF=(π-∠FBD)/2,
所以∠AFC+∠BFD =π-(∠FAC+∠FBD)/2
=π-π/2=π/2,
所以∠CFD=π/2,
又FH⊥CD,由射影定理得FD2=DH•DC,
设FB=r,则FA=2r,在△BFD中由余弦定理得
FD2=r2+r2-2r2cos(π-θ)=2r2+2r2cosθ,
又DH=NF=rsinθ, DC=NM=3rsinθ,
代入FD2=DH•DC得
2r2+2r2cosθ=3r2sin2θ,
整理得3cos2θ+2cosθ-1=0,解得cosθ=1/3,
所以直线AB的斜率k=tanθ=2√2,
由对称性知,正确的选项是D.
解法4:用三角法+抛物线定义求解
如图2,过点F作x轴的垂线分别交AC,BD于点M,N,
设FB=r,则FA=2r,设直线AB的倾斜角为θ,
则AC=CM+MA=p+2rcosθ,
BD=DN-BN= p-rcosθ,
由抛物线定义得AF=AC,BF=BD,于是有
p+2rcosθ=2r, p-rcosθ=r,
两式相减可得cosθ=1/3,
所以直线AB的斜率k=tanθ=2√2,
由对称性知,正确的选项是D.
解法5:用三角法+抛物线定义求解
如图3,过点A作DB的垂线交DB的延长线于点G,
由抛物线定义得AF=AC,BF=BD,
设FB=r,则FA=2r,设直线AB的倾斜角为θ,
则AB=AF+FB=3r,BG=DG-BD=AC-BD=2r-r=r,
于是有cosθ=cos∠ABG=BG/AB=r/3r=1/3,
所以直线AB的斜率k=tanθ=2√2,
由对称性知,正确的选项是D.
相关文章链接:
武汉市2021届高中毕业生三月质量检测数学试题与参考答案评分标准
邹生书、洪一平——武汉市2021届三月调考第12题的两个解法
长按或扫描二维码关注本公众号!
投稿邮箱:zoushengshu@163.com;
商务联系:13297228197。