请点击上方蓝色字体“邹生书数学”,订阅本微信公众号;请点击右上角的“…”,发送给朋友或分享到朋友圈。
公众号“邹生书数学”创建于2018年8月28日。
开号宗旨:为热爱学习和研究的高中数学教师和教研员搭建学习交流平台,提升教学能力,促进专业发展。本公众号致力传播数学文化,发表教研成果,交流教学经验,探讨数学问题,展示解题方法,分享教学资源,为服务高中教学作贡献。
邹生书,男,1962年12月出生,本科学历,理学士学位,中学数学高级教师,黄石市高中数学骨干教师。主要从事高中数学教学、高中数学解题研究和探究性学习等。从2007年8月到2018年8月,在《数学通讯》《数学通报》《数学教学》《中学数学》《中学数学教学》等,二十多种学术期刊上发表解题和探究性学习文章300余篇。
公众号“邹生书数学”诚请高中数学教师、教研员和热爱数学的朋友不吝赐稿。来稿请注明真实姓名、工作单位和联系方式,一般只接受word文档格式的电子稿件,文稿请认真审查,防止错漏,确保无误,文责自负。
投稿邮箱:zoushengshu@163.com;
商务联系:13297228197。
破解计算卡壳 提升数学运算素养
——例谈一道解析几何题的五策略七方法
湖北随州二中 刘春梅
众所周知,数学运算是2017年新课标关注的核心能力之一,反映数学学科的基本特征。随着计算机科学的发展,数学运算已成为社会科学、科学技术等发展的基础,《普通高中数学课程标准(2017年版)》指出:数学运算是指在明晰运算对象的基础上,依据运算法则解决数学问题的素养。
在解析几何的教学中,经常遇到学生列出式子解不下去的情况,如何引导学生,让学生在计算卡壳处突破,提升运算素养?下面以一道解析几何题为例,只有理解运算对象,掌握运算法则,探究运算思路,选择运算方法,设计运算程序,求得运算结果,帮助扫清学生计算障碍,多字母运算才能畅通无阻。
【题目分析】(1)为一个简单的求曲线方程问题,对学生来讲理解容易,计算简单,具体求解为:
由题可知2a=4得a=2.
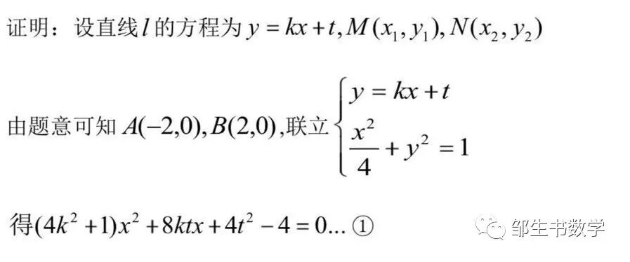
(2)为一个解析几何中常见的一类求定点问题,该问题常见的两种解题策略学生也不难掌握,值得一提的是各类各种解法均有计算难点,具体分析如下:基础计算部分求解为:
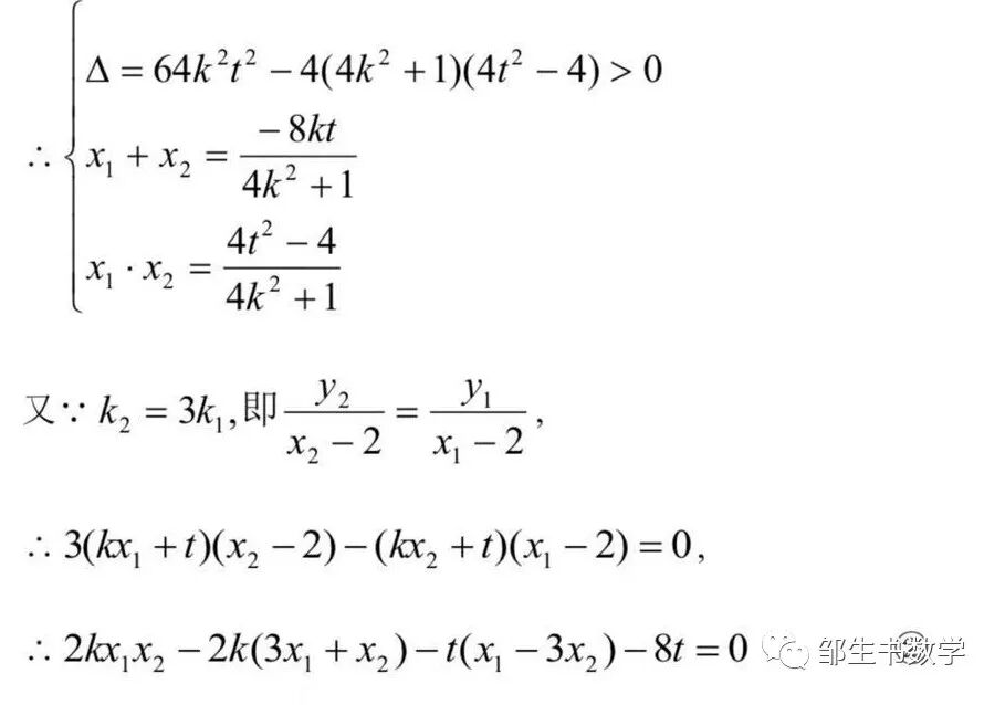
此为计算卡壳处,分析学生的问题:因x1,x2的系数不一致、不对称,韦达定理已不能彻底消去x1,x2,两个字母k,t之间的关系式将无从建立,直线恒过的定点不可知,怎么办?
打破僵局,策略一:求根逐源,打破思维定势
解法一:接上问题,可直接用求根公式,达到彻底消去x1,x2的目的,具体解法为:
当所求解式子中遇到出现x1,x2结构不对称的情况时,韦达定理整体代入后不能彻底消元,不能坐以待毙,可回归本源,直接用二次方程的求根公式求解,这也不失为一种算法。此时需要学生能打破设点而不求点的思维惯性,追本逐源,求根破解。
策略二:韦达定理不彻底,椭圆方程化对称。
解法二:接①后,
利用椭圆方程或椭圆的第三定义,可以将k1,k2之间的关系转化成同一点与一条直线与曲线两交点之间的斜率关系,可使式子中出现x1,x2前的系数相同,再利用韦达定理整体带入,从而简化计算,这种计算方法需要对已有的式子结构分析,联想相关联的式子,对学生的知识迁移、变通能力有较高要求。
策略三:选择同一参数,有效避开不对称结构
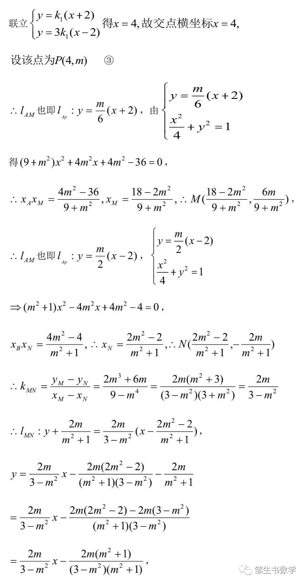
解法三:选择直线AM的斜率当参数
此类解法直接将所求的直线上M,N两点的坐标用同一参数表示,从而有效的避开了系数不一致,用韦达定理消元不彻底的情况,也为计算的良策之一,也是研究直线恒过定点问题的常见策略。
策略四:特殊位置先探路 一般结论再证明
结合对称性和直线MN的特殊位置,虽然试题中说明直线MN斜率存在,但可考虑斜率不存在的情况,此时直线过定点H(—1,0)。
解法六:接解法一中,
策略五:拓展视野,极点极线显风采
解法七:接解法五③后
此类解法不适合考题中解答,但作为知识的拓展和延伸,可开阔学生视野。
很多情况下,解析几何的解答需要较强的计算能力,只有熟练掌握常规题型常规解法,做到敢于算、善于算、注重简算,积累计算经验,掌握计算技巧,终能算得正确的结果。
【作者简介】刘春梅,女,联系电话:13277601201,QQ:674064965。副高级职称,硕士学位,随州市第四批骨干教师,随州市教研团队核心成员,湖北省彭光焰名师工作室骨干成员。
长按或扫描二维码关注本公众号!
投稿邮箱:zoushengshu@163.com;
商务联系:13297228197。