请点击上方蓝色字体“邹生书数学”,订阅本微信公众号;请点击右上角的“…”,发送给朋友或分享到朋友圈。
公众号“邹生书数学”创建于2018年8月28日。
开号宗旨:为热爱学习和研究的高中数学教师和教研员搭建学习交流平台,提升教学能力,促进专业发展。本公众号致力传播数学文化,发表教研成果,交流教学经验,探讨数学问题,展示解题方法,分享教学资源,为服务高中教学作贡献。
邹生书,男,1962年12月出生,本科学历,理学士学位,中学数学高级教师,黄石市高中数学骨干教师。主要从事高中数学教学、高中数学解题研究和探究性学习等。从2007年8月到2018年8月,在《数学通讯》《数学通报》《数学教学》《中学数学》《中学数学教学》等,二十多种学术期刊上发表解题和探究性学习文章300余篇。
公众号“邹生书数学”诚请高中数学教师、教研员和热爱数学的朋友不吝赐稿。来稿请注明真实姓名、工作单位和联系方式,一般只接受word文档格式的电子稿件,文稿请认真审查,防止错漏,确保无误,文责自负。
投稿邮箱:zoushengshu@163.com;
商务联系:13297228197。
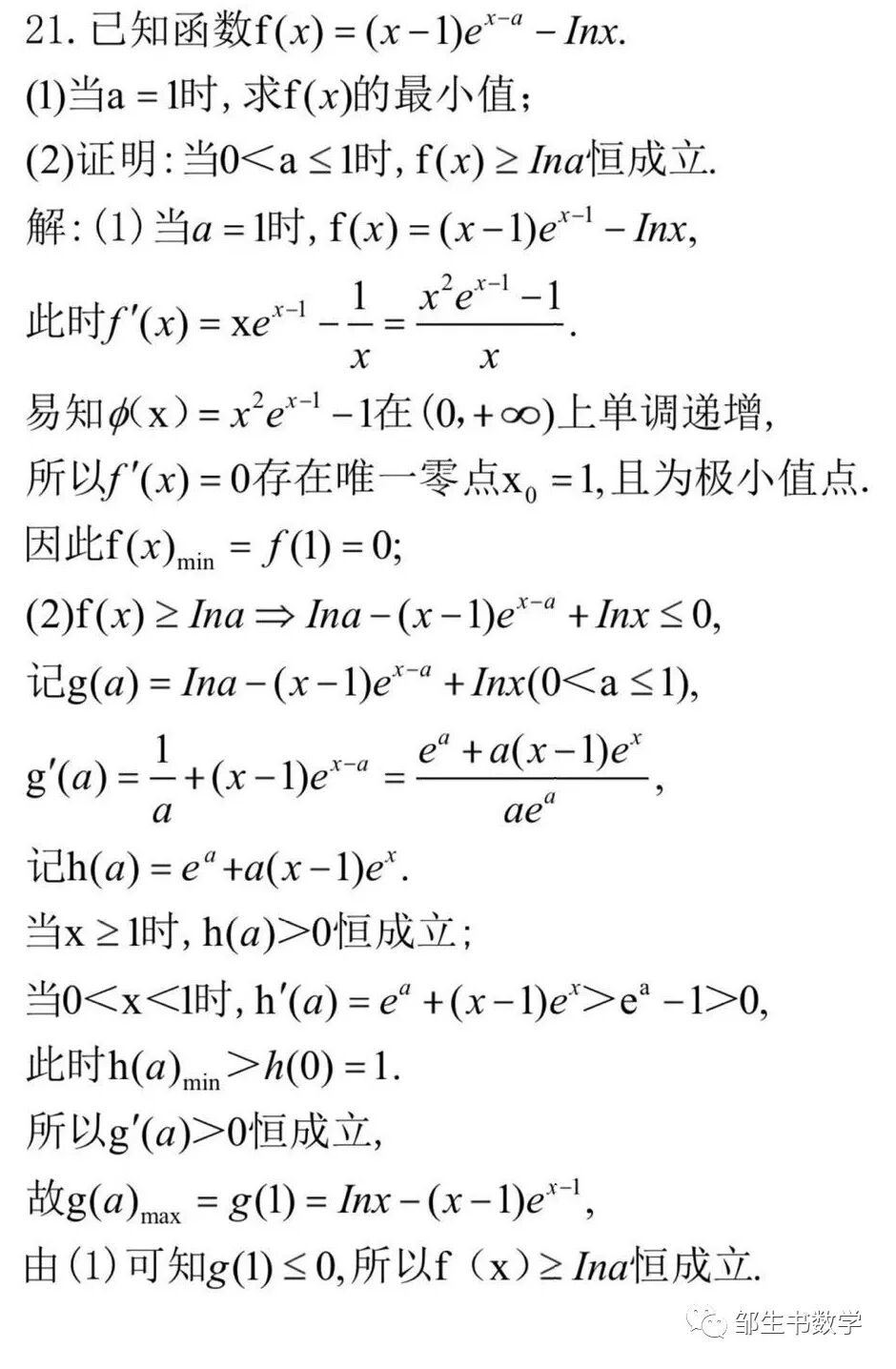
武汉市三月调考导数压轴题
的几个新解法
浙江省平阳中学 洪一平
中铁五局集团有限公司 邓名武
![]()
![]()
![]()
![]()
![]()
中铁五局集团有限公司邓名武老师的解法如下:
![]()
相关文章链接:
邹生书——武汉三月调考数学第7题的五种解法
武汉市2021届高中毕业生三月质量检测逐题解析
武汉市2021届高中毕业生三月质量检测数学试题与参考答案评分标准
邹生书、洪一平——武汉市2021届三月调考第12题的两个解法
杨 俊——曲线的切线和曲线的交点问题的探究
![]()
【作者简介】洪一平,男, 1962年4月出生, 1979年考上浙江大学应用数学系并于83年毕业, 获理学士学位, 毕业后分配到杭州商学院担任高数助教二年, 85年考上浙江大学应用数学系攻读计算机辅助几何设计专业硕士研究生学位, 89年获得理学硕士学位, 毕业后回家乡任教于浙江省平阳中学, 96年评上高中数学高级教师职称, 曾连续二十多年担任高中数学竞赛及培优辅导员。
![]()
长按或扫描二维码关注本公众号!
投稿邮箱:zoushengshu@163.com;
商务联系:13297228197。
洪一平解难题文章专集链接
106.洪一平:函数在区间内有最大值和最小值参数取值范围试题与解法
105.洪一平——向量最值姐妹试题的坐标解法与代数解法
104.个屋院、洪一平等:一道三元分式最小值问题的解法与推广
103.洪一平:一道递推数列首项取值范围试题与解答
102.洪一平——五种方法解答一道向量最大值试题
101.洪一平:一道双曲线离心率试题的三种解法
100.洪一平——函数不等式恒成立求参数取值范围试题
99.洪一平——递减数列参数取值范围试题的两个新解法
98.洪一平——2021年上海春考数学第12题的解答
97.洪一平、魏拴文:解答一道多元条件最值难题
96.洪一平——分段函数有三个零点求参数取值范围难题的解法
95.洪一平:一道数列多选难题的解法
94.洪一平、勒小平——比例赋值法简解约束条件下目标函数最值题
93.洪一平——双抛物线与四直线纠缠在一起的试题与解答
92.洪一平——以椭圆短轴端点为直角顶点的内接等腰直角三角形有三个的离心率取值范围
91.洪一平——两个函数图象仅有一个公共点难题的两个解法
90.洪一平、魏拴文等:一道向量等式条件下最值难题的几种解法
89.张联忠等——用圆锥曲线的配极原理证明三角形外接圆恒过定点试题
88.洪一平、孙京:一道正弦型函数求w的最小值试题
87.洪一平:2011年高考全国二卷压轴题的新解法
86.洪一平:一道函数有6个零点求参数取值范围
85.魏拴文、洪一平:解答一道二次函数条件下最大值中的最小值
84.洪一平——解答一道数列综合题
83.洪一平:一道双参数双量词绝对值不等式恒成立 求参数取值范围问题的两个解法
82.洪一平、邹生书:一道有三个参数的向量试题的两种解法
81.洪一平、刘锐——圆中同起点动弦向量数量积最小值难题的八种解法 你知道几种?
80.洪一平——简证一道分式不等式
79.洪一平、杨俊等——三线段长度最大值的最小值试题解法研讨
78.洪一平——不等式恒成立 求双参数积最大值试题的两个解法
77.洪一平——解答两道组合竞赛题
76.洪一平——2020湖北高三5月调研模拟理科数学第10题解析
75.洪一平——特殊函数法和构造函数法解一道抽象函数不等式
74.洪一平、陈佳文:一道二元条件最值试题的两个解法
73.洪一平——解答一道精彩的立体几何线段和最小值难题
72.洪一平——解析一道不等式恒成立难题
71.洪一平——这个怪异丑陋的三角不等式征解题 原来的样子很优美
70.洪一平等:一道四元二次式最小值试题的几个创新解法
69.洪一平——解答一道综合性较强的最值选择题
68.洪一平——解答一道圆与抛物线交点纵坐标最小值试题
67.洪一平——椭圆中两个三角面积和的求值与几何背景
66.洪一平——四边形中三角形面积最大值问题的七种解法
65.洪一平——隐极值点法和参数分离法解一道不等式恒成立试题
64.洪一平:一个函数有六个零点求参数取值范围难题
63.洪一平——两种方法解答一道正弦型函数中w取值范围试题
62.洪一平、邹生书——三角形面积最大值试题的两种求解视角
61.洪一平——2011年印度数学奥林匹克抽象函数竞赛题的严谨解法
60.洪一平——两种方法解答一道抛物线焦点弦比值计算难题
59.洪一平、邹生书——六种方法解答一道含有参数的向量模之和的最小值试题
58.洪一平——解答一道模拟考试导数压轴难题
57.洪一平、李有贵——再解一道二元不等式条件下的取值范围试题
56.袁方、洪一平、邹生书——运用“等积线”求解一类条件最值问题
55.洪一平——两种方法解答一道浙江高考难题
54.洪一平——三角形中一个函数最大最小值双填试题及其解法
53.洪一平——解答加拿大CRUX杂志4528问题
52.洪一平、邹生书:一道与椭圆焦点弦相关的向量模取值范围 难题的两个解法
51.洪一平、邹生书——三角形面积最大值问题的两个新解法与几何背景
50.洪一平——运用“同构”解答一道参数取值范围试题
49.洪一平——解答一道动圆半径最大值征解试题
48.洪一平——对一道二次根式线性和取值范围问题的解法再探讨
47.洪一平、张红生——涉及二次函数零点的系数线性和最值问题及其解法
46.洪一平:大胆假设 小心求证——解答一道最小值难题
45.洪一平——二次函数在区间上有零点求参数代数式取值范围
44.洪一平:一个二元条件最小值问题的几何背景及其解法
43.洪一平——山西八校联考向量数量积最大值试题的五种解法
42.洪一平:一道二元条件最小值问题的几个解法
41.洪一平——再解2013年哈萨克斯坦奥林匹克最大值问题
40.洪一平——2019年5月浙江五校联考试题第9题的四种解法
39.洪一平——六种方法解答一道四边形中的三角形面积最大值问题
38.洪一平——不用隐零点另辟蹊径解两道函数压轴题
37.洪一平——证明一道四元不等式征解题
36.洪一平——解答一道模拟考试函数压轴难题
35.洪一平——数形结合简解一道函数压轴题
34.洪一平——一道双参数双层最值联考试题的解法探讨
33.洪一平——三次函数对称中心的一个判定方法与应用
32.洪一平——解答一道高三大联考函数压轴题
31.洪一平——作直角三角形内切圆数形结合解一道最值试题
30.洪一平、 杨飞、邹生书——解答一道以椭圆为载体的轨迹方程与面积最值征解难题
29.洪一平、王桥——一道黄冈中学自主招生试题的两种解法
28.洪一平——建系设点三角代换再解双动点线段和最值题
27.胡长淼、洪一平——一道已知函数的最小值求参数取值试题的三种解法
26.洪一平——一道方程有三个实根求参数取值范围试题的解法
25.洪一平——一道复合方程解的个数恒定问题的解法
24.洪一平——2019届南通海安上学期期末考试第14题的两个解法
23.洪一平——用高线法解2019年江苏省数学夏令营测试卷第7题
22.杨俊、张长新、洪一平、李启印——解答一道与阿氏圆有关的双根式最小值征解题
洪一平——解答两道微信群征解题
21.洪一平——解答一道方程有解求参数取值条件的群聊问题
20.洪一平——构造双曲线解答双根式函数值域问题
19.洪一平——第十六届东南杯数学奥林匹克高一试题第一题的两个新解法
18.洪一平——用函数的凹凸性分析法证明一道函数不等式
17.洪一平、张智刚、霍忠林——一道涉及三角形内心的向量系数和最值问题的几个简解
16.洪一平——一道二元三次条件等式一次最小值问题的几种解法
15.洪一平——利用三倍角公式解证两道三次函数的零点问题
14.洪一平——2017年福建高中数学竞赛第8题的几个精彩解法
13.洪一平、邹生书——两个二元条件指数式取值范围问题及其解法
12.洪一平——解答《数学通讯》第6期问题征解401与402号题
11.洪一平——利用三角形的高线解题
10.洪一平——2018年湖北数学竞赛第11题的优美解法
9.洪一平、张智刚、邹生书——一道三次函数零点个数试题的解法与反思
8.洪一平——解答中科大2019自主招生最后一题
7.洪一平:一道方程有四个实根选择题的新解法
6.洪一平:一道含有双参数绝对值全称量词和特称量词综合小题的四种解法
5.洪一平——消元法再解一道三角函数条件最值题
4.洪一平:一道双参数多层最值问题的三种解法
3.洪一平——直接求解一道四边形面积的最大值问题
2.洪一平——解析两道抽象函数导数小题
1.洪一平——图解一个经典的数学问题
![]()
公众号邹生书数学
2020年9月至2020年12月
最受读者欢迎的数学解题文章链接
51.邹生书——先充分后必要解一类端点效应高考题
50.解题交流——思路更清晰 方法更多样 解法更简单
49.甘志国——从解题教学谈高效课堂
48.柴淑兰、王丽敏——抓好“概念、方程和几何性质”解决椭圆常规问题
47.挖掘三点共线向量等式所隐藏的两个结论 简解一道向量题
46.越做越起劲的100道高中数学函数压轴题, 你敢来试试吗?
45.庞景生——2012年广东高考理科数列第19题的深度思考
44.新课程下的尖子生培养(含PPT)
43.清华优等生,谈学习经验(建议收藏)
42.柴淑兰——直线与圆中的那些最值问题
41.刘 锐——对一类双参变量函数问题解法的探讨
40.数学干货 | 一文带你剖析如何学好高中数学!
39.邹生书——原函数法解抽象函数选择压轴题
38.林明成——妙用均值不等式的八类配凑方法
37.邹生书——构造常数数列 巧求数列通项
36.彭光焰——向量数量积不等式|a|∧2|b|∧2≥(a•b)∧2的解题探究
35.杨 俊——对一道三角形周长最小值问题的深入研讨
34.向量数量积相关的最值问题的常见处理方法
33.彭光焰——发挥解题后反思对培养学生思维品质的作用
32.黄贤锋:与三角交汇 与素养同行
31.黄贤锋:一道三角函数题的多解探究
30.邹生书——对两个姊妹最值问题的深入研究
29.彭光焰:巧用教材资源 命制高考试题
28.高慧明——巧解以数列与函数不等式等知识相结合的选择题
27.2020北京大学清华大学强基计划数学试题与答案解析
26.彭光焰:从“路径依赖”到“另辟蹊径” ———从几道三角题的解法谈起
25.彭光焰:全面理解 多方转化——一道分式函数最值问题的多角度审视
24.曹凤山:基于核心素养提升的高考数学备考策略——以函数与导数内容为例
23.贝努利不等式的 “前世今生”(可下载打印)
22.例析用向量数量积的几何意义解题
21.夏远景——例谈新形势下高三数学“强基”策略与方法
20.对一道三角形面积最小值问题的解法再研讨
19.彭光焰——对一道课本例题解法探讨
18.李志敏——2021年高考数学新动向与备考建议
17.程 波——由函数解析式判断其有无对称性,我有个好主意
16彭西东——解析几何运算中双根非对称式问题的解决方案
15.何重飞等:重概念 强运算 提素养 增能力
14.一道与阿氏圆有关的最大值试题的七种解法
13.夏远景——新形势下高三数学培优策略与方法
12.曾 蓉——二元最值里的那些事儿
11.赵志岗——深度解析2020年全国1卷理数第21题的命题方式与背景
10.彭光焰——用课本例题撬起学生探究之趣
9.甘大旺——2019 年浙江大学一道开平方自招题的 4 种解法
8.柴淑兰、王丽敏——例析数列求和的六大基本方法
7.李志敏——如何设置恰当背景编造数学新题
6.徐树旺:一类圆锥曲线课本题的探究拓展
5.郝荣山、霍忠林:“指对混搭型”不等式证明的处理策略
4.邹生书、陈佳文——巧解 妙解 暴力解 揭示本质可速解
3.特殊二次递推数列通项公式奇葩解法的探究之旅
2.干货||一文搞定柯西不等式及其应用
1.数学帝葛军:如何学好高中数学(PPT+视频)
![]()
长按或扫描二维码关注本公众号!
投稿邮箱:zoushengshu@163.com;
商务联系:13297228197。