请点击上方蓝色字体“邹生书数学”,订阅本微信公众号;请点击右上角的“…”,发送给朋友或分享到朋友圈。
公众号“邹生书数学”创建于2018年8月28日。
开号宗旨:为热爱学习和研究的高中数学教师和教研员搭建学习交流平台,提升教学能力,促进专业发展。本公众号致力传播数学文化,发表教研成果,交流教学经验,探讨数学问题,展示解题方法,分享教学资源,为服务高中教学作贡献。
邹生书,男,1962年12月出生,本科学历,理学士学位,中学数学高级教师,黄石市高中数学骨干教师。主要从事高中数学教学、高中数学解题研究和探究性学习等。从2007年8月到2018年8月,在《数学通讯》《数学通报》《数学教学》《中学数学》《中学数学教学》等,二十多种学术期刊上发表解题和探究性学习文章300余篇。
公众号“邹生书数学”诚请高中数学教师、教研员和热爱数学的朋友不吝赐稿。来稿请注明真实姓名、工作单位和联系方式,一般只接受word文档格式的电子稿件,文稿请认真审查,防止错漏,确保无误,文责自负。
本公众号对优秀作者和名师一般会附上“作者简介”,以让广大读者更好地了解作者的研究成果和方向,以便进一步学习作者的相关数学思想或解题方法。
投稿邮箱:zoushengshu@163.com;
商务联系:13297228197。
【编者按】在高考和模拟考中,圆锥曲线大题大多放在倒数第二题的位置,函数大题最后压轴,而这次湖北八市联考一反常态,函数大题屈居倒数第二,让位圆锥曲线大题压轴试卷。事出有因,本卷函数大题难度不大,解法单一,放在最后压轴实在难以服众,而圆锥曲线大题第2问分设两小问,一小问为直线过定点问题,二小问为三角形面积最大值,均为重头戏,并且求三角形面积最大值用导数知识求解方为上策。另外,试题背景深厚,综合性强,问题涉及焦点弦、准线等。在考查知识的同时重点考查考生的综合素质和数学素养,考查探究能力和创新意识,以及运算求解能力。本卷压轴舍我其谁?非圆锥曲线大题莫属!
湖北八市联考圆锥曲线压轴题直线过定点
三角形面积最大值的解法探讨
湖北省阳新县高级中学 邹生书
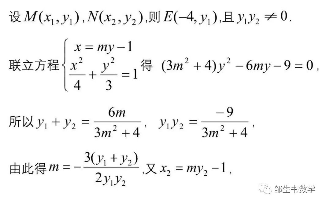
(2)①法1:通过直线EN的方程求出定点P的坐标
由(1)知直线m的方程为x=-4, 焦点F(-1,0),依题意设直线MN的方程为:x=my+1,
法2:先定性再定量
即先根据对称性确定点P在x轴上,再用方程精准求出点P的坐标
由(1)知直线m的方程为x=-4,依题意由对称性知,P必在x轴上,F(-1,0),
法3:特殊引路,先探后证
依题意由对称性知,P必在x轴上,特别地,当直线MN与x轴垂直时,易知直线EN与x轴的交点就是线段HF的中点,其中H是直线x=-4的与x轴的交点,所以定点P的坐标为(-2.5,0).下面证明一般情形下N,P,E三点共线。
点评:上述三种解法要面对的一个共同点也就是问题能否解决的关键是:韦达定理非对称式如何处理?处理方法是:从根与系数关系得到的关于点M,N的纵坐标的和与积的关系出发,将m用这两点的纵坐标的和与积表示出来,将所求式子通过消去m实现两个纵坐标的非对称式向对称式子的转化,从而达到解决问题的目的。
法4:回归椭圆第二定义,几何助力轻松搞定
易知直线m:x=-4是椭圆的左准线,如图,分别过点M,N作直线m的垂线,垂足分别为E,G,设H为直线m与x轴的交点。设F1N=r, F1M=R,由椭圆第二定得,NG=2r,ME=2R.因为EM//F1H//NG,由相似三角形性质及平行线分线段成比例定理得
所以PH=PF1,即P为PF1的中点,所以定点P的坐标为(-2.5,0).
当t=1时,m=0,直线MN与x轴垂直。
解法2:用椭圆圆第二定义切入求解
与第①问的解法4椭圆第二定义解法对应有此解法。如图,设直线MN的倾斜角为θ,且不妨设θ∈(0,π/2),设F1M=R,F1N=r,由椭圆第二定义得ME=2F1M,即ME=MA+AE=MA+F1H=Rcosθ+3=2R,
当t=1时,θ为直角,直线MN与x轴垂直。
评注:本小题也可直接用椭圆的极坐标方程求解。
点评:若用判别式或均值不等式求解三角形面积最大值则均无功而返,因为等号成立时t的取值不满足t≥1。判别式法或均值不等式求最值限制条件较多解法有局限性,而用导数求解最值则非常可靠,万无一失。
另解:由上面得到△OEN的面积为
θ为直角,直线MN与x轴垂直。
相关文章链接:
长按或扫描二维码关注本公众号!
投稿邮箱:zoushengshu@163.com;
商务联系:13297228197。