请点击上方蓝色字体“邹生书数学”,订阅本微信公众号;请点击右上角的“…”,发送给朋友或分享到朋友圈。
公众号“邹生书数学”创建于2018年8月28日。
开号宗旨:为热爱学习和研究的高中数学教师和教研员搭建学习交流平台,提升教学能力,促进专业发展。本公众号致力传播数学文化,发表教研成果,交流教学经验,探讨数学问题,展示解题方法,分享教学资源,为服务高中教学作贡献。
邹生书,男,1962年12月出生,本科学历,理学士学位,中学数学高级教师,黄石市高中数学骨干教师。主要从事高中数学教学、高中数学解题研究和探究性学习等。从2007年8月到2018年8月,在《数学通讯》《数学通报》《数学教学》《中学数学》《中学数学教学》等,二十多种学术期刊上发表解题和探究性学习文章300余篇。
公众号“邹生书数学”诚请高中数学教师、教研员和热爱数学的朋友不吝赐稿。来稿请注明真实姓名、工作单位和联系方式,一般只接受word文档格式的电子稿件,文稿请认真审查,防止错漏,确保无误,文责自负。
本公众号对优秀作者和名师一般会附上“作者简介”,以让广大读者更好地了解作者的研究成果和方向,以便进一步学习作者的相关数学思想或解题方法。
投稿邮箱:zoushengshu@163.com;
商务联系:13297228197。
2021汕头市高三质量检测压轴题
解法大比拼
福建 刘锋艺
河北邢台 霍忠林
浙江省平阳中学 洪一平
湖北省阳新县高级中学 邹生书
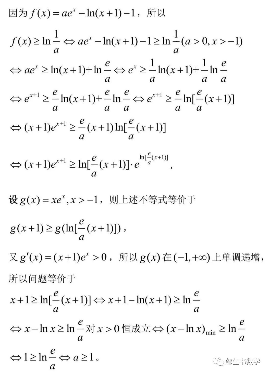
22.已知f(x)=aex-ln(x+1)-1.
(1)当a=1时, 求f(x)的最小值;
(2)若f(x)≥ln(1/a)恒成立, 求a的取值范围.
解:(2)法1:用指对不等式e2≥x+1和x-1≥lnx放缩求解
评注:上面用指对不等式放缩求出的参数a≥1只是不等式f(x)≥ln(1/a)恒成立的充分条件,并非充要条件。
下面证明a≥1又是这个不等式恒成立的必要条件,则只要证明:
法2:同构等价转化求解 福建刘锋艺 提供
法3:同构法 浙江省平阳中学 洪一平 提供
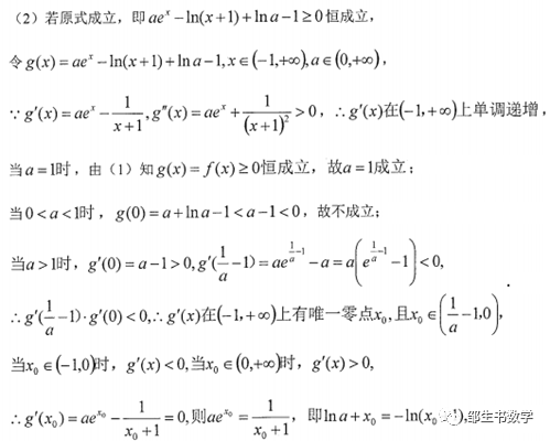
由题设得aex +lna≥ln(x+1)+1, 即
ex+lna +x+lna≥ln(x+1)+x+1=eln(x+1)+ln(x+1)恒成立,
设g(x)=ex+x, 易知g(x)是R上的增函数,
且g(x+lna)≥g[ln(x+1)],得x+lna≥ln(x+1)恒成立,
即lna≥ln(x+1)-x恒成立, 易得[ln(x+1)-x]max=0,
故lna≥0, 即a≥1.
解法4:反函数法 洪一平 提供
解法5:变更主元法 洪一平 提供
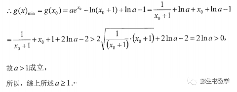
设g(a)=f(x)+lna=aex+ lna-ln(x+1)-1,
a>0, x>-1,则"x>-1, g(a)是(0, +∞)上的增函数,
且g(a)≥0恒成立,由(1)知g(1)=ex-ln(x+1)-1≥0,
故当a≥1时, g(a)≥g(1)≥0;
当0<a<1时, 令x=0, 则g(a)=a+lna-1<1+ln1-1=0,
即f(0)<ln(1/a).
综上, a≥1.
解法6:先必要后充分 河北邢台 霍忠林 提供
若f(x)≥ln(1/a)在x>-1时恒成立,
则f(0)=a-1≥ln(1/a),
得a+lna-1≥0,而g(a)=a+lna-1是增函数,
且g(1)=0,所以a≥1.
即a≥1是不等式f(x)≥ln(1/a)恒成立的必要条件。
下面证明a≥1是不等式f(x)≥ln(1/a)恒成立的充分条件。
当a≥1时,f(x)=aex-ln(x+1)-1≥ex-ln(x+1)-1,
由(1)知ex-ln(x+1)-1≥0,所以左边f(x)≥0,
而a≥1时,右边ln(1/a)≤0,故不等式f(x)≥ln(1/a)恒成立。
综上,a的取值范围是[1,+∝)。
下附原卷参考答案解法如下:
相关文章链接:
胡云端——再谈用 e^x≥x+1 和 x-1≥lnx 证明导数压轴题
长按或扫描二维码关注本公众号!
投稿邮箱:zoushengshu@163.com;
商务联系:13297228197。