请点击上方蓝色字体“邹生书数学”,订阅本微信公众号;请点击右上角的“…”,发送给朋友或分享到朋友圈。
公众号“邹生书数学”创建于2018年8月28日。
开号宗旨:为热爱学习和研究的高中数学教师和教研员搭建学习交流平台,提升教学能力,促进专业发展。本公众号致力传播数学文化,发表教研成果,交流教学经验,探讨数学问题,展示解题方法,分享教学资源,为服务高中教学作贡献。
邹生书,男,1962年12月出生,本科学历,理学士学位,中学数学高级教师,黄石市高中数学骨干教师。主要从事高中数学教学、高中数学解题研究和探究性学习等。从2007年8月到2018年8月,在《数学通讯》《数学通报》《数学教学》《中学数学》《中学数学教学》等,二十多种学术期刊上发表解题和探究性学习文章300余篇。
公众号“邹生书数学”诚请高中数学教师、教研员和热爱数学的朋友不吝赐稿。来稿请注明真实姓名、工作单位和联系方式,一般只接受word文档格式的电子稿件,文稿请认真审查,防止错漏,确保无误,文责自负。
本公众号对优秀作者和名师一般会附上“作者简介”,以让广大读者更好地了解作者的研究成果和方向,以便进一步学习作者的相关数学思想或解题方法。
投稿邮箱:zoushengshu@163.com;
商务联系:13297228197。
湖北十一校联考抛物线大题的解法
与极点极线背景
湖北省阳新县高级中学 邹生书
21.已知动点P在x轴上及其上方,且点P到点F(0,1)的距离比到x轴的距离大1.
(1)求求点P的轨迹C的方程;
(2)若点Q是直线y=x-4上任意一点,过点Q作点P的轨迹C的两条切线QA,QB,其中A,B为切点,试证明直线AB恒过一定点,并求出该点的坐标。
解析:(1)法1(参考答案解法)
法2:设点P(x,y)依题意点P到点F(0,1)的距离与它比到直线y=-1轴的距离相等,所以点P的轨迹是以点F为焦点以直线y=-1为准线的一条抛物线,其方程为x2=4y.
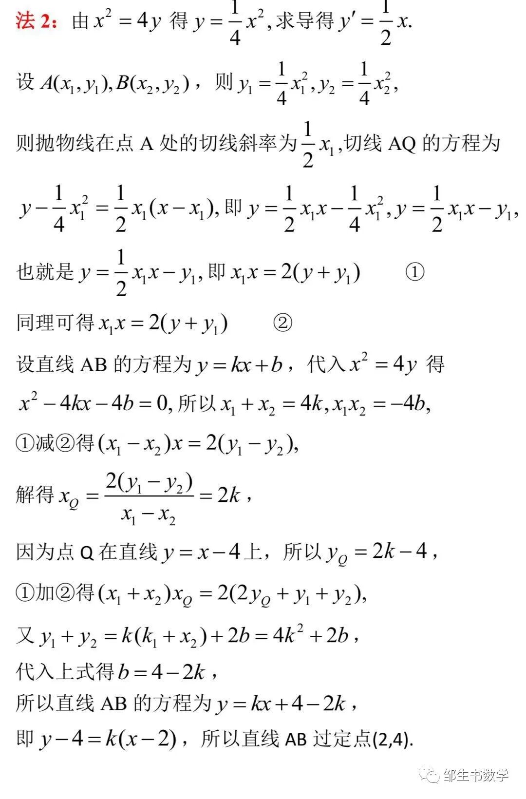
(2)法1(参考答案解法)
点评:比较解法2和解法3知,解法2显得曲折迂回,似乎走了弯路。
法4:由圆锥曲线极点极线的知识知,若直线AB过定点M(x0,y0),则抛物线在点A,B处的两条切线的交点Q必在点M所对应的极线x0x=2(y+y0)上,依题意点Q在直线y=x-4上,所以直线y=x-4就是点M所对应的极线,由y=x-4得2x=2(y+4),比较得x0=2,y0=4所以直线AB过定点(2,4).
另解:也可由x0x=2(y+y0)得y=0.5x0x-y0,与y=x-4比较得x0=2,y0=4,所以直线AB过定点(2,4).
相关文章链接:
8.陈 辉、邹生书——湖北十一校第二次联考第19题的两个简单解法
4.邹生书——从八省联考第7题例析圆锥曲线双切线问题的处理方法
3.邹生书——从八省联考第7题例析圆锥曲线双切线问题的处理方法(完整版)
长按或扫描二维码关注本公众号!
投稿邮箱:zoushengshu@163.com;
商务联系:13297228197。