请点击上方蓝色字体“邹生书数学”,订阅本微信公众号;请点击右上角的“…”,发送给朋友或分享到朋友圈。
公众号“邹生书数学”创建于2018年8月28日。
开号宗旨:为热爱学习和研究的高中数学教师和教研员搭建学习交流平台,提升教学能力,促进专业发展。本公众号致力传播数学文化,发表教研成果,交流教学经验,探讨数学问题,展示解题方法,分享教学资源,为服务高中教学作贡献。
邹生书,男,1962年12月出生,本科学历,理学士学位,中学数学高级教师,黄石市高中数学骨干教师。主要从事高中数学教学、高中数学解题研究和探究性学习等。从2007年8月到2018年8月,在《数学通讯》《数学通报》《数学教学》《中学数学》《中学数学教学》等,二十多种学术期刊上发表解题和探究性学习文章300余篇。
公众号“邹生书数学”诚请高中数学教师、教研员和热爱数学的朋友不吝赐稿。来稿请注明真实姓名、工作单位和联系方式,一般只接受word文档格式的电子稿件,文稿请认真审查,防止错漏,确保无误,文责自负。
本公众号对优秀作者和名师一般会附上“作者简介”,以让广大读者更好地了解作者的研究成果和方向,以便进一步学习作者的相关数学思想或解题方法。
投稿邮箱:zoushengshu@163.com;
商务联系:13297228197。
应用导数解决一类隐零点恒成立问题
山西省朔州市朔城区一中 柴淑兰
西南大学在读大四学生 王丽敏 编辑
小结:变量分离后可避免讨论,但分离后研究的函数往往是分式函数,求导比较复杂一点。本题两种方法都无法逃避的问题是用极值点求最值,极值点存在不可求,这是必须利用“导数为零”这个重要特征,设而不求,替换指数式、对数式,使得极值,也是所求最值得解!一般人们把这种问题叫做“隐零点问题”,做法就是“设而不求”!
小结:该题与例1解法二一样,同样遇到隐零点问题,即使使用设而不求法处理,但最值结果中仍含有x0,对待这个“虚拟”的值,如何求得实数a的最小正整数解,不是一件容易的事!这时,要充分利用题目中已知的“重要数据”:
分析:又一个隐零点问题,分析结果,对该零点的范围要求并不高(例2为达到求最小正整数解,对极值点范围要求极高!),只是需要对
遇到隐零点问题,大胆进行设而不求去尝试,充分发挥其适合的方程,变形使用,在求最值过程中发挥其功能作用,必然会产生“车到山前必有路,柳暗花明又一村”的效果。
从中可以看出欲求k最大正整数解,只需要x0存在于两个连续的偶数或者奇数之间即可,不需要非在两个连续整数之间,经估算
当然此题用例1解法一,或者数形结合的方法都可以求解。
小结:注意到端点f(1)=0,当f'(x)≥0时当然成立,否则出现1到某区间为减函数(用隐零点或者找其它点),得到矛盾,这样正反对比即可下结论!这类题的重要特征是端点值为0,所以人们称之为“端点效应”。
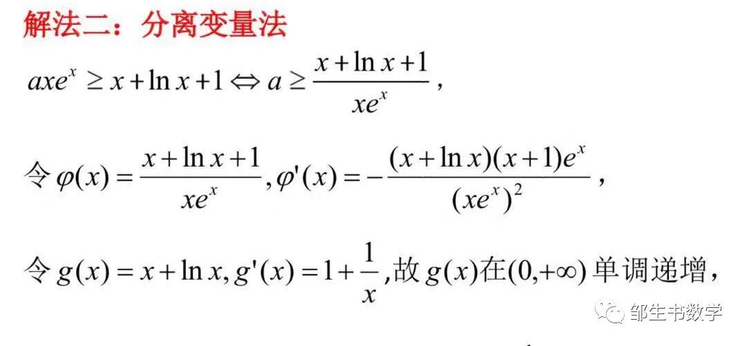
【解法二】变量分离法
小结:该题利用分离变量法,发现函数有单调性非常好,但遇到的困难是需要求出x→0时g(x)的极限值!需要用洛必达法则才能得得准确结果,否则估算容易出错。x趋于0时,函数结构为”0/0”型,用洛必达法则可以求出g(x)→1,得m≤1。
【解法三】数形结合法
小结:用数形结合法,不仅需要分析函数p(x)的单调性,而且还需要分析其凸凹性,也就是需要求二阶导数才能把其图像特征更为准确的刻画出来,也才能真正利用图像,再求(1,0)处的切线斜率,直接得出准确结论。
说明:对于这种“端点效应问题”,也有这样一种认识和求解方法:
注意到g(0)=0,所以,欲使g(x)≥0,必有g'(x)≥0,得a≤2,然后检验,当a≤2时,恒有g'(x)≥0,所以,g(x)在[0,)上单调递增,又g(0)=0,所以有结论。这种解题思路是,抓住零点效应求恒成立的必要条件,然后检验它的充分性。显然检验起来非常简单,相比之下,前面解法在否定a>2时既麻烦又有难度。
总结:可移项变形为F(x)≥0或F(x)≤0的,恒成立问题,处理策略一般有三种。第一种:必要时讨论F(x)的最小值或最大值,然后加以限制求字母取值范围;第二种方法:分离变量法,转化为研究不含变量的函数值域问题,然后确定字母取值范围;第三种方法:数形结合法,即将原问题转化为两个图像的高低问题。对于能成立问题、函数零点个数问题,方程解的个数问题,一般也是这三种方法。
解法一:多数情况需要讨论,特别是端点处最值为0的情形。
解法二:求字母的最大值最小值。需要对极值点设而不求,替代完成指数或者对数式,为了整数最大或者最小值,有时需要框定极值点的范围,注意用分析法,结合题目条件或结论进行针对性确定。。
解法三:不仅需求导分析函数单调性,,还需要结合凹凸性、端点等多个方面才能求解。
此题最小值的确定不难,就在两个端点处,不需要追究那个更小,欲使函数值恒大于等于零,同时限制端点值即可!然而题目的难点发生在后面解实数a的不等式组上!两个零点一个可读出,另一个存在但不可求,仍然需要设出来,但在求交集使恰好规避了!又是一个隐零点的设而不求,但它不是在变形替代中发挥作用,而是起一个临时支撑的作用。
所以,这种求字母取值范围的题目,如果是恒成立问题,不妨就某个取值找出其必要条件,缩小研究范围,也行此举使得负责问题简单化,避免讨论;还有,在“”此路不通”的恶劣条件下,不妨换种思路去寻找突破口,“另辟蹊径”,别有一番风景在眼前。
柴淑兰,山西省朔州市朔城区一中数学教师,副高级职称,省学科带头人,区教学能手,学科名师、优秀班主任、师德标兵,从教29年,坚持工作在教学第一线,主持年级教学工作,兼任班主任,工作踏实,教学风格严谨细致,注重基础,追本溯源,管理班级粗中有细游刃有余,深得学生敬重和家长好评。
作者往期文章链接:
8.柴淑兰、王丽敏:一道训练“配凑法”使用基本不等式求最值的题目
3.柴淑兰——关于“高中数学必修1第一章”难点处理策略(“待续”完整版)
2.柴淑兰——关于“高中数学必修1第一章”难点处理策略(待续)
1.柴淑兰——关于“高中数学必修1第一章”难点处理策略(续完)
长按或扫描二维码关注本公众号!
投稿邮箱:zoushengshu@163.com;
商务联系:13297228197。