请点击上方蓝色字体“邹生书数学”,订阅本微信公众号;请点击右上角的“…”,发送给朋友或分享到朋友圈。
公众号“邹生书数学”创建于2018年8月28日。
开号宗旨:为热爱学习和研究的高中数学教师和教研员搭建学习交流平台,提升教学能力,促进专业发展。本公众号致力传播数学文化,发表教研成果,交流教学经验,探讨数学问题,展示解题方法,分享教学资源,为服务高中教学作贡献。
邹生书,男,1962年12月出生,本科学历,理学士学位,中学数学高级教师,黄石市高中数学骨干教师。主要从事高中数学教学、高中数学解题研究和探究性学习等。从2007年8月到2018年8月,在《数学通讯》《数学通报》《数学教学》《中学数学》《中学数学教学》等,二十多种学术期刊上发表解题和探究性学习文章300余篇。
公众号“邹生书数学”诚请高中数学教师、教研员和热爱数学的朋友不吝赐稿。来稿请注明真实姓名、工作单位和联系方式,一般只接受word文档格式的电子稿件,文稿请认真审查,防止错漏,确保无误,文责自负。
本公众号对优秀作者和名师一般会附上“作者简介”,以让广大读者更好地了解作者的研究成果和方向,以便进一步学习作者的相关数学思想或解题方法。
投稿邮箱:zoushengshu@163.com;
商务联系:13297228197。
函数极值点偏移问题的本质探究
广东省中山纪念中学(528454)邓启龙
函数极值点偏移问题是近几年高考的热点,也是高考复习中的重点和难点,而处理极值点偏移问题,也有一些成熟有效的方法,比如构造对称函数、利用对数平均不等式等.本文通过对函数极值点偏移问题的本质进行探究,得到了处理函数极值点偏移问题的一种新方法.
1.极值点偏移
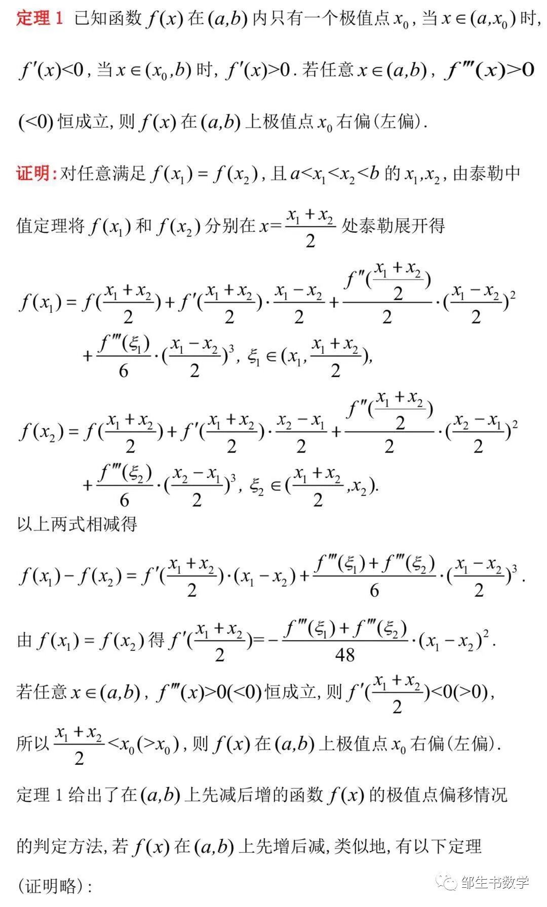
但是以上推导不能代替证明,笔者经过深入探究,得到以下定理并严格证明.
3.典型例题
下面给出几个典型的函数极值点偏移问题,并结合本文的定理加以分析.
例1(2016·全国卷Ⅰ理·21)
函数极值点偏移问题是考查导数的一种常见的题型,本文通过直观推理和严格证明对函数极值点偏移问题的本质进行探究,得到了判定函数极值点偏移的非常有效的方法.
参考文献
[1]邢友宝.极值点偏移问题的处理策略[J].中学数学教学参考(上旬),2014(7):19-22.
[2]陈宽宏.对数平均与高考压轴题[J].数学通讯(下半月),2012(11):34-37.
邹生书数学
2021年第一季度
最受读者欢迎的51篇数学解题文章
51.邹生书——湖北十一校联考抛物线大题的解法与极点极线背景
49.枯木逢春又再发 陈题改编创意新——兼谈多项选择题的解题技巧和命题建议
47.张国川——泉州市2021届高三质检立几题的命制与多种解法
46.洪一平等——2021汕头市高三质量检测压轴题解法大比拼
37.邹生书——圆锥曲线倾斜角互补的割线化切性质与相关问题处理技巧
35.邹生书——得分率很低的抛物线切点弦试题的多种处理方法赏析
27.邹生书:从一道抛物线试题的多种解法到圆锥曲线“伴侣点”的一个和谐性质
24.高中数学【立体几何】难点:外接球与内切球!你全部掌握了么?
23.洪 一平、邹生书——2021年广东四校联考理科第10题的解法再探讨
22.彭赛列闭合定理背景下的圆锥曲线内接三角形之内切圆半径问题
21.邹生书——从八省联考第7题例析圆锥曲线双切线问题的处理方法(完整版)
21.邹生书——从八省联考第7题例析圆锥曲线双切线问题的处理方法
19.八省联考数学试题评价与复习备考对策(附:数学试题官方参考答案)
15.邹生书——从八省联考数列大题研讨二阶线性递推数列通项公式
9.数形结合思想在高中数学中到底有多重要——读完之后我震惊了!!!
7.数学:听课感觉能听懂,为什么一做题就蒙圈?这是最好的答案!
6.邹生书——2008年高考江苏卷理科第14题的解法与背景 变式及应用
3.邹生书——圆锥曲线极点极线背景下高三百校联合测评选择题解法研讨
公众号邹生书数学
2020年9月至2020年12月
最受读者欢迎的数学解题文章链接
48.柴淑兰、王丽敏——抓好“概念、方程和几何性质”解决椭圆常规问题
46.越做越起劲的100道高中数学函数压轴题, 你敢来试试吗?
45.庞景生——2012年广东高考理科数列第19题的深度思考
36.彭光焰——向量数量积不等式|a|∧2|b|∧2≥(a•b)∧2的解题探究
31.黄贤锋:一道三角函数题的多解探究
26.彭光焰:从“路径依赖”到“另辟蹊径” ———从几道三角题的解法谈起
25.彭光焰:全面理解 多方转化——一道分式函数最值问题的多角度审视
24.曹凤山:基于核心素养提升的高考数学备考策略——以函数与导数内容为例
11.赵志岗——深度解析2020年全国1卷理数第21题的命题方式与背景
9.甘大旺——2019 年浙江大学一道开平方自招题的 4 种解法
长按或扫描二维码关注本公众号!
投稿邮箱:zoushengshu@163.com;
商务联系:13297228197。
公众号《邹生书数学》
最受读者欢迎的柒拾篇解题文章链接
(20191018——20200618)
2.“端点效应”模考压轴题的三种解法——分类讨论 洛必塔 导数定义(修正版)
4.刘锐——六构函数解答一道“指对混合”方程参数取值范围难题
6.李鸿昌——函数f(x)=2sinx+sin2x最小值的多解与变式探究
7.老唐说题——导数压轴题之同构式的三“生”三“释”+8个典型试题教你学同构
10.李鸿昌——绕开洛必达,回归导数概念,求解“0/0”端点效应高考压轴题
13.袁方、洪一平、邹生书——运用“等积线”求解一类条件最值问题
18.深度好文|用通性、通法解导数压轴题——全国理数一卷近三年导数题研究及2020年导数题预测
20.洛必塔法则 零点定理取点 函数凹凸性 三种法解一道“端点效应”难题
21.阳友雄:拉格朗日中值定理及其应用——不等式证明的又一大利器!!!
24.九市联盟2020届数学理科核心模拟卷三份及参考答案与评分细则
26.高考数学冲刺专题——解析几何(正高级,特级教师夏远景)
27.巧用“等和线”解决平面向量问题,怎一个“妙”字了得!!!
28.解答高考选择题的八大策略——教你如何灵活、高效、精准拿分!!!
43.曾蓉——轨迹法处理一类解三角形最值问题之一 阿波罗尼斯圆
53.曹凤山:年年考向量 岁岁数与形 ———浙江省自主命题以来向量试题特点评析
55.万尔遐、汪跃中——探讨高考数学命题人如何编定概率统计的试题
62.魏立国——不等式e^x ≥ x+1和+ln(x+1)≤X的应用
63.一道取值范围试题的七个解法四个结果!谁对谁错?问题出在哪?
64.【美不胜收】求解动点轨迹方程的的七种解法------全方位,无死角!!!
长按或扫描二维码关注本公众号!
投稿邮箱:zoushengshu@163.com;
商务联系:13297228197。