请点击上方蓝色字体“邹生书数学”,订阅本微信公众号;请点击右上角的“…”,发送给朋友或分享到朋友圈。
公众号“邹生书数学”创建于2018年8月28日。
开号宗旨:为热爱学习和研究的高中数学教师和教研员搭建学习交流平台,提升教学能力,促进专业发展。本公众号致力传播数学文化,发表教研成果,交流教学经验,探讨数学问题,展示解题方法,分享教学资源,为服务高中教学作贡献。
邹生书,男,1962年12月出生,本科学历,理学士学位,中学数学高级教师,黄石市高中数学骨干教师。主要从事高中数学教学、高中数学解题研究和探究性学习等。从2007年8月到2018年8月,在《数学通讯》《数学通报》《数学教学》《中学数学》《中学数学教学》等,二十多种学术期刊上发表解题和探究性学习文章300余篇。
公众号“邹生书数学”诚请高中数学教师、教研员和热爱数学的朋友不吝赐稿。来稿请注明真实姓名、工作单位和联系方式,一般只接受word文档格式的电子稿件,文稿请认真审查,防止错漏,确保无误,文责自负。
本公众号对优秀作者和名师一般会附上“作者简介”,以让广大读者更好地了解作者的研究成果和方向,以便进一步学习作者的相关数学思想或解题方法。
投稿邮箱:zoushengshu@163.com;
商务联系:13297228197。
![]()
构造函数法在与导数有关的抽象函数
不等式问题中的应用
广东省中山纪念中学 邓启龙
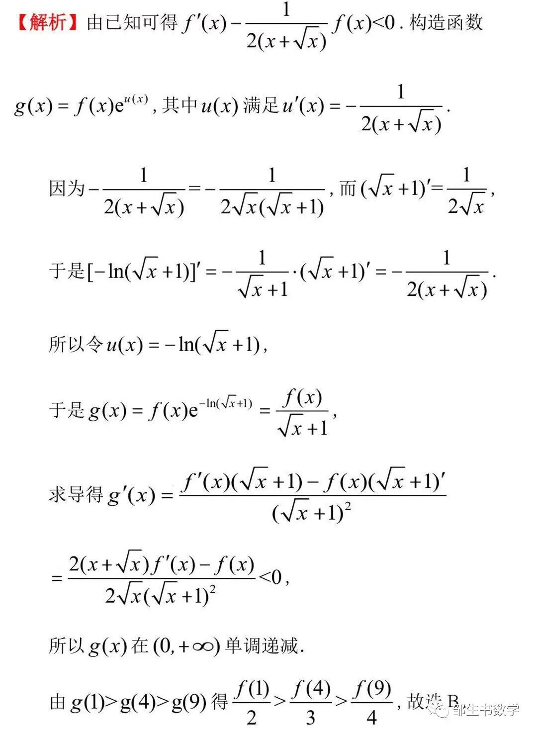
导数和不等式是高中数学的重点和难点,而这两类问题的结合使得问题变得复杂、灵活.如何把握这一类问题的本质,研究它们的通法,这是教学中迫切需要解决的问题.下面从几个与导数有关的不等式问题出发,去探索此类问题的通法.
![]()
![]()
![]()
![]()
![]()
![]()
![]()
![]()
![]()
![]()
![]()
![]()
![]()
![]()
![]()
与导数有关的不等式问题属于综合性比较强的问题,本文通过探索,找到了构造函数解决与导数有关的不等式问题的通法,即利用条件构造对应的函数,然后利用新函数的单调性解决问题.
邓启龙老师往期文章链接:
7.邓启龙:一个精彩不等式的简洁证明
6.邓启龙——待定系数法在不等式中的应用
5.邓启龙 ——2019年全国卷Ⅰ理科数学第23题的探究与推广
4.邓启龙——函数极值点偏移问题的本质探究
3.邓启龙——《数学通讯》2021年第4期问题489与490的解法
2.邓启龙——《数学通讯》2021年第4期问题488的三个解法
1.邓启龙——数学通讯2021第4期486与487问题解答
![]()
邹生书数学
2021年第一季度
最受读者欢迎的51篇数学解题文章
51.邹生书——湖北十一校联考抛物线大题的解法与极点极线背景
50.甘志国——解决几何问题 还是建系为好
49.枯木逢春又再发 陈题改编创意新——兼谈多项选择题的解题技巧和命题建议
48.高频考点——抛物线的焦点弦和焦点圆问题
47.张国川——泉州市2021届高三质检立几题的命制与多种解法
46.洪一平等——2021汕头市高三质量检测压轴题解法大比拼
45.邹生书——湖北八市联考圆锥曲线压轴题解法探讨
44.赵恢平——实数比较大小的九种方法24个典型试题解析
43.胡云端——立体几何中的动态问题
42.贺凤梅——由一道小题引发的思考与多角度探讨
41.邹生书:高考热点——数列中的存在项问题
40.刘春梅:破解计算卡壳 提升数学运算素养
39.邹生书——武汉三月调考数学第7题的五种解法
38.邹生书:立体几何中确定点位置的一个好方法——λ大法
37.邹生书——圆锥曲线倾斜角互补的割线化切性质与相关问题处理技巧
36.胡云端:专题复习——立体几何中的截面问题
35.邹生书——得分率很低的抛物线切点弦试题的多种处理方法赏析
34.杨 俊:一文帮你弄懂定角定弦模型
33.田伯峰——2019高考上海卷数学第12题解法探究
32.胡云端——圆锥曲线求离心率的常见题型与解法
31.邹生书——比较大小思路多 主考方法是同构
30.从七个视角研究极值点偏移问题
29.邹生书——圆锥曲线上四点共圆充要条件的统一证明与应用
28.高考新热点||三角函数与不等式联姻的五大命题点!
27.邹生书:从一道抛物线试题的多种解法到圆锥曲线“伴侣点”的一个和谐性质
26.高考热点专题||圆锥曲线中的倾斜角互补问题
25.导数解题笔记(七):必要性探路+充分性证明
24.高中数学【立体几何】难点:外接球与内切球!你全部掌握了么?
23.洪 一平、邹生书——2021年广东四校联考理科第10题的解法再探讨
22.彭赛列闭合定理背景下的圆锥曲线内接三角形之内切圆半径问题
21.邹生书——从八省联考第7题例析圆锥曲线双切线问题的处理方法(完整版)
21.邹生书——从八省联考第7题例析圆锥曲线双切线问题的处理方法
20.柴淑兰、王丽敏——设线设点都尝试,定值最值均可解
19.八省联考数学试题评价与复习备考对策(附:数学试题官方参考答案)
18.导数解题笔记(二、三):函数零点及复合函数零点问题
17.“数学帝”——学好高中数学只要三件宝:剑、A、镜子
16.导数解题笔记(一):极值与最值问题
15.邹生书——从八省联考数列大题研讨二阶线性递推数列通项公式
14.林开亮——三角函数中的“小蝌蚪找妈妈”
13.从八省联考数学试题看2021年新高考命题趋势
12.杨 俊——八省联考第7题直线方程的优美解法
11.陈 勇——八省联考导数压轴题解析
10.八省联考数学试题与解答
9.数形结合思想在高中数学中到底有多重要——读完之后我震惊了!!!
8.不要拿到题目就开始算 先画个图形看一看
7.数学:听课感觉能听懂,为什么一做题就蒙圈?这是最好的答案!
6.邹生书——2008年高考江苏卷理科第14题的解法与背景 变式及应用
5.邹生书——湖北高三百校联合测评选择压轴题的几个新解法
4.看不见的圆—再谈隐圆六大模型
3.邹生书——圆锥曲线极点极线背景下高三百校联合测评选择题解法研讨
2.张成凯——极点极线在高考中的命题趋势分析
1.邹生书——先充分后必要解一类端点效应高考题
![]()
公众号邹生书数学
2020年9月至2020年12月
最受读者欢迎的数学解题文章链接
51.邹生书——先充分后必要解一类端点效应高考题
50.解题交流——思路更清晰 方法更多样 解法更简单
49.甘志国——从解题教学谈高效课堂
48.柴淑兰、王丽敏——抓好“概念、方程和几何性质”解决椭圆常规问题
47.挖掘三点共线向量等式所隐藏的两个结论 简解一道向量题
46.越做越起劲的100道高中数学函数压轴题, 你敢来试试吗?
45.庞景生——2012年广东高考理科数列第19题的深度思考
44.新课程下的尖子生培养(含PPT)
43.清华优等生,谈学习经验(建议收藏)
42.柴淑兰——直线与圆中的那些最值问题
41.刘 锐——对一类双参变量函数问题解法的探讨
40.数学干货 | 一文带你剖析如何学好高中数学!
39.邹生书——原函数法解抽象函数选择压轴题
38.林明成——妙用均值不等式的八类配凑方法
37.邹生书——构造常数数列 巧求数列通项
36.彭光焰——向量数量积不等式|a|∧2|b|∧2≥(a•b)∧2的解题探究
35.杨 俊——对一道三角形周长最小值问题的深入研讨
34.向量数量积相关的最值问题的常见处理方法
33.彭光焰——发挥解题后反思对培养学生思维品质的作用
32.黄贤锋:与三角交汇 与素养同行
31.黄贤锋:一道三角函数题的多解探究
30.邹生书——对两个姊妹最值问题的深入研究
29.彭光焰:巧用教材资源 命制高考试题
28.高慧明——巧解以数列与函数不等式等知识相结合的选择题
27.2020北京大学清华大学强基计划数学试题与答案解析
26.彭光焰:从“路径依赖”到“另辟蹊径” ———从几道三角题的解法谈起
25.彭光焰:全面理解 多方转化——一道分式函数最值问题的多角度审视
24.曹凤山:基于核心素养提升的高考数学备考策略——以函数与导数内容为例
23.贝努利不等式的 “前世今生”(可下载打印)
22.例析用向量数量积的几何意义解题
21.夏远景——例谈新形势下高三数学“强基”策略与方法
20.对一道三角形面积最小值问题的解法再研讨
19.彭光焰——对一道课本例题解法探讨
18.李志敏——2021年高考数学新动向与备考建议
17.程 波——由函数解析式判断其有无对称性,我有个好主意
16彭西东——解析几何运算中双根非对称式问题的解决方案
15.何重飞等:重概念 强运算 提素养 增能力
14.一道与阿氏圆有关的最大值试题的七种解法
13.夏远景——新形势下高三数学培优策略与方法
12.曾 蓉——二元最值里的那些事儿
11.赵志岗——深度解析2020年全国1卷理数第21题的命题方式与背景
10.彭光焰——用课本例题撬起学生探究之趣
9.甘大旺——2019 年浙江大学一道开平方自招题的 4 种解法
8.柴淑兰、王丽敏——例析数列求和的六大基本方法
7.李志敏——如何设置恰当背景编造数学新题
6.徐树旺:一类圆锥曲线课本题的探究拓展
5.郝荣山、霍忠林:“指对混搭型”不等式证明的处理策略
4.邹生书、陈佳文——巧解 妙解 暴力解 揭示本质可速解
3.特殊二次递推数列通项公式奇葩解法的探究之旅
2.干货||一文搞定柯西不等式及其应用
1.数学帝葛军:如何学好高中数学(PPT+视频)
![]()
长按或扫描二维码关注本公众号!
投稿邮箱:zoushengshu@163.com;
商务联系:13297228197。
![]()
公众号《邹生书数学》
最受读者欢迎的柒拾篇解题文章链接
(20191018——20200618)
1.李志敏——2020年高考数学命题趋势与备考建议
2.“端点效应”模考压轴题的三种解法——分类讨论 洛必塔 导数定义(修正版)
3.求二项展开式系数最值项的一种完美解法
4.刘锐——六构函数解答一道“指对混合”方程参数取值范围难题
5.2020高考数学专题复习——极坐标与参数方程
6.李鸿昌——函数f(x)=2sinx+sin2x最小值的多解与变式探究
7.老唐说题——导数压轴题之同构式的三“生”三“释”+8个典型试题教你学同构
8.彭西东——圆来如此,阿氏圆的深度学习。
9.李鸿昌——破解一类导数压轴题的新思路
10.李鸿昌——绕开洛必达,回归导数概念,求解“0/0”端点效应高考压轴题
11.高考复习||几何体与球的切与接专题
12.【十全十美】突破三角函数最值的十种求解方法
13.袁方、洪一平、邹生书——运用“等积线”求解一类条件最值问题
14.近三年高考数学立体几何命题规律与2020备考策略
15.概率与统计典型考题分析与考前复习方略
16.构造抽象函数法PK模特函数秒解法——文章荟萃
17.高中数学解排列组合应用题常用方法20种
18.深度好文|用通性、通法解导数压轴题——全国理数一卷近三年导数题研究及2020年导数题预测
19.高考专题——二项分布与超几何分布试题分类讲解
20.洛必塔法则 零点定理取点 函数凹凸性 三种法解一道“端点效应”难题
21.阳友雄:拉格朗日中值定理及其应用——不等式证明的又一大利器!!!
22阳友雄——破解导函数“隐零点”问题的八大求解方法
23.高考数学填空题解题策略新突破
24.九市联盟2020届数学理科核心模拟卷三份及参考答案与评分细则
25.高考专题复习——外接球与内切球问题的八大模型典例解析
26.高考数学冲刺专题——解析几何(正高级,特级教师夏远景)
27.巧用“等和线”解决平面向量问题,怎一个“妙”字了得!!!
28.解答高考选择题的八大策略——教你如何灵活、高效、精准拿分!!!
29.我的处女作——优化解题过程 避免分类讨论
30.杨飞——放缩法取点PK洛必达法则
31.高考专题突破——三角函数图像性质与解三角形问题
32.一篇文章给高中生讲清楚洛必达法则
33.运用泰勒展开式求解高考数学函数压轴题
34.等比数列知识点总结与七大经典题型归纳
35.等差数列知识点总结+题型归纳+习题精选(含习题答案)
36.【历久弥新】圆锥曲线离心率求解的九大经典模型
37.数列通项公式的十二种求法
38.概率统计考点,这或许是你见过的最全面解析!!!
39.排列组合问题的题型分类和九种求解方法
40.一网打尽||外接球和内切球半径求解策略
41.几道网红错题——是抄错还是出错?错题害死做题人!
42.活用“龙凤不等式”和变量替换解函数压轴题
43.曾蓉——轨迹法处理一类解三角形最值问题之一 阿波罗尼斯圆
44.赵忠华——一道联考题的八种解法
45.麻雀虽小 五脏俱全 题目不难 解法多多 ——好题佳解
46.杨俊——构造函数,巧解函数导数的不等式之二
47.邹生书——复合三角函数中w的取值范围问题及其解法
48.杨俊——椭圆上一点到定点的距离最值的问题
49.是时候给三角形的“四心”做个了结了
50.先猜后证——探究圆锥曲线的一个定点和定值问题
51.邹生书——选好“模特儿”“秒杀”抽象函数不等式问题
52.曹凤山——导数问题中的“合二为一”与“一分为二”
53.曹凤山:年年考向量 岁岁数与形 ———浙江省自主命题以来向量试题特点评析
54.邹生书——多变量问题选择主元的四种方法
55.万尔遐、汪跃中——探讨高考数学命题人如何编定概率统计的试题
56.点差法与向量联手简解中点弦问题
57.立体几何最值问题的求解策略
58.八个无敌模型——全搞定空间几何的外接球和内切球问题!
59.单墫——谈数学学习与解题
60.邹生书——例谈椭圆双曲线离心率取值范围的求法
61.一道背景深厚的椭圆离心率难题及其解法研究
62.魏立国——不等式e^x ≥ x+1和+ln(x+1)≤X的应用
63.一道取值范围试题的七个解法四个结果!谁对谁错?问题出在哪?
64.【美不胜收】求解动点轨迹方程的的七种解法------全方位,无死角!!!
65.杨飞——极值点偏移与拐点偏移的解题思路
66.三角函数求最值的七种解法——个个实用
67.先猜后证破解圆锥曲线“三定”探索题
68.一道向量难题的两思路四解法
69.题型汇编 | 高考中的复合函数
70.抽象函数的“双对称”问题及解法
![]()
![]()
长按或扫描二维码关注本公众号!
投稿邮箱:zoushengshu@163.com;
商务联系:13297228197.