请点击上方蓝色字体“邹生书数学”,订阅本微信公众号;请点击右上角的“…”,发送给朋友或分享到朋友圈。
公众号“邹生书数学”创建于2018年8月28日。
开号宗旨:为热爱学习和研究的高中数学教师和教研员搭建学习交流平台,提升教学能力,促进专业发展。本公众号致力传播数学文化,发表教研成果,交流教学经验,探讨数学问题,展示解题方法,分享教学资源,为服务高中教学作贡献。
邹生书,男,1962年12月出生,本科学历,理学士学位,中学数学高级教师,黄石市高中数学骨干教师。主要从事高中数学教学、高中数学解题研究和探究性学习等。从2007年8月到2018年8月,在《数学通讯》《数学通报》《数学教学》《中学数学》《中学数学教学》等,二十多种学术期刊上发表解题和探究性学习文章300余篇。
公众号“邹生书数学”诚请高中数学教师、教研员和热爱数学的朋友不吝赐稿。来稿请注明真实姓名、工作单位和联系方式,一般只接受word文档格式的电子稿件,文稿请认真审查,防止错漏,确保无误,文责自负。
本公众号对优秀作者和名师一般会附上“作者简介”,以让广大读者更好地了解作者的研究成果和方向,以便进一步学习作者的相关数学思想或解题方法。
投稿邮箱:zoushengshu@163.com;
商务联系:13297228197。
2020年全国高考数学理科I卷第21题
的深层探究与教学启示
隆建军
四川省攀枝花市大河中学617061
摘要:导数中单调性讨论和函数不等式恒成立问题是高考考查的重点和热点题型之一,本文以2020年全国高考数学理科I卷第21题为例,从多角度、深层次分析和透视该问题,领会该题的命题背景、数学思想和方法内涵,从而优化解题思路.
关键词:高考数学;函数不等式;核心素养
1.题目呈现与分析
试题分析:该试题的题目简短,是常见的以ex为背景的含参数试题,第(1)问通过合理的设计,使得考生可以求出导函数f,(x)并观察出零点,由f(x)的单调性得出零点的唯一性,从而得到函数f(x)的单调性;也可以通过观察f,(x)式子的特点直接得出.此问设计面向大部分考生,只要考生能够准确应用导数公式和求导法则进行导数运算,仔细观察出零点或分析导函数式子的结构特征就可以解决问题,适合不同层次的学生作答,体现出了高考试题的选拔功能,第(2)问要求考生根据不等式恒成立的条件,求出参数a的取值范围,是考生熟悉的题型,消除了高考压轴题偏难怪在考生心中的阴影,为考生的解答提供了广阔的想象空间,但是该问对考生的综合分析能力、化归与转化能力、问题的解决能力以及运算能力等都提出了较高要求,具有非常明确的选拔功能.
试题评价:该题采取传统的分步设问,第(1)问讨论函数f(x)的单调性,为第(2)问做铺垫,逐步推进,第(2)将函数与不等式有机结合,试题的计算难度逐渐增加,对思维深度的要求逐步提高,层次分明,重难点突出,试题从多角度考查了导数的基础知识、基本方法以及利用导数研究函数的相关性质的能力,对考生的逻辑推理能力,运算求解能力,分类讨论思想等提出了较高要求,区分度较高,能较好地考查学生进一步学习的潜能,为高等学校选拔人才起到了非常重要的作用.
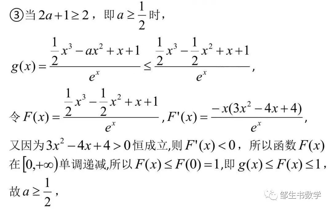
2.试题(2)问背景与来源分析
线在函数h(x)图像的下方,如图1,函数h(x)的切线有很多,但是为什么命题人选取了在x=2处的切线呢?那是因为此时的切线方程最为简洁和优美.显然该高考试题有可能是由的泰勒公式改造而来,也有可能是从另外的视角不谋而合,这样形成的题目,对广大考生来说,在“题海”中找不到它的踪迹,传统的押题教学,刷题教学就显得苍白无力,这就是教学要走出“题海战术”的原因之一,泰勒公式是高等数学中的内容,高中生没有学习,命题人既然把它改造为高考试题,那么一定可以用初等的方法去求解,这也高考数学压轴试题中总有高等数学的影子的原因之一.
(ii)第(2)问解法分析:
思路1:指数找基友,构造新函数对实数a分类讨论.
思路3:切线逼近,利用导数求出切线方程,数形结合求出参数取值范围
4.教学启示
4.1 高观点分析,准确把握试题本质
第(2)问的泰勒公式背景认识,充分说明了命题专家从高观点出发来命制符合高中生认知水平的高考试题,真正体现了高考试题源于教材而高于教材,同时也反映出高考命题专家对高中数学教学重难点的准确认识和精准把握,压轴试题的高观点分析可以促进教师的专业发展和自身教学能力的提高.
4.2 跳出题海战术,培养学生思维能力
从试题的背景分析和解答方法来看,该试题有较大的的自由度和四维空间,适合不同学习能力的学生,真正体现了自主学习和主动探索精神,试题的解答过程是一个由浅入深,呈螺旋上升的探索的过程,让喜欢独立思考和有钻研精神的学生做起来会很顺手,让思维能力低下,通过刷题而机械记忆方法的学生就力不从心,新课程强调学生的自主性和参与性,通过自主学习和亲身体验知识的发现和创造过程,从而培养他们的创新意识和创新能力.而实现这一理念的重要途径之一就是学生参与的数学解题活动.当我们用现有数学知识去解决数学问题时,不断地经历着直观感知、归纳类比、运算求解、准确性检验与信息反馈、大脑中的信息加工、反思与方法构建等思维过程.这正是学生思维能力发展、提升和形成所必需的的过程.而传统的“题海战术”缺少的就是这些思维过程.
4.3解题教学注重一题多解,培养学生思维的灵活性和知识的迁移能力
数学问题(尤其是压轴题)的解答过程中会用到学多的数学思想方法和数学能力,比如:化归与转化思想、分类讨论思想、从特殊到一般的思想以及阅读理解能力、逻辑分析和推理能力、复杂的运算求解能力等等,这些能力在我们的平常运算中时有体现,比如思路1的
这里对参数做了一个放缩处理,让有参数计算变成了无参数计算,大大降低了运算难度,这就是化归与转化思想的体现,老师在给学生分析数学问题或学生自己做题时着重研究解题的思维过程,弄清楚基本方法在解题中的意义和作用,同时尽可能地从多途径去思考同一个问题,这样我们的数学思维能力就能得到显著提高和升华,知识的迁移能力自然而然就形成了.
参考文献:
[1][德]菲利克斯.克莱因.高观点下的初等数学[M].吴大任,舒湘芹,陈义章,译.上海:复旦大学出版社,2011.
【个人简介】隆建军(1981-),男,四川省安岳县人,高级教师,攀枝花市骨干教师,攀枝花市高中数学教学能手,攀枝花市仁和区优秀教师,主要从事高中数学教学与班级管理研究。
邹生书数学
2021年第一季度
最受读者欢迎的51篇数学解题文章
51.邹生书——湖北十一校联考抛物线大题的解法与极点极线背景
49.枯木逢春又再发 陈题改编创意新——兼谈多项选择题的解题技巧和命题建议
47.张国川——泉州市2021届高三质检立几题的命制与多种解法
46.洪一平等——2021汕头市高三质量检测压轴题解法大比拼
37.邹生书——圆锥曲线倾斜角互补的割线化切性质与相关问题处理技巧
35.邹生书——得分率很低的抛物线切点弦试题的多种处理方法赏析
27.邹生书:从一道抛物线试题的多种解法到圆锥曲线“伴侣点”的一个和谐性质
24.高中数学【立体几何】难点:外接球与内切球!你全部掌握了么?
23.洪 一平、邹生书——2021年广东四校联考理科第10题的解法再探讨
22.彭赛列闭合定理背景下的圆锥曲线内接三角形之内切圆半径问题
21.邹生书——从八省联考第7题例析圆锥曲线双切线问题的处理方法(完整版)
21.邹生书——从八省联考第7题例析圆锥曲线双切线问题的处理方法
19.八省联考数学试题评价与复习备考对策(附:数学试题官方参考答案)
15.邹生书——从八省联考数列大题研讨二阶线性递推数列通项公式
9.数形结合思想在高中数学中到底有多重要——读完之后我震惊了!!!
7.数学:听课感觉能听懂,为什么一做题就蒙圈?这是最好的答案!
6.邹生书——2008年高考江苏卷理科第14题的解法与背景 变式及应用
3.邹生书——圆锥曲线极点极线背景下高三百校联合测评选择题解法研讨
投稿邮箱:zoushengshu@163.com;
商务联系:13297228197。