请点击上方蓝色字体“邹生书数学”,订阅本微信公众号;请点击右上角的“…”,发送给朋友或分享到朋友圈。
公众号“邹生书数学”创建于2018年8月28日。
开号宗旨:为热爱学习和研究的高中数学教师和教研员搭建学习交流平台,提升教学能力,促进专业发展。本公众号致力传播数学文化,发表教研成果,交流教学经验,探讨数学问题,展示解题方法,分享教学资源,为服务高中教学作贡献。
邹生书,男,1962年12月出生,本科学历,理学士学位,中学数学高级教师,黄石市高中数学骨干教师。主要从事高中数学教学、高中数学解题研究和探究性学习等。从2007年8月到2018年8月,在《数学通讯》《数学通报》《数学教学》《中学数学》《中学数学教学》等,二十多种学术期刊上发表解题和探究性学习文章300余篇。
公众号“邹生书数学”诚请高中数学教师、教研员和热爱数学的朋友不吝赐稿。来稿请注明真实姓名、工作单位和联系方式,一般只接受word文档格式的电子稿件,文稿请认真审查,防止错漏,确保无误,文责自负。
本公众号对优秀作者和名师一般会附上“作者简介”,以让广大读者更好地了解作者的研究成果和方向,以便进一步学习作者的相关数学思想或解题方法。
投稿邮箱:zoushengshu@163.com;
商务联系:13297228197。
突破思维方法,探究一般结论
——以2020年全国高考数学山东卷
第22题为例
隆建军
四川省攀枝花市大河中学校617061
摘要:圆锥曲线定点、定值问题是高考中的重点和热点问题之一,是考生获得高分的关键所在,该类问题将函数与解析融为一体,一般综合性和灵活性都较强,对考生的数形结合能力、逻辑分析能力和复杂运算求解能力等要求较高,本文对2020年全国高考数学山东卷第22题从不同角度进行解法探究与解后思考,并得到了该问题的一般性结论.
关键词:思维方法;2020年全国高考山东卷;解法探究
圆锥曲线定点、定值问题是高考中的重点和热点问题之一,是考生获得高分的关键所在,该类问题将函数与解析融为一体,一般综合性和灵活性都较强,对考生的数形结合能力、逻辑分析能力和复杂运算求解能力等要求较高,本文从2020年全国高考数学山东卷第22题的解答出发,给出了有别于官方参考答案的解答方法,将试题进行变式引申并拓展到双曲线和抛物线.
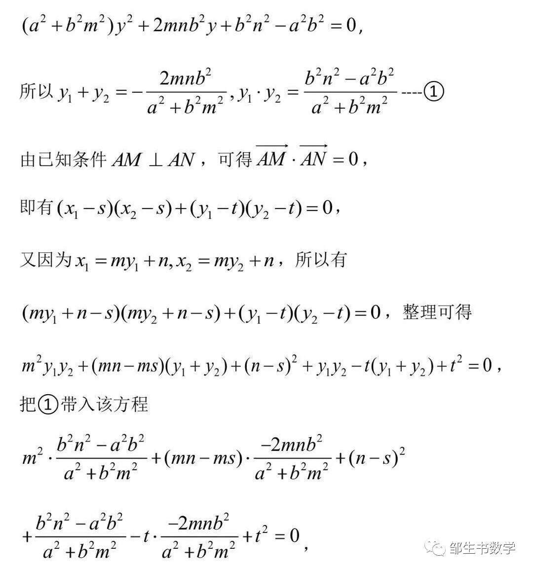
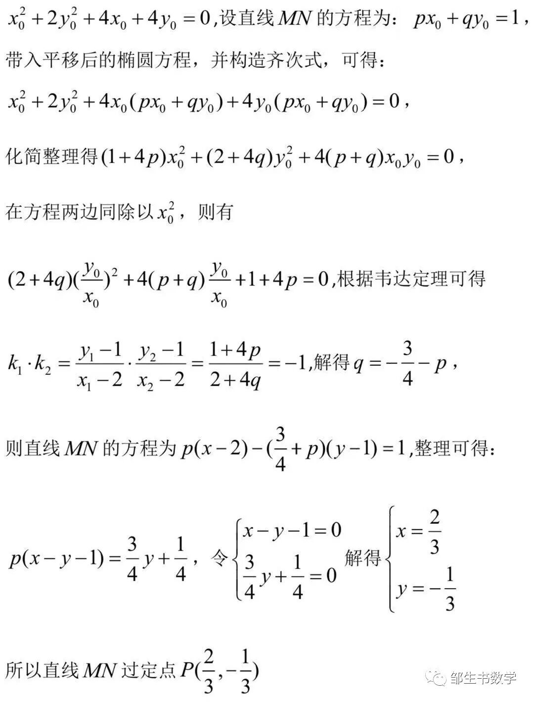
1.试题呈现与分析
试题分析:这是一道经典的圆锥曲线定点、定值问题,该问题的综合性和灵活性都较强,重点考查数形结合的数学思想和考生的分析理解能力,逻辑思维能力、运算求解能力,对考生综合应用数学知识分析问题和解决问题的能力起到了很好的考察作用.
拓展探究
沈文选,杨清桃在问[1]中指出“解题活动是数学学习的主要活动,也是培养学生逻辑思维能力、数学直觉的主要阵地”,本题的结论是由具体的椭圆方程和定点得到的,那么,对于一般的椭圆方程和另外的点A(s,t)作一个直角弦MN,MN是否还过定点呢?同时,是否存在定点Q,使得DQ为定值呢?我们利用上题的方法1作进一步探究后发现,可以把上述高考试题的结论进行推广,得到椭圆、双曲线和抛物线相应的一般结论,仅供参考.
参考文献:
[1]沈文选,杨清桃.数学解题引论[M].哈尔滨:哈尔滨工业大学出版社,2017.07.
【个人简介】隆建军(1981-),男,四川省安岳县人,高级教师,攀枝花市骨干教师,攀枝花市高中数学教学能手,攀枝花市仁和区优秀教师,主要从事高中数学教学与班级管理研究。
邹生书数学
2021年第一季度
最受读者欢迎的51篇数学解题文章
51.邹生书——湖北十一校联考抛物线大题的解法与极点极线背景
49.枯木逢春又再发 陈题改编创意新——兼谈多项选择题的解题技巧和命题建议
47.张国川——泉州市2021届高三质检立几题的命制与多种解法
46.洪一平等——2021汕头市高三质量检测压轴题解法大比拼
37.邹生书——圆锥曲线倾斜角互补的割线化切性质与相关问题处理技巧
35.邹生书——得分率很低的抛物线切点弦试题的多种处理方法赏析
27.邹生书:从一道抛物线试题的多种解法到圆锥曲线“伴侣点”的一个和谐性质
24.高中数学【立体几何】难点:外接球与内切球!你全部掌握了么?
23.洪 一平、邹生书——2021年广东四校联考理科第10题的解法再探讨
22.彭赛列闭合定理背景下的圆锥曲线内接三角形之内切圆半径问题
21.邹生书——从八省联考第7题例析圆锥曲线双切线问题的处理方法(完整版)
21.邹生书——从八省联考第7题例析圆锥曲线双切线问题的处理方法
19.八省联考数学试题评价与复习备考对策(附:数学试题官方参考答案)
15.邹生书——从八省联考数列大题研讨二阶线性递推数列通项公式
9.数形结合思想在高中数学中到底有多重要——读完之后我震惊了!!!
7.数学:听课感觉能听懂,为什么一做题就蒙圈?这是最好的答案!
6.邹生书——2008年高考江苏卷理科第14题的解法与背景 变式及应用
3.邹生书——圆锥曲线极点极线背景下高三百校联合测评选择题解法研讨
投稿邮箱:zoushengshu@163.com;
商务联系:13297228197。