请点击上方蓝色字体“邹生书数学”,订阅本微信公众号;请点击右上角的“…”,发送给朋友或分享到朋友圈。
公众号“邹生书数学”创建于2018年8月28日。
开号宗旨:为热爱学习和研究的高中数学教师和教研员搭建学习交流平台,提升教学能力,促进专业发展。本公众号致力传播数学文化,发表教研成果,交流教学经验,探讨数学问题,展示解题方法,分享教学资源,为服务高中教学作贡献。
邹生书,男,1962年12月出生,本科学历,理学士学位,中学数学高级教师,黄石市高中数学骨干教师。主要从事高中数学教学、高中数学解题研究和探究性学习等。从2007年8月到2018年8月,在《数学通讯》《数学通报》《数学教学》《中学数学》《中学数学教学》等,二十多种学术期刊上发表解题和探究性学习文章300余篇。
公众号“邹生书数学”诚请高中数学教师、教研员和热爱数学的朋友不吝赐稿。来稿请注明真实姓名、工作单位和联系方式,一般只接受word文档格式的电子稿件,文稿请认真审查,防止错漏,确保无误,文责自负。
本公众号对优秀作者和名师一般会附上“作者简介”,以让广大读者更好地了解作者的研究成果和方向,以便进一步学习作者的相关数学思想或解题方法。
投稿邮箱:zoushengshu@163.com;
商务联系:13297228197。
学好高中数学的三字秘诀
背,悟,练
胡全勇 西北师大育才学校730000
童永奇 陕西省西安市临潼区马额中学710609
从事高中数学教学已经三十多年,并且教出了一些高材生(高考数学满分和数人考入清北),但是对于如何让高中生轻松愉快地学好数学,时时感到一筹莫展.众所周知,初中数学只要练熟,就能得高分,但是高中数学只靠“刷题”还是远远不够的,全国名师葛军老师也不赞成,无谓“刷题”.根据教学经验,本人总结了学好高中数学的三字诀:背,悟,练.
先说说“背”
一是要在理解的基础上,灵活记忆,可起到巧“背”的目的.要背定义、定理、公理、公式和一些常用的二级结论,只有将这些基础知识烂熟于心,才能在解题的时候想起要用的东西,反过来做题的过程也是对这些基础加深理解的过程.如2016年全国高考二卷的第12题的条件为f(x)=2-f(-x),如果不熟悉下面的二级结论“对于函数f(x),如果满足f(a+x)+f(a-x)=2b(即f(2a-x)+f(x)=2b),则函数f(x)的图象关于点(a,b)对称”,那么就不知道该题的题意是已知函数f(x)的图象关于点(0,1)对称,导致不会灵活运用函数图象的对称性去完美的解决问题,只能靠“蒙”.
二是要“背”每个知识点的命题方向常有哪些,并梳理出解决各类题型的常用方法.这样做虽然看起来有点死板,但是有助于培养学生归纳总结的能力,不然遇到每个题目都是新问题,需要重新思考,这样就浪费了时间.由于高考数学仅有120分钟,所以要考出好成绩,绝对不能浪费每一分钟.例如:在解三角形问题中,如果已知三角形的一边及其对角,那么目标问题的设置常有两类:一类是求三角形的面积的最大值(详见例1);另一类是求解与边有关的问题(详见例2).
例1(2013年高考数学全国II卷理科第17题)
例2(2020年高考数学全国II卷理科第17题)
一般地,与边长有关的问题,还有如求2b-c,b2+c2等的取值范围,都是采用正弦定理转化为三角函数问题讨论比较方便。
三是要“背”一些题型的常用解题方法和技巧.要考出好成绩,既要做“学霸”,又要做“考霸”.全国名师四川代尔宁老师说:他和一些高考命题人交谈过,一些高考题,尤其是选择题和填空题基本上都会有其独特的解题法。基于此,教师在解题教学过程中,既要教给学生常用的通性通法,又要有意识地去引导学生掌握一些解题的高招妙法,这样不但让学生牢固掌握了基础知识,又启迪开发了学生的智力,同时可以提高学生处理非解答题的速度与准确性.诚如此,我们何乐而不为呢?!
方法2(秒杀法)一眼就得A选项。当出现秒杀时同学们一脸蒙圈,发出惊叹,那么怎么做到秒杀?因为从式子结构看很显然是先运用正弦定理变为“边”的形式,再运用余弦定理求角度.在余弦值的表达式中,如果不含根式,那么角度不是60°就是120°;如果含有√2,那么角度不是45°就是135°;如果含有√3,那么角度不是30°就是150°.据此,结合题设已知等式中含有√3,而选项中没有150°,易知选A.这样,利用内在规律可轻松做到“秒”杀,这就是技巧!
再谈谈“悟”
初中数学一般情况下都是已知条件和要求结论非常明确,只要功底扎实,解答问题一般不会出错;但是高中数学的已知条件和要求的结论有的非常隐蔽,需要自己“悟”.
剖析:这道题是一道非常简单的题目,但出错率不低,就是没有“悟”出隐含条件:若函数f(x)为奇函数,且在x=0处有定义,则f(0).许多学生只考虑奇函数的图象关于原点对称,而得到2个零点,故选B,这一错误答案.实际上,本题应该选C.
上面两道题表面上函数y=f(x+1)的图象关于点(-1,0)成中心对称,函数y=f(x-1)的图象关于点(1,0)中心对称,但是通过反思得出它们实际上是一回事,均表示函数f(x)的图象关于原点对称,即函数f(x)为奇函数.进一步提炼可给出其隐藏的具有一般性的内在规律:函数f(x+a)的图象关于点(-a,0)中心对称等价于函数f(x)为奇函数.这就是我们“悟”出的道理,可见反思的重要性!温馨提示:各位莘莘学子,如果你们题做了几大箩筐,但是学习进步不大,那么问题就是只做题,追求刷题量,不反思,使得事倍功半.
最后聊聊“练”
要学好数学,做练习题,必须有一定的量,不是练得越多越好.实际上,我们做一道题的真正目的是不再做这类题,做会了没有必要反复再做.要练,必须努力做到以下点.
一是要规范.数学学科自身特点要求严谨、规范、准确,而许多学生平时练题,为了赶时间而随便做题,久而久之养成了不严谨、不规范的习惯,导致在考试中处理解答题时失分较多.因此,我们平时练习一定要规范完成,养成良好习惯,打好扎实的数学基本功.
二是要归类.古人云:学而不思则罔,思而不学则殆,可见归类总结在学习过程的重要性.学习数学如果只练不总结,这样学的很累,效果一定不佳,只要在学习的过程中不断总结,才可以迅速提高学习效率,提升解题能力.如函数中有一类关于“任意”和“存在”的问题,这类问题常常体现为“相等”和“不相等(即大于或小于)”问题.通过归类,可用自己的语言总结出解法.如,相等问题可归纳总结为:任意的值域包含于存在之中(详见例7);不等式问题可归纳总结为:都是任意处理,再将存在改写为其对立面(详见例8).
显然,通过以上归纳总结,降低了处理此类问题的难度,并且使学生轻松掌握,达到事半功倍之效.
三是要纠错.会学习的同学,基本上都有个错题本.同学们在做数学练习题时,只注重做新的练习题,而忽略反思平时做错的题目,好多同学跟本没有记错题的习惯.实际上,将易错问题利用错题本记录下来,经常演练,反复思考,可以有效避免以后再出现类似的错误!
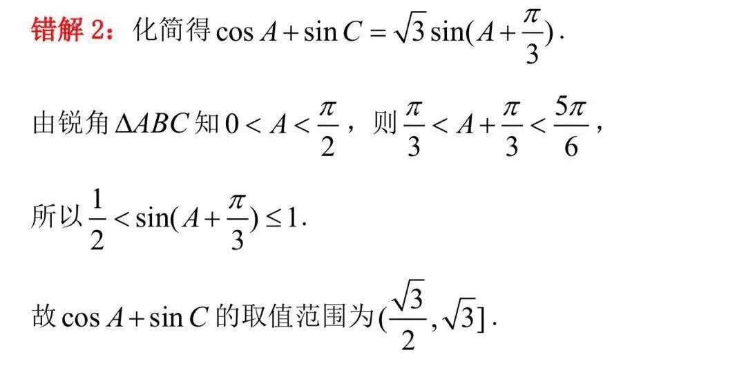
错因探究:虽然细心、认真,但还没有达到足够的细心、认真——没有充分利用一个三角形为锐角三角形的充要条件.
反思感悟:(1)本题极易出错,不但要对cosA+sinC准确变形,而且最为关键的是要准确分析内角的取值范围.
(2)利用△ABC为锐角三角形的充要条件是不等式0<A<π/2, 0<B<π/2, 0<C<π/2,同时成立,可深度挖掘隐含条件.
易错分析:第一问比较简单,通过求导分析函数的单调性,即可求得函数的最小值.现在关键看第二问.如果这样做:注意到求证式左边各加项的结构相同,于是先构造函数g(x)=1/(1+x2),0<x<1,再利用其单调性放缩,但因放缩过大导致不能解决目标问题.
当然,还可以考虑其他的思路:先消元再放缩;或者对求证式中的“1”先利用题设条件作等量代换,再实施放缩;等等.但最终均因没有彻底解决目标问题,而深感无奈!
反思感悟:
(1)本题第二问,大部分同学的思路可能都是直接针对该问具体分析的,而没有注意到考虑第一问与第二问之间的紧密联系,即缺乏灵活运用“联系”的观点去分析、解决问题的思想意识. 最终,导致第二问不能顺利获证,认为较难.
(2)由于许多数学解答题设计多问的目的就是降低试题的难度,而各问之间又往往存在着某种紧密的联系,因此将“联系”的观点灵活运用于解题中,往往能够出奇制胜,将问题简捷、明了地解决.
诚然,高中数学与初中数学相比,无论从梯度、难度上看都有很大的变化,初中数学突出“练”,而高中数学突出“悟”.只要方法得当,就会化难为易.最后,利用《解题卡壳怎么办》书中的一句话做为结束语:“没有理解的练习是白练,越练越累;没有练习的理解是空想,越想越空”.
【参考文献】
1.胡全勇,专著《高考数学高频考点及题型分类解析》,2015.
2.童永奇,解题反思 提升能力[J],第二课堂(A),2014,(09).
投稿邮箱:zoushengshu@163.com;
商务联系:13297228197。