请点击上方蓝色字体“邹生书数学”,订阅本微信公众号;请点击右上角的“…”,发送给朋友或分享到朋友圈。
公众号“邹生书数学”创建于2018年8月28日。
开号宗旨:为热爱学习和研究的高中数学教师和教研员搭建学习交流平台,提升教学能力,促进专业发展。本公众号致力传播数学文化,发表教研成果,交流教学经验,探讨数学问题,展示解题方法,分享教学资源,为服务高中教学作贡献。
邹生书,男,1962年12月出生,本科学历,理学士学位,中学数学高级教师,黄石市高中数学骨干教师。主要从事高中数学教学、高中数学解题研究和探究性学习等。从2007年8月到2018年8月,在《数学通讯》《数学通报》《数学教学》《中学数学》《中学数学教学》等,二十多种学术期刊上发表解题和探究性学习文章300余篇。
公众号“邹生书数学”诚请高中数学教师、教研员和热爱数学的朋友不吝赐稿。来稿请注明真实姓名、工作单位和联系方式,一般只接受word文档格式的电子稿件,文稿请认真审查,防止错漏,确保无误,文责自负。
本公众号对优秀作者和名师一般会附上“作者简介”,以让广大读者更好地了解作者的研究成果和方向,以便进一步学习作者的相关数学思想或解题方法。
投稿邮箱:zoushengshu@163.com;
商务联系:13297228197。
发挥向量的工具性巧解2020年全国
一卷第20题第2问
山西省朔州市朔城区一中 柴淑兰
西南大学在读大四学生 王丽敏
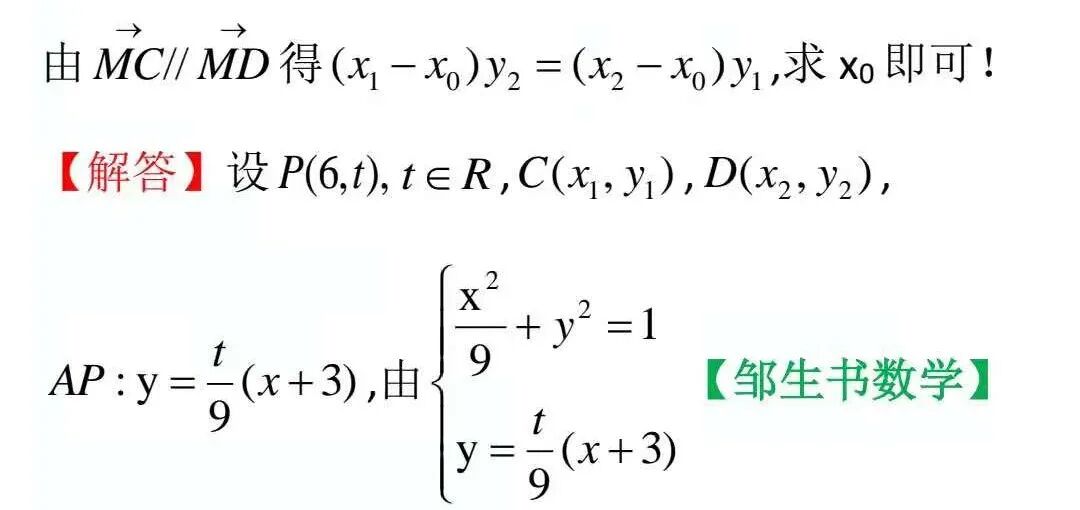
这是第一阶段要解决的问题。第二阶段证明直线CD过定点.第一:显然由C,D两点的坐标得出CD的方程比较麻烦,第二:写出方程如何找出t··的一组解呢,首先应该分析定点可能在什么地方呢?
方法一:特值法,t=0时,点C即为B,点D即为A,直线CD即为x轴,故定点在x轴上,x轴上的点的特点是纵坐标为0!
方法二:由椭圆和直线x=6均关于x轴对称。由对称性知定点必在x轴上!其纵坐标必为0。
直线CD过定点问题的两种解题思路:
思路一:写出直线CD的方程,令y=0,求x(与t无关的值)
思路二:设定点M(x0,0),直线CD过M的问题即C,D,M三点共线问题,
显然,用向量法证明直线过定点问题,比研究直线方程定解问题更简洁,大大简化了运算过程!向量从定义和坐标两方面体现出向量既有几何特征又有坐标的代数特点,这种双重性体现了向量的工具性,充分利用向量的这种特点可以在数与形方面进行有效转化,使问题得以顺利解决。
柴淑兰,山西省朔州市朔城区一中数学教师,副高级职称,省学科带头人,区教学能手,学科名师、优秀班主任、师德标兵,从教29年,坚持工作在教学第一线,主持年级教学工作,兼任班主任,工作踏实,教学风格严谨细致,注重基础,追本溯源,管理班级粗中有细游刃有余,深得学生敬重和家长好评。
作者往期文章链接:
17.柴淑兰、王丽敏——审视2021高考数学全国乙卷第19题数列题
8.柴淑兰、王丽敏:一道训练“配凑法”使用基本不等式求最值的题目
3.柴淑兰——关于“高中数学必修1第一章”难点处理策略(“待续”完整版)
2.柴淑兰——关于“高中数学必修1第一章”难点处理策略(待续)
1.柴淑兰——关于“高中数学必修1第一章”难点处理策略(续完)
投稿邮箱:zoushengshu@163.com;
商务联系:13297228197。