请点击上方蓝色字体“邹生书数学”,订阅本微信公众号;请点击右上角的“…”,发送给朋友或分享到朋友圈。
公众号“邹生书数学”创建于2018年8月28日。
开号宗旨:为热爱学习和研究的高中数学教师和教研员搭建学习交流平台,提升教学能力,促进专业发展。本公众号致力传播数学文化,发表教研成果,交流教学经验,探讨数学问题,展示解题方法,分享教学资源,为服务高中教学作贡献。
邹生书,男,1962年12月出生,本科学历,理学士学位,中学数学高级教师,黄石市高中数学骨干教师。主要从事高中数学教学、高中数学解题研究和探究性学习等。从2007年8月到2018年8月,在《数学通讯》《数学通报》《数学教学》《中学数学》《中学数学教学》等,二十多种学术期刊上发表解题和探究性学习文章300余篇。
公众号“邹生书数学”诚请高中数学教师、教研员和热爱数学的朋友不吝赐稿。来稿请注明真实姓名、工作单位和联系方式,一般只接受word文档格式的电子稿件,文稿请认真审查,防止错漏,确保无误,文责自负。
本公众号对优秀作者和名师一般会附上“作者简介”,以让广大读者更好地了解作者的研究成果和方向,以便进一步学习作者的相关数学思想或解题方法。
投稿邮箱:zoushengshu@163.com;
商务联系:13297228197。
利用导数求几类三角函数的最值
湖北省广水市一中 彭光焰
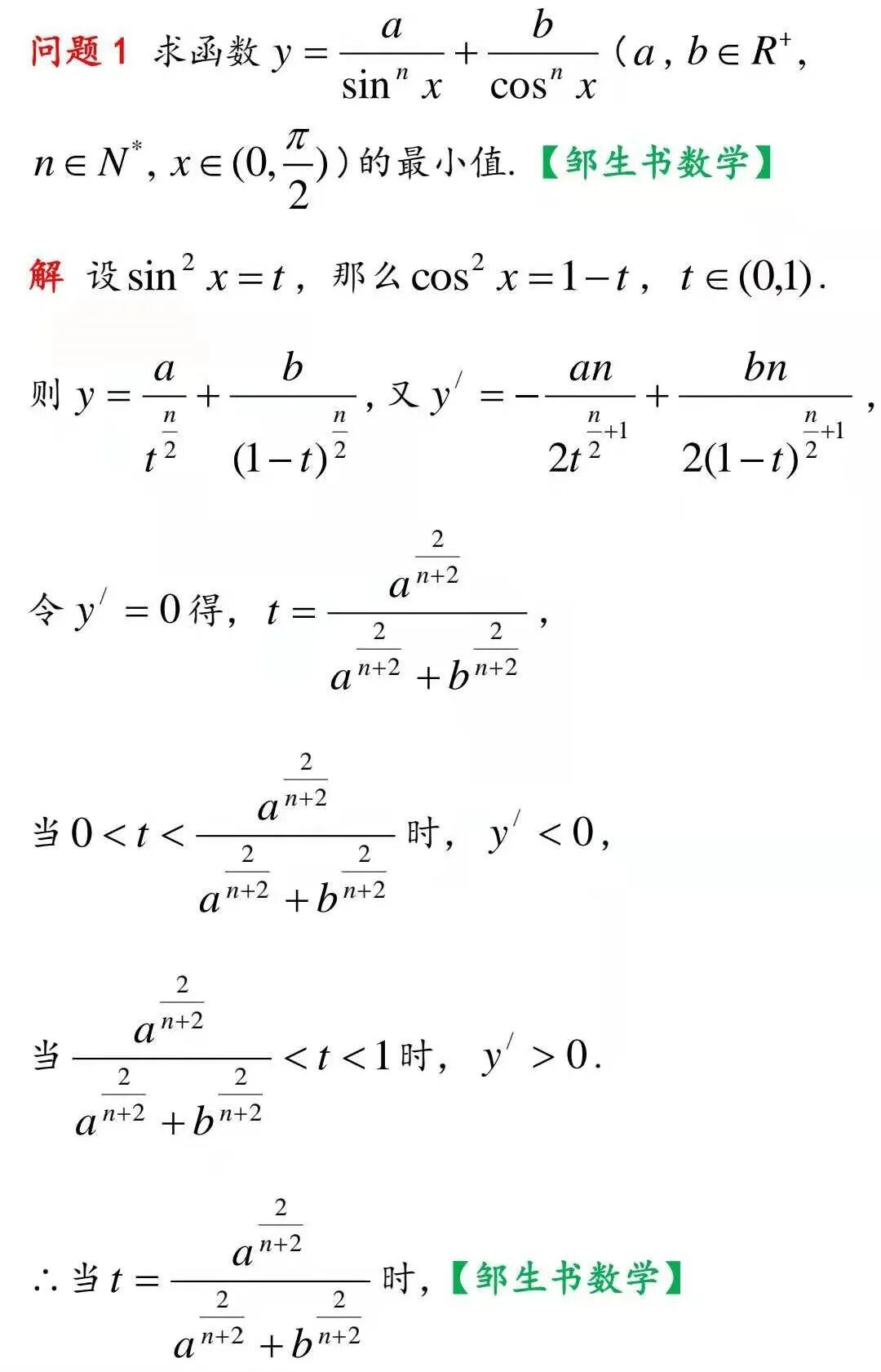
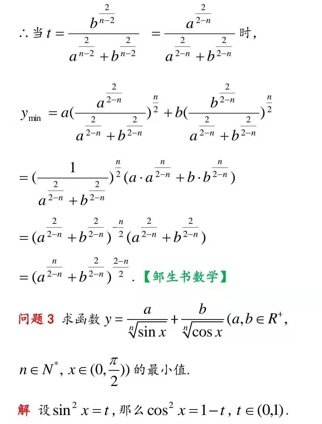
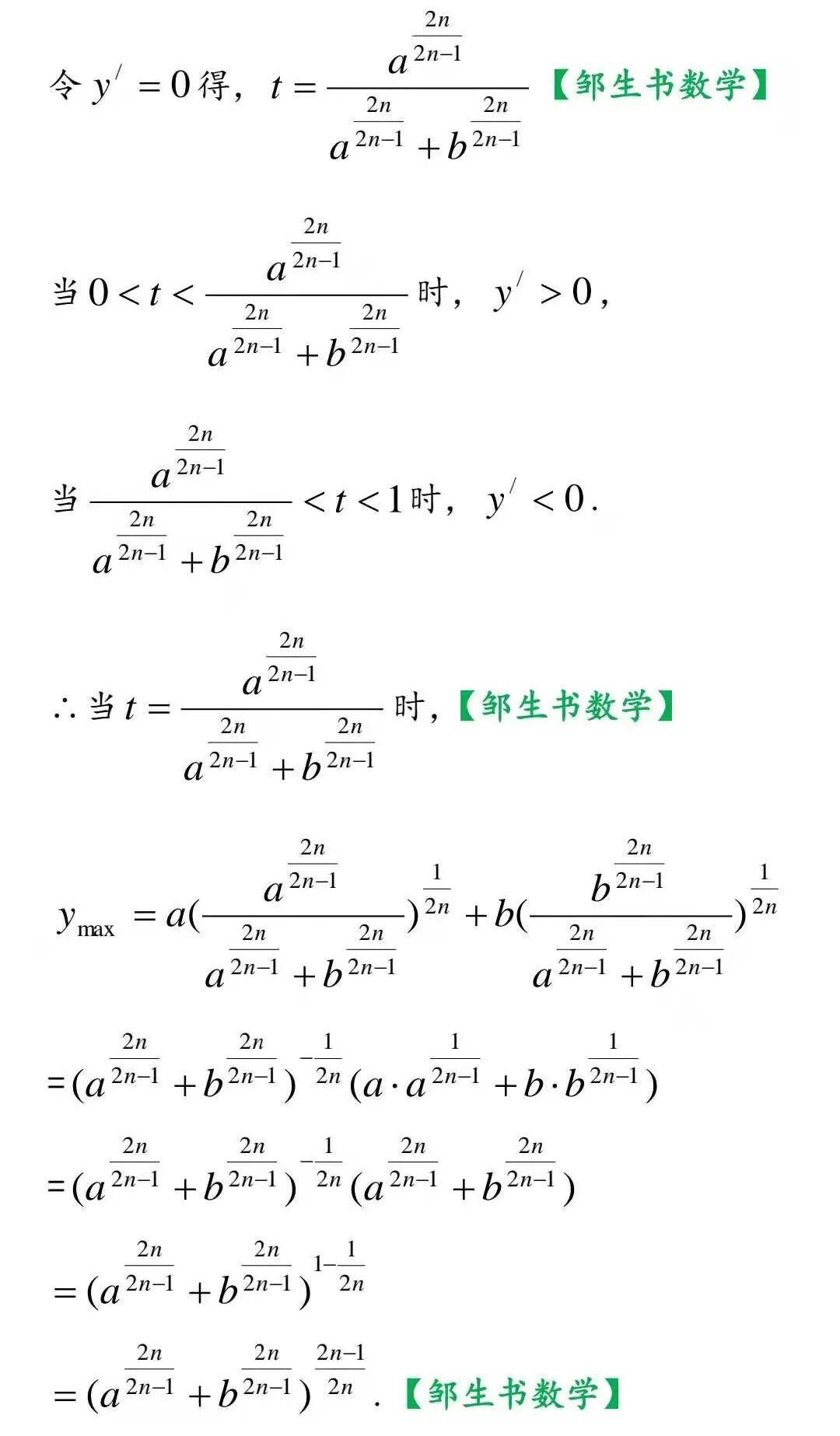
文[1]、[2]、[3]用不同的方法讨论了四类三角函数的最值求法,读后启发很大.但文[1]、[2]、[3]所使用的方法技巧性强,高中生不易接受,导数已是高中数学的必修内容,用导数求函数的最值是高中生所必须掌握的方法.下面我们用换元求导的方法可以较简单地解决四类函数的最值问题.
彭光焰老师往期文章链接
16.彭光焰——向量数量积不等式|a|∧2|b|∧2≥(a•b)∧2的解题探究
11.彭光焰:方法与过程并行 巧解与通解并重——也谈2013年重庆市高考理科考试说明样题第17题
10.彭光焰:巧用教材资源 命制高考试题 ——对2014年湖北省高考文科数学第17题的探究
8.彭光焰:从“路径依赖”到“另辟蹊径” ———从几道三角题的解法谈起
7.彭光焰:全面理解 多方转化——一道分式函数最值问题的多角度审视
【作者简介】彭光焰,男,1989年6月毕业于华中师范大学数学系,正高级教师,湖北省特级教师。湖北省广水市第一高级中学副校长。2018年荣获中学数学教育最高奖“苏步青数学教育奖”,湖北省优秀中学数学教师,湖北省骨干教师,湖北省教育科学研究学术带头人,享受湖北省人民政府和随州市人民政府津贴专家,随州市首批学科带头人,随州市首批十大名师。随州市教研室高中数学兼职教研员,随州市高中数学学科核心团队成员,湖北省高中数学名师工作室和随州市高中数学名师工作室主持人,曾被华中师范大学聘为华中师范大学免费师范生导师,曾被《语数外学习》编辑部聘为编委。随州市第一届、第二届政协委员,广水市第五届、第八届政协委员。自1988年4月28日至今,先后在《中国教育报》《数学通报》《中学数学教学参考》《数学通讯》《中学数学》等全国30余家省级以上报刊发表文章160余篇,其中在核心期刊发表论文32篇,主持各级课题5项,参编高中数学教学用书6册,获地级以上教科研成果奖38项。
长按或扫描二维码关注本公众号!
投稿邮箱:zoushengshu@163.com;
商务联系:13297228197。