请点击上方蓝色字体“邹生书数学”,订阅本微信公众号;请点击右上角的“…”,发送给朋友或分享到朋友圈。
公众号“邹生书数学”创建于2018年8月28日。
开号宗旨:为热爱学习和研究的高中数学教师和教研员搭建学习交流平台,提升教学能力,促进专业发展。本公众号致力传播数学文化,发表教研成果,交流教学经验,探讨数学问题,展示解题方法,分享教学资源,为服务高中教学作贡献。
邹生书,男,1962年12月出生,本科学历,理学士学位,中学数学高级教师,黄石市高中数学骨干教师。主要从事高中数学教学、高中数学解题研究和探究性学习等。从2007年8月到2018年8月,在《数学通讯》《数学通报》《数学教学》《中学数学》《中学数学教学》等,二十多种学术期刊上发表解题和探究性学习文章300余篇。
公众号“邹生书数学”诚请高中数学教师、教研员和热爱数学的朋友不吝赐稿。来稿请注明真实姓名、工作单位和联系方式,一般只接受word文档格式的电子稿件,文稿请认真审查,防止错漏,确保无误,文责自负。
本公众号对优秀作者和名师一般会附上“作者简介”,以让广大读者更好地了解作者的研究成果和方向,以便进一步学习作者的相关数学思想或解题方法。
投稿邮箱:zoushengshu@163.com;
商务联系:13297228197。
2021届“结构不良问题”模拟试题
归类赏析与命题趋势思考
余铁青 邱志权
广东省中山市桂山中学
摘要:随着核心素养在高考数学的试题中的考查力度逐渐加大,结构不良试题被引入高考试题。本文基于分析结构不良问题与高中数学核心素养的内在关联,具体赏析了最新模考中核心素养在结构不良试题中的渗透方式,并思考了该类型试题的命题趋势。
关键词:结构不良 核心素养 命题趋势
一、结构不良问题的概念与高中数学核心素养内在关联
任子朝教授在《数学考试中的结构不良问题研究》中从认知心理学的角度对结构良好和结构不良问题的概念进行了阐述。结构不良问题通常指的是这个问题本没有什么错误或者不恰当,而是指它没有明确的结构、要求或者解决的途径。
该类试题在考试中通常是以选择条件,补充结论型试题出现或者给出几个条件,让考生选择把哪些作为条件,可以推出哪些结论的模式出现,试题具有一定的难度。可能缺少解决问题的必要条件或者某个条件存在变数,其结论也是多样化的,甚至在某些特定条件下问题是无解的,问题的解决过程更是千差万别。结构不良试题的引入,有效地考查了考生建构数学问题的能力,以及分析问题和解决问题的能力。结构不良试题具有很好的开放性,对数学理解能力,数学探究能力的考查是积极的、深刻的。从另一个方面来看也可以说该类试题具有较强的开放性甚至完全没有母型可以类比参考,这就对学生在考场内的心理素质和数学素养与能力提出了更高的要求。
在平常的教师解题教学中,学生们见到的试题绝大部分都是结构良好的试题,只要进行适当的训练,夯实基础,掌握解题的一般方法,“对症下药”,问题基本都能妥善解决。结构不良问题相较于结构良好问题能更好的激发学生的求知欲望,诱发解决问题的原始冲动,能够很好的考查学生的临时应变的决策能力,以及整体考虑问题能力和合理选择策略的优化能力,区分度明显,有利于充分发挥考试的选拔功能,有利于促进学生素养的提升。
二、实例赏析
㈠以集合间的基本关系为载体
例1(山东省潍坊市五县市2021届高三阶段性监测第17题)
17.(本小题满分10分)
评注:该试题以集合间的基本关系为载体,考查集合间的基本运算。选择任意一个情况进行解答都可以保证试题结构的完整性,而且两种答案难度基本相同,保证了测试的相对公平性。该题设计时有意的引入了空集的讨论,给原本有些枯燥的试题增添了一些分类讨论的思想,给人带来美的享受,也对学生的素养和能力进行了分层考查,体现试题的区分度,有助于客观评价学生的水平。
㈡以解三角形为载体
例2(大联考湖南师大附中2021届高三月考试卷(二)第17题)
17.(本小题满分10分)
评注:该题与2020山东新高考数学卷第17题较为类似,都是基于正余弦定理的运用考查为目的的试题。相较于山东卷,该题在第二问中融入了不等式的考查,使得这道模拟试题从试题难度上看有所提升。但通过计算发现,在选择不同的条件时,最后所得的角是相同大小。这将数学学科的“变与不变”的辩证函数观点进行了很好的融入,具有数学特有的学科特点。
㈢以数列知识考查为载体
例3(大联考湖南师大附中2021届高三月考试卷(二)第17题)
17.(本小题满分10分)
评注:该题以数列的基本概念考查为依托,考查学生基本的递推和化归思想,强调学生在掌握等差等比数列的基本概念的运用时,做到细致缜密。第一问求出两个数列的通项公式,第二问较为常规的考查了错位相减法的基本处理方法,深化了学生对原始基础内容的掌握,也为后续备考指明了方向,强化了认知,渗透了逻辑推理与运算的核心素养。
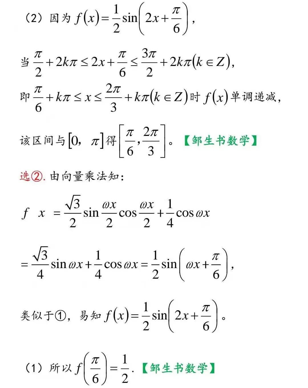
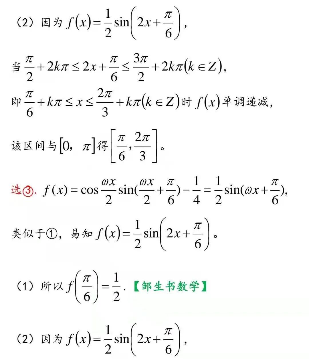
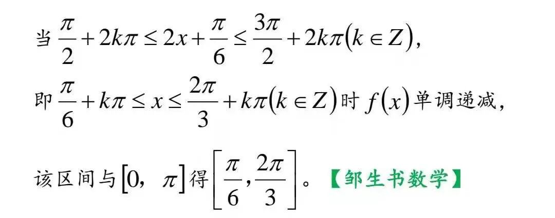
㈣以三角函数图像性质知识考查为载体
例4(2020年高三黄冈9月调考第17题
17. (本小题满分12分)
评注:该试题是考查向量与三角函数二倍角,平移,合一公式,单调性,周期性,对称轴等三角函数的综合运算,对三角函数的图像性质考查相对全面,考查了学生运算与逻辑推理的核心素养。
㈤以立体几何知识考查为载体
例5(山东新高考质量测评联盟2021届高三10月联考第17题)
17.(本小题满分10分)
评注:该试题以空间向量为载体,考查学生的空间想象能力。具体考查学生对空间建立坐标系的基本方法,空间坐标标注,法向量的选取,空间角与平面角的关系等,要求学生能够准确选择合适的空间坐标原点,利用隐藏的垂直关系,通过数学语言进行显性表征,对空间关系转化成书面数学语言的能力进行了考查。
三、命题趋势思考
纵观上述2021届全国各地联考模拟试题,结合2020年高考实际情况。笔者认为有以下命题趋势:
㈠从命题载体角度
从模拟试题不难看出此类题型大部分都是以数列,解三角形,三角函数,立体几何等背景进行试题设计的,其主要原因是因为三角函数图像性质较多,命题入手点相对宽,数列的变换多样,不等式思想可以说贯穿整个试卷,构造等等技巧易于融入试题,但是从命题的着手点来看还有较大可能考查类似于三次函数图像性质等,所以还是不能偏颇的认为只有这些载体,例如立体几何平行与垂直的性质等等,说到底在教学中还是要强调基础的稳固,适当的延申,注重重大考试的变式演练。
㈡从命题难度角度
考虑到新高考山东卷20年考试试题的放在解答题第一个,分值为十分,载体为正余弦定理的应用,而考试也从之前的17题这个大题是三角还是数列的二选一转变成了两个都出大题的试卷结构,于是笔者认为今年往后的模拟题甚至高考题数列板块很可能会是这道结构不良问题试题的命题的热点!考虑到整套试卷的整体结构和试卷分值的整体控制,该题的难度应该不会太大。因此在相关内容复习时应该强调基本知识概念的强化,不能直接跳过概念直接进行过度刷题,效率要落到每一节平常的复习课课堂。
㈢从命题中核心素养渗透角度
纵观这些试题,本质上运算素养的考查在每一个试题里面都得到了很好的渗透考查,逻辑推理素养与数学抽象素养的考查也是力度很大,这其实某种程度上可以理解为数学的本质属性运算得到了很好的体现,这也说明素养的考查从未停止脚步,这就要求在后面教学复习中依旧还是注重数学核心素养的渗透,不能把核心素养当成空中楼阁,要做到平常中见真功。因为百变不离其宗,只是载体在变更,数学考查的核心却从未改变。
参考文献:
[1]余铁青.2020届大联考数学文化试题赏析与命题趋势思考.中学数学研究(华南师范大学):上半月,2020(7):7-10.
作者往期文章链接:
余铁青、李文东——泰勒展式与洛必达法则在超越函数求零点个数问题中的应用
作者简介:余铁青,男,江西景德镇人,(1990- ),2015年毕业于贵州师范大学,获理学硕士学位,研究生学历,高中数学一级教师,就职于中山市桂山中学,某国家级数学专业刊物审稿人,广东省第二批STEM教改实验教师。近一年来在全国数学主流期刊录用发表论文40余篇,主要刊物有:中学数学教学参考,中小学数学,中学数学月刊,中学数学,中学数学杂志,中学数学研究(华南师范大学),高中数学教与学,福建中学数学,中学生数学,河北理科教学研究,中学生理科应试,理科考试研究,数理化学习,中学课程资源,数理化解题研究,高中数理化,中学生数理化(约稿),中小学班主任等,获中山市中国高考评价体系高中数学组一等奖,中山市中小学微课一等奖,中山市综合实践活动征文二等奖,活动方案设计三等奖等等。
投稿邮箱:zoushengshu@163.com;
商务联系:13297228197。