请点击上方蓝色字体“邹生书数学”,订阅本微信公众号;请点击右上角的“…”,发送给朋友或分享到朋友圈。
公众号“邹生书数学”创建于2018年8月28日。
开号宗旨:为热爱学习和研究的高中数学教师和教研员搭建学习交流平台,提升教学能力,促进专业发展。本公众号致力传播数学文化,发表教研成果,交流教学经验,探讨数学问题,展示解题方法,分享教学资源,为服务高中教学作贡献。
邹生书,男,1962年12月出生,本科学历,理学士学位,中学数学高级教师,黄石市高中数学骨干教师。主要从事高中数学教学、高中数学解题研究和探究性学习等。从2007年8月到2018年8月,在《数学通讯》《数学通报》《数学教学》《中学数学》《中学数学教学》等,二十多种学术期刊上发表解题和探究性学习文章300余篇。
公众号“邹生书数学”诚请高中数学教师、教研员和热爱数学的朋友不吝赐稿。来稿请注明真实姓名、工作单位和联系方式,一般只接受word文档格式的电子稿件,文稿请认真审查,防止错漏,确保无误,文责自负。
本公众号对优秀作者和名师一般会附上“作者简介”,以让广大读者更好地了解作者的研究成果和方向,以便进一步学习作者的相关数学思想或解题方法。
投稿邮箱:zoushengshu@163.com;
商务联系:13297228197。
一道联赛题的多种解法
湖北省广水市一中(432700)彭光焰
2005年全国高中数学联赛第一试第一题是:
评注 解法一和解法二都用到了重要不等式,解法一先进行两边平方,然后再用重要不等式,对无理式问题,两边平方是常用的方法;解法二直接利用重要不等式,技巧性要比解法一强.
思路二 利用二次函数
分析 受解法一的启发,我们可以利用二次函数在给定的闭区间上求最值的方法来解决.
评注 由于两边平方之后,出现了(x-3)(6-x),其它均为常数,又知道了3≤x≤6,这样以来问题就容易解决.用这种方法既可以求出y的最大值,又可以求出了y的最小值.
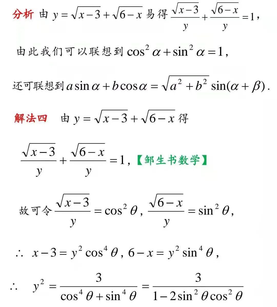
思路三 利用三角代换
评注 遇到无理式问题,我们尝试用三角知识来解决,三角是处理无理式的有效工具.解法四和解法五均可求出的最大值和最小值.
思路四 利用等差数列
评注 遇到a+b=c型问题,我们可以考虑a,c/2,b成等差数列,然后设等差数列的公差来达到解决问题的目的.
思路五 利用向量
思路六 利用解析几何
分析 通过换元,把看起来与解析几何关系不大的问题转化为解析几何问题,然后利用解析几何知识来解决.
评注 代数问题用解析几何知识来解决,体现了代数与解析几何的交汇性.
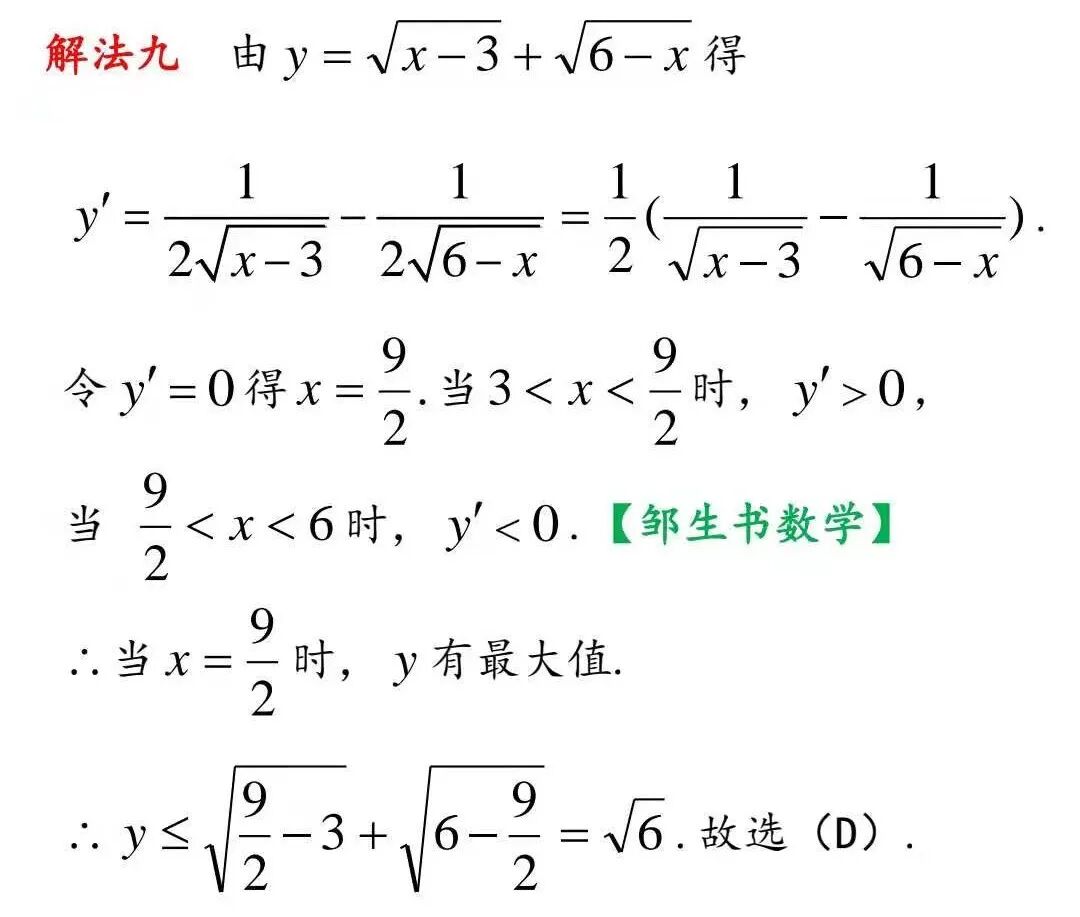
思路七 利用导数
分析 利用导数知识来求函数最值是导数在高中数学中的用途之一.
评注 在高中数学中,遇到求函数最值问题一般都可以用导数来解决.
彭光焰老师往期文章链接
16.彭光焰——向量数量积不等式|a|∧2|b|∧2≥(a•b)∧2的解题探究
11.彭光焰:方法与过程并行 巧解与通解并重——也谈2013年重庆市高考理科考试说明样题第17题
10.彭光焰:巧用教材资源 命制高考试题 ——对2014年湖北省高考文科数学第17题的探究
8.彭光焰:从“路径依赖”到“另辟蹊径” ———从几道三角题的解法谈起
7.彭光焰:全面理解 多方转化——一道分式函数最值问题的多角度审视
【作者简介】彭光焰,男,1989年6月毕业于华中师范大学数学系,正高级教师,湖北省特级教师。湖北省广水市第一高级中学副校长。2018年荣获中学数学教育最高奖“苏步青数学教育奖”,湖北省优秀中学数学教师,湖北省骨干教师,湖北省教育科学研究学术带头人,享受湖北省人民政府和随州市人民政府津贴专家,随州市首批学科带头人,随州市首批十大名师。随州市教研室高中数学兼职教研员,随州市高中数学学科核心团队成员,湖北省高中数学名师工作室和随州市高中数学名师工作室主持人,曾被华中师范大学聘为华中师范大学免费师范生导师,曾被《语数外学习》编辑部聘为编委。随州市第一届、第二届政协委员,广水市第五届、第八届政协委员。自1988年4月28日至今,先后在《中国教育报》《数学通报》《中学数学教学参考》《数学通讯》《中学数学》等全国30余家省级以上报刊发表文章160余篇,其中在核心期刊发表论文32篇,主持各级课题5项,参编高中数学教学用书6册,获地级以上教科研成果奖38项。
投稿邮箱:zoushengshu@163.com;
商务联系:13297228197。