请点击上方蓝色字体“邹生书数学”,订阅本微信公众号;请点击右上角的“…”,发送给朋友或分享到朋友圈。
公众号“邹生书数学”创建于2018年8月28日。
开号宗旨:为热爱学习和研究的高中数学教师和教研员搭建学习交流平台,提升教学能力,促进专业发展。本公众号致力传播数学文化,发表教研成果,交流教学经验,探讨数学问题,展示解题方法,分享教学资源,为服务高中教学作贡献。
邹生书,男,1962年12月出生,本科学历,理学士学位,中学数学高级教师,黄石市高中数学骨干教师。主要从事高中数学教学、高中数学解题研究和探究性学习等。从2007年8月到2018年8月,在《数学通讯》《数学通报》《数学教学》《中学数学》《中学数学教学》等,二十多种学术期刊上发表解题和探究性学习文章300余篇。
公众号“邹生书数学”诚请高中数学教师、教研员和热爱数学的朋友不吝赐稿。来稿请注明真实姓名、工作单位和联系方式,一般只接受word文档格式的电子稿件,文稿请认真审查,防止错漏,确保无误,文责自负。
本公众号对优秀作者和名师一般会附上“作者简介”,以让广大读者更好地了解作者的研究成果和方向,以便进一步学习作者的相关数学思想或解题方法。
投稿邮箱:zoushengshu@163.com;
商务联系:13297228197。
《数学通报》问题2604的解答
广东省中山纪念中学(528454)邓启龙
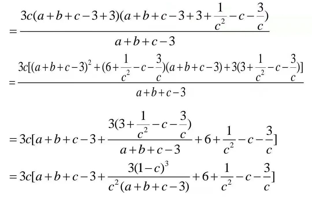
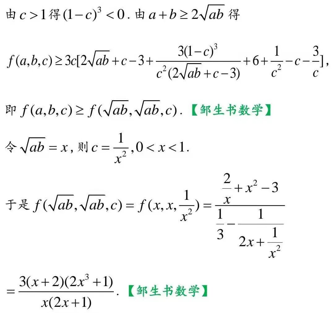
《数学通报》2021年第5期数学问题2604为:
邓启龙,男,1987年3月出生,2005年9月至2009年6月就读于南昌大学数学与应用数学专业,2009年9月至2012年6月就读于中国科学技术大学概率论与数理统计专业,2012年至今任教于广东省中山纪念中学。在《数学通讯》《理科考试研究》《中学数学教学》《中学数学研究(广东)》《中学数学研究(江西)》发表论文近二十篇。
邓启龙老师往期文章链接:
57.邓启龙——杨志明征解问题(2021.10.20)的证明
56.邓启龙——数学通讯2021年第10期问题518的两个解法及516的另解
55.邓启龙——数学通讯2021年第10期问题519和520的解答
54.邓启龙、魏拴文——数学通讯2021年第10期问题516解答
52.邓启龙——2020年全国Ⅲ卷理科数学第23题的探究与推广
45.邓启龙——数学通讯2021年第9期问题515的两种解法
43.邓启龙——数学通讯2021年第9期问题514的6种证法
41.邓启龙——杨志明征解问题(2021.08.26)的证明
36.邓启龙——《数学通讯》2021年第8期问题506至508的解答
30.邓启龙、洪一平——数学通讯第5期问题494的又三个证法
27.邓启龙——数学通讯2021第5期问题491和492解答
13.邓启龙——2020年全国Ⅰ卷理科数学第20题的探究与推广
8.邓启龙——构造函数法在与导数有关的抽象函数不等式问题中的应用
5.邓启龙 ——2019年全国卷Ⅰ理科数学第23题的探究与推广
3.邓启龙——《数学通讯》2021年第4期问题489与490的解法
2.邓启龙——《数学通讯》2021年第4期问题488的三个解法
邹生书数学
2021年第三季度
最受读者欢迎的46篇解题文章
46.符强如:图引方向,依形辅数——一道解析几何压轴题的解法探究
36.胡 雷、刘建东等:中科大新生入学方程有解求参数取值范围试题解法研讨
34.胡全勇、童永奇——探讨三角形内角平分线性质在解题中的妙用
21.柴淑兰、王丽敏——2020年高考全国一卷第21题 的多种解法探究
15.罗小明——例谈含对数条件式求取值范围 或最值的典型问题
14.罗小明:“圆”来如此简单——利用隐形圆求解向量模的最值问题
6.最新权威版《初高中数学衔接读本》来了!新高一的师生家长请收好!
5.邹生书——从IMO走进课本的三角形存在性探索题的拓展探究
4.邹生书——2021年新高考一卷第7题的直观解答与严谨解法
公众号邹生书数学
2020年9月至2020年12月最受读者欢迎的51篇数学解题文章
20191018—20200618最受读者欢迎的70篇文章链接
20191018—20200424最受读者欢迎的101篇文章链接
投稿邮箱:zoushengshu@163.com;
商务联系:13297228197。