请点击上方蓝色字体“邹生书数学”,订阅本微信公众号;请点击右上角的“…”,发送给朋友或分享到朋友圈。
公众号“邹生书数学”创建于2018年8月28日。
开号宗旨:为热爱学习和研究的高中数学教师和教研员搭建学习交流平台,提升教学能力,促进专业发展。本公众号致力传播数学文化,发表教研成果,交流教学经验,探讨数学问题,展示解题方法,分享教学资源,为服务高中教学作贡献。
邹生书,男,1962年12月出生,本科学历,理学士学位,中学数学高级教师,黄石市高中数学骨干教师。主要从事高中数学教学、高中数学解题研究和探究性学习等。从2007年8月到2018年8月,在《数学通讯》《数学通报》《数学教学》《中学数学》《中学数学教学》等,二十多种学术期刊上发表解题和探究性学习文章300余篇。
公众号“邹生书数学”诚请高中数学教师、教研员和热爱数学的朋友不吝赐稿。来稿请注明真实姓名、工作单位和联系方式,一般只接受word文档格式的电子稿件,文稿请认真审查,防止错漏,确保无误,文责自负。
本公众号对优秀作者和名师一般会附上“作者简介”,以让广大读者更好地了解作者的研究成果和方向,以便进一步学习作者的相关数学思想或解题方法。
投稿邮箱:zoushengshu@163.com;
商务联系:13297228197。
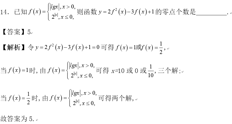
【答案】C
【点睛】数形结合是根据数量与图形之间的对应关系,通过数与形的相互转化来解决数学问题的一种重要思想方法,函数图象是函数的一种表达形式,它形象地揭示了函数的性质,为研究函数的数量关系提供了“形”的直观性.
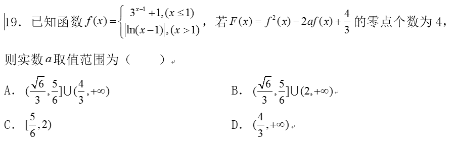
【答案】B
点睛:已知函数零点个数(方程根的个数)求参数值(取值范围)常用的方法:
(1)直接法:直接求解方程得到方程的根,再通过解不等式确定参数范围;
(2)分离参数法:先将参数分离,转化成求函数的值域问题加以解决;
(3)数形结合法:先对解析式变形,进而构造两个函数,然后在同一平面直角坐标系中画出函数的图象,利用数形结合的方法求解.
【答案】B
【答案】C
点睛:作出函数图像,由数形结合,根据对称性及对数函数性质,求得各交点间的关系,转化为一个变量,从而求得范围.
【答案】B
【点睛】本题考查了方程实根问题,关键点是转化为函数图象交点问题,利用数形结合得到范围,考查了学生分析问题、解决问题的能力及数形结合的思想.
【答案】B
【答案】D
【答案】D
点睛:本题考查函数零点问题,解题关键是把函数零点转化为函数图象与直线的交点的横坐标,从而可通过作出函数图象与直线,得出零点的性质与范围.
【答案】D
【答案】ABD
【答案】
【分析】求出f(x)的对称轴,根据f(x)的对称性得出任意两相邻两零点的和,从而得出答案.
【点睛】本题考查了正弦函数的图象与性质,函数对称性的应用,属于中档题.利用函数y=Asin(ω x +φ )的图像和性质,在研究函数的单调性和最值时,一般采用的是整体思想,将ω x +φ看做一个整体,地位等同于sinx中的x.
即可求出结论.
点睛:本题主要考查方程根的个数的应用,利用换元法将方程转化为一元二次方程,根据一元二次方程根的分布是解决本题的关键,利用数形结合是解决本题的基本思想.
【答案】D
【分析】根据函数解析式画出图像,结合方程根的情况,判断函数交点情况,从而求得参数的值,进而求得交点横坐标,从而解决问题.
点睛:数形结合找到方程有5个不同根对应的交点情况,然后求得参数值.
【答案】D
【点睛】本题考查根据函数零点的个数求参数的取值范围问题,解答本题的关键在于画出函数的图象,然后换元,根据函数的图象分析出方程的根的个数及根的分布情况,列出关于的不等式组解得答案.
【答案】D
点睛:复合方程的解的讨论,一般通过换元转化为内、外方程的解来处理,注意根据已知零点的个数合理推断二次方程的根的情况.
【答案】B
【点睛】本题主要考查指数函数的图象和性质的应用以及指数幂的运算,还考查了数形结合的思想和运算求解的能力.
转自:潘越高中数学学习
邹生书数学
2021年第三季度
最受读者欢迎的46篇解题文章
46.符强如:图引方向,依形辅数——一道解析几何压轴题的解法探究
36.胡 雷、刘建东等:中科大新生入学方程有解求参数取值范围试题解法研讨
34.胡全勇、童永奇——探讨三角形内角平分线性质在解题中的妙用
21.柴淑兰、王丽敏——2020年高考全国一卷第21题 的多种解法探究
15.罗小明——例谈含对数条件式求取值范围 或最值的典型问题
14.罗小明:“圆”来如此简单——利用隐形圆求解向量模的最值问题
6.最新权威版《初高中数学衔接读本》来了!新高一的师生家长请收好!
5.邹生书——从IMO走进课本的三角形存在性探索题的拓展探究
4.邹生书——2021年新高考一卷第7题的直观解答与严谨解法
公众号邹生书数学
2020年9月至2020年12月最受读者欢迎的51篇数学解题文章
20191018—20200618最受读者欢迎的70篇文章链接
20191018—20200424最受读者欢迎的101篇文章链接
投稿邮箱:zoushengshu@163.com;
商务联系:13297228197。