请点击上方蓝色字体“邹生书数学”,订阅本微信公众号;请点击右上角的“…”,发送给朋友或分享到朋友圈。
公众号“邹生书数学”创建于2018年8月28日。
开号宗旨:为热爱学习和研究的高中数学教师和教研员搭建学习交流平台,提升教学能力,促进专业发展。本公众号致力传播数学文化,发表教研成果,交流教学经验,探讨数学问题,展示解题方法,分享教学资源,为服务高中教学作贡献。
邹生书,男,1962年12月出生,本科学历,理学士学位,中学数学高级教师,黄石市高中数学骨干教师。主要从事高中数学教学、高中数学解题研究和探究性学习等。从2007年8月到2018年8月,在《数学通讯》《数学通报》《数学教学》《中学数学》《中学数学教学》等,二十多种学术期刊上发表解题和探究性学习文章300余篇。
公众号“邹生书数学”诚请高中数学教师、教研员和热爱数学的朋友不吝赐稿。来稿请注明真实姓名、工作单位和联系方式,一般只接受word文档格式的电子稿件,文稿请认真审查,防止错漏,确保无误,文责自负。
本公众号对优秀作者和名师一般会附上“作者简介”,以让广大读者更好地了解作者的研究成果和方向,以便进一步学习作者的相关数学思想或解题方法。
投稿邮箱:zoushengshu@163.com;
商务联系:13297228197。
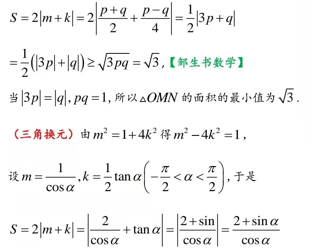
一道椭圆最小值模考题的几种解法
刘耀忠 广东潮阳实验学校
【作者简介】刘耀忠,湖北黄冈市人,现就职广东潮阳实验学校。在《中学生数理化》《新高考》《中学数学研究》等杂志发表文章30余篇,主编教辅资料两本。
刘耀忠老师往期文章链接:
23.刘耀忠——这种解法对吗?为什么与教材提出的问题不符合?
邹生书数学
2021年第4季度
最受读者欢迎的49篇解题文章
47.张成凯——圆锥曲线四点共圆问题命题背景研究——由2021年新高考1卷21题所想
45.杨 俊——对抛物线内接三角形外接圆半径最小值问题的深度研究
22.邓启龙 刘锐 洪一平——2021年数学通讯第11期问题解答
16.洪一平——2021年温州市摇篮杯高一数学竞赛试题逐题解析
16.洪一平——2021年温州市摇篮杯高一数学竞赛试题逐题解析(修正版)
8.邵苏阳——由百校联考圆锥曲线压轴题引发关于三点共线证明之思考
6.邹生书——椭圆参数方程详解2021年全国中学生数学奥林匹克竞赛一试第11题
5.余铁青 邱志权——2021届“结构不良问题”模拟试题归类赏析与命题趋势思考
2.邓启龙——2020年全国Ⅲ卷理科数学第23题的探究与推广
公众号邹生书数学
2020年9月至2020年12月最受读者欢迎的51篇数学解题文章
20191018—20200618最受读者欢迎的70篇文章链接
20191018—20200424最受读者欢迎的101篇文章链接
投稿邮箱:zoushengshu@163.com;
商务联系:13297228197。