请点击上方蓝色字体“邹生书数学”,订阅本微信公众号;请点击右上角的“…”,发送给朋友或分享到朋友圈。
公众号“邹生书数学”创建于2018年8月28日。
开号宗旨:为热爱学习和研究的高中数学教师和教研员搭建学习交流平台,提升教学能力,促进专业发展。本公众号致力传播数学文化,发表教研成果,交流教学经验,探讨数学问题,展示解题方法,分享教学资源,为服务高中教学作贡献。
邹生书,男,1962年12月出生,本科学历,理学士学位,中学数学高级教师,黄石市高中数学骨干教师。主要从事高中数学教学、高中数学解题研究和探究性学习等。从2007年8月到2018年8月,在《数学通讯》《数学通报》《数学教学》《中学数学》《中学数学教学》等,二十多种学术期刊上发表解题和探究性学习文章300余篇。
公众号“邹生书数学”诚请高中数学教师、教研员和热爱数学的朋友不吝赐稿。来稿请注明真实姓名、工作单位和联系方式,一般只接受word文档格式的电子稿件,文稿请认真审查,防止错漏,确保无误,文责自负。
本公众号对优秀作者和名师一般会附上“作者简介”,以让广大读者更好地了解作者的研究成果和方向,以便进一步学习作者的相关数学思想或解题方法。
投稿邮箱:zoushengshu@163.com;
商务联系:13297228197。
利用样本数据作决策的三种策略
刘耀忠 汕头潮阳实验学校高中部
策略一:利用期望(均值)和方差作决策
【例1】甲、乙两人在相同条件下各射击10次,每次中靶环数情况如图所示:
(1)请填写下表(写出计算过程):
(2)从下列三个不同的角度对这次测试结果进行分析:
①从平均数和方差相结合看(分析谁的成绩更稳定);
②从平均数和命中9环及9环以上的次数相结合看(分析谁的成绩好些);
③从折线图上两人射击命中环数的走势看(分析谁更有潜力).
【例2】某快餐连锁店招聘外卖骑手,该快餐连锁店提供了两种日工资方案:方案(a)规定每日底薪50元,快递业务每完成一单提成3元;方案(b)规定每日底薪100元,快递业务的前44单没有提成,从第45单开始,每完成一单提成5元.该快餐连锁店记录了每天骑手的人均业务量,现随机抽取100天的数据,将样本数据分为[25,35),[35,45),[45,55),[55,65),[65,75),[75,85),[85,95]七组,整理得到如图所示的频率分布直方图.
(1)随机选取一天,估计这一天该连锁店的骑手的人均日快递业务量不少于65单的概率;
(2)从以往统计数据看,新聘骑手选择日工资方案(a)的概率为1/3,选择方案(b)的概率为2/3.若甲、乙、丙三名骑手分别到该快餐连锁店应聘,三人选择日工资方案相互独立,求至少有两名骑手选择方案(a)的概率;
(3)若仅从人均日收入的角度考虑,请你利用所学的统计学知识为新聘骑手做出日工资方案的选择,并说明理由.(同组中的每个数据用该组区间的中点值代替)
【解析】(1)设事件A为“随机选取一天,这一天该连锁店的骑手的人均日快递业务量不少于65单”.依题意,连锁店的人均日快递业务量不少于65单的频率分别为0.2,0.15,0.05,因为0.2+0.15+0.05=0.4,所以P(A)估计为0.4.
(2) 设事件B为“甲、乙、丙三名骑手中至少有两名骑手选择方案(a)”,
设事件Ci为“甲、乙、丙三名骑手中恰有i(i=0,1,2,3)人选择方案(a)”,
【例3】核酸检测是诊断新冠肺炎的重要依据,首先取病人的唾液或咽拭子的样本,再提取唾液或咽拭子样本里的遗传物质,如果有病毒,样本检测会呈现阳性,否则为阴性.根据统计发现,疑似病例核酸检测呈阳性的概率为p(0<p<1).现有4例疑似病例,分别对其取样、检测,多个样本检测时,既可以逐个化验,也可以将若干个样本混合在一起化验.混合样本中只要有病毒,则混合样本化验结果就会呈阳性,若混合样本呈阳性,则将该组中备份的样本再逐个化验:若混合样本呈阴性,则判定该组各个样本均为阴性,无需再检验.现有以下三种方案:
方案一:逐个化验;
方案二:四个样本混合在一起化验;
方案三:平均分成两组,每组两个样本混合在一起,再分组化验.
在新冠肺炎爆发初期,由于检查能力不足,化验次数的期望值越小,则方案越“优”.
(1)若按方案一且p=1/3,求4个疑似病例中恰有2例呈阳性的概率;
(2)若p=1/3,现将该4例疑似病例样本进行化验,请问:方案一、二、三中哪个最“优”?
(3)若对4例疑似病例样本进行化验,且想让“方案二”比“方案一”更“优”,求p的取值范围.
策略二:构造函数求最值作决策
【例4】重庆作为新兴的“网红城市”,有很多风靡网络的“网红景点”,近几年每年都有大量游客来重庆参观旅游.为了更合理地配置旅游资源,管理部门对首次来重庆旅游的游客进行了问卷调查.据统计,其中1/4的游客计划只游览千年古镇——磁器口古镇,另外3/4的游客计划既游览磁器口,又准备“打卡”洪崖洞景区.每位游客若只游览磁器口,则记0分,若既游览磁器口,又“打卡”洪崖洞,则记1分.假设每位首次来磁器口游览的游客是否“打卡”洪崖洞相互独立,并且以频率估计概率.
(1)从游客中随机抽取3人,记这3人的合计得分为X,求X的分布列和数学期望.
(2)在参观洪崖洞景区某特色景点入口处景区摄影部会为每位游客拍一张与该景点的合影,游客若要带走则需支付20元,没卖出去的照片统一销毁.运营一段时间后,经过统计,只有20%的游客会选择带走照片.经过调查研究发现照片收费与游客消费意愿有较强的线性相关性,并统计出在原有的基础上,价格每下调1元,游客选择带走照片的概率平均增加0.02.已知每张照片的综合成本为3元,若每位游客是否购买照片相互独立,则应如何定价才能使得每天的平均利润最大?
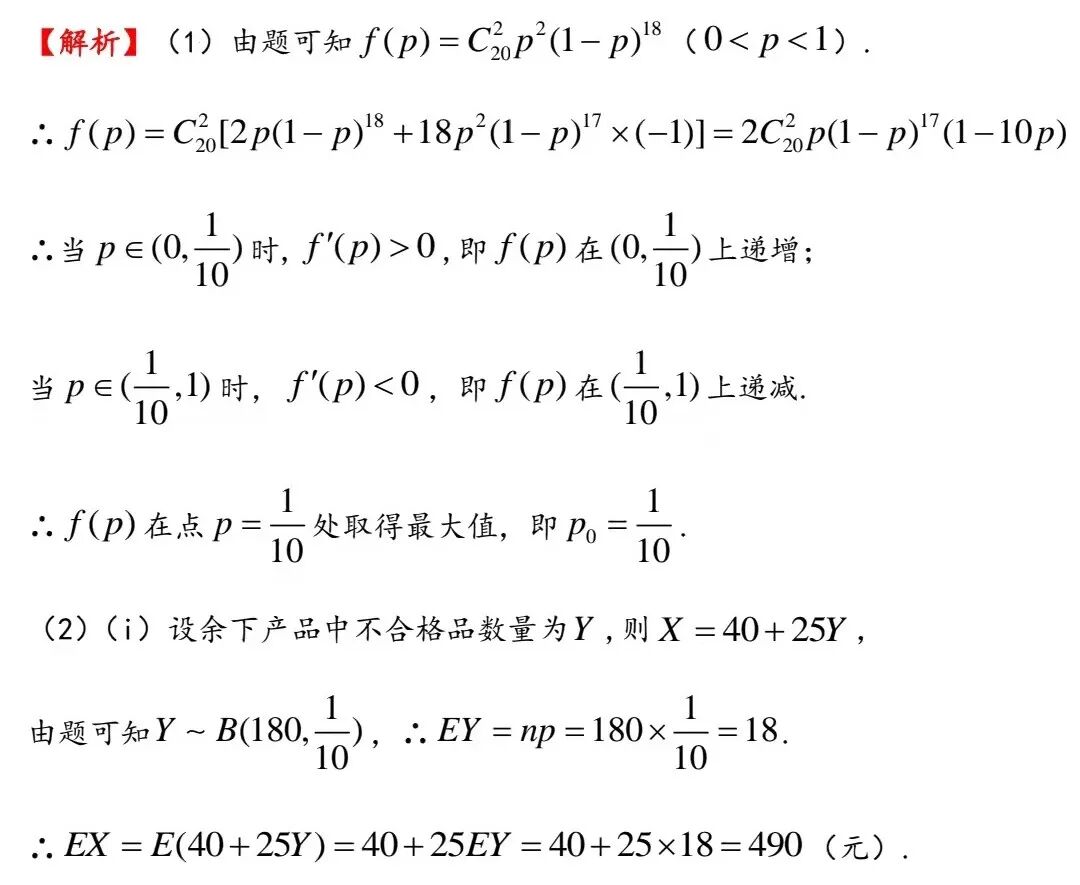
【例5】(2018全国卷)某工厂的某种产品成箱包装,每箱200件,每一箱产品在交付用户之前要对产品作检验,如检验出不合格品,则更换为合格品,检验时,先从这箱产品中任取20件作检验,再根据检验结果决定是否对余下的所有产品作检验,设每件产品为不合格品的概率都为p(0<p<1),且各件产品是否为不合格品相互独立.
⑴ 记20件产品中恰有2件不合格品的概率为f(p),求f(p)的最大值点p0;
⑵现对一箱产品检验了20件,结果恰有2件不合格品,以⑴中确定的p0作为p0的值.已知每件产品的检验费用为2元,若有不合格品进入用户手中,则工厂要对每件不合格品支付25元的赔偿费用.
(i)若不对该箱余下的产品作检验,这一箱产品的检验费用与赔偿费用的和记为X,求EX;
(ii)以检验费用与赔偿费用和的期望值为决策依据,是否该对这箱余下的所有产品作检验?
(ii)由(i)可知一箱产品若全部检验只需花费元,若余下的不检验则要元,
所以应该对余下的产品作检验.
【例6】(2021年全国新高考Ⅱ卷)一种微生物群体可以经过自身繁殖不断生存下来,设一个这种微生物为第0代,经过一次繁殖后为第1代,再经过一次繁殖后为第2代,……,该微生物每代繁殖的个数是相互独立的且有相同的分布列,设X表示1个微生物个体繁殖下一代的个数,P(X=i)=pi(i=0,1,2,3).
(1)已知p0=0.4,p1=0.3,p2=0.2,p3=0.1,求E(X);
(2)设p表示该种微生物经过多代繁殖后临近灭绝的概率,p是关于x的方程:p0+p1x+p2x2+p3x3=x的一个最小正实根,求证:当E(X)≤1时,p=1,当E(X)>1时,p<1;
(3)根据你的理解说明(2)问结论的实际含义.
【解析】(1)E(X)=0×0.4+1×0.3+2×0.2+3×0.1=1.
(2)设f(x)=p3x3+p2x2+(p1-1)x+p0,
因为p3+p2+p1+p0=1,所以f(x)=p3x3+p2x2-(p2+p0+p3)x+p0,
若E(X)≤1,则p1+2p2+3p3≤1,故p2+2p3≤p0.
f'(x)=3p3x2+2p2x-(p2+p0+p3),
因为f'(0)=-(p2+p0+p3)<0,f'(1)=p2+2p3-p0≤0,
所以f'(x)有两个不同零点x1,x2,且x1<0<1≤x2,
且当x∈(-∞,x1)∪(x2,+∞)时,f'(x)>0;当x∈(x1,x2)时,f'(x)<0.
故f(x)在(-∞,x1),(x2,+∞)上为增函数,在(x1,x2)上为减函数,
若x2=1,因为f(x)在(x2,+∞)上为增函数且f(1)=0,
而当x∈(0,x2)时,因为f(x)在(x1,x2)上为减函数,
所以f(x)>f(x2)=f(1)=0,
故1为p0+p1x+p2x2+p3x3=x的一个最小正实根,
若x2>1,因为f(1)=0且f(x)在(0,x2)上为减函数,
故1为p0+p1x+p2x2+p3x3=x的一个最小正实根,
综上,若E(X)≤1,则p=1.
若E(X)>1,则p1+2p2+3p3>1,故p2+2p3>p0.
此时f'(0)=-(p2+p0+p3)<0,f'(1)=p2+2p3-p0>0,
故f'(x)有两个不同零点x3,x4,且x3<0<x4<1,
且当x∈(-∞,x3)∪(x4,+∞)时,f'(x)>0;当x∈(x3,x4)时,f'(x)<0.
故f(x)在(-∞,x3),(x4,+∞)上为增函数,在(x3,x4)上为减函数,
而f(1)=0,故f(x4)<0,
又f(0)=p0>0,故f(x)在(0,x4)上存在一个零点p,且p<1.
所以p为p0+p1x+p2x2+p3x3=x的一个最小正实根,此时p<1,
故当E(X)>1时,p<1.
(3)意义:每一个该种微生物繁殖后代的平均数不超过1,则若干代必然灭绝,若繁殖后代的平均数超过1,则若干代后被灭绝的概率小于1.
策略三:比较多种情形作决策
【例7】一个经销鲜花产品的微店,为保障售出的百合花品质,每天从某省鲜花基地空运固定数量的百合花,如有剩余则免费分赠给第二天购花的顾客,如果不足,则从本地鲜花供应商处进货.今年四月前10天,微店百合花的售价为每枝2元,某省空运来的百合花每枝进价1.6元,本地供应商处的百合花每枝进价1.8元,微店这10天的订单中百合花的日需求量(单位:枝)依次为251,255,231,243,263,241,265,255,244,252.
(1)求今年四月前10天订单中百合花日需求量的平均数和众数,并完成频率分布直方图;
(2)预计四月的后20天,订单中百合花日需求量的频率分布与四月前10天相同,百合花进货价格与售价均不变,请根据(1)中频率分布直方图判断(同一组中的需求量数据用该组区间的中点值作代表,位于各区间的频率代替位于该区间的概率),微店每天从某省固定空运250枝,还是255枝百合花,四月后20天百合花销售总利润会更大?
(2)设订单中百合花的日需求量为a(枝),由(1)中频率分布直方图知,
a可能取值为235,245,255,265,相应频率分别为0.1,0.3,0.4,0.2.
所以20天中a=235,245,255,265相应的天数为2,6,8,4.
①若空运250枝,
a=235,当日利润为235×2-250×1.6=70(元),
a=245,当日利润为245×2-250×1.6=90(元),
a=255,当日利润为255×2-250×1.6-5×1.8=101(元),
a=265,当日利润为265×2-250×1.6-15×1.8=103(元),
20天总利润为70×2+90×6+101×8+103×4=1900(元).
②若空运255枝,
a=235,当日利润为235×2-255×1.6=62(元),
a=245,当日利润为245×2-255×1.6=82(元),
a=255,当日利润为255×2-255×1.6=102(元),
a=265,当日利润为265×2-255×1.6-10×1.8=104(元),
20天总利润为62×2+82×6+102×8+104×4=1848(元).
因为1900>1848,所以每天空运250枝百合花,四月后20天总利润更大.
【例8】某蔬菜批发商分别在甲、乙两市场销售某种蔬菜(两个市场的销售互不影响),已知该蔬菜每售出1吨获利500元,未售出的蔬菜低价处理,每吨亏损100 元.现统计甲、乙两市场该蔬菜以往100个销售周期的市场需求量,频数分布如下表:
以市场需求量的频率代替需求量的概率.设批发商在下个销售周期购进n吨该蔬菜,在甲、乙两市场同时销售,以X(单位:吨)表示下个销售周期两市场的需求量,T(单位:元)表示下个销售周期两市场的销售总利润.
(1)当n=19时,求T与X的函数解析式,并估计销售利润不少于8900元的概率;
(2)以销售利润的期望为决策依据,判断n=17与n=18应选用哪一个.
由题意可知,一个销售周期内甲市场需求量为8吨,9吨,10吨的概率分别为0.3,0.4,0.3;
乙市场需求量为8吨,9吨,10吨的概率分别为0.2,0.5,0.3.
设“销售的利润不少于8900元”为事件A,
当X≥19时,T=9500>8900,【邹生书数学】
当X<19时,600X-1900≥8900,解得X≥18,
所以P(A)=P(X≥18).
由题意可知,P(X=16)=0.3×0.2=0.06;
P(X=17)=0.3×0.5+0.4×0.2=0.23;
所以P(A)=P(X≥18)=1-0.06-0.23=0.71.
(2)由题意得P(X=16)=0.06,P(X=17)=0.23,
P(X=18)=0.4×0.5+0.3×0.3+0.3×0.2=0.35,
P(X=19)=0.4×0.3+0.3×0.5=0.27,
P(X=20)=0.3×0.3=0.09.【邹生书数学】
①当n=17时,E(T)=(500×16-1×100)×0.06+500×17×0.94=8464;
②当n=18时,
E(T)=(500×16-2×100)×0.06+(500×17-1×100)×0.23
+18×500×0.71=8790.
因为8464<8790,所以应选n=18.
【例9】某超市每年10月份都销售某种桃子,在10月份的每天计划进货量为n千克(1000≤n≤3000),每天计划进货量都相同.进货成本为每千克16元,销售价为每千克24元;当天超出需求量的部分,以每千克10元全部卖出.根据往年销售经验,每天的需求量与当天最高气温(单位:°C)有一定关系:最高气温低于25°C,需求量为1000千克;最高气温位于[25,30] °C内时,需求量为2000千克;最高气温不低于30 °C,需求量为3000千克.为制订2021年10月份的订购计划,超市工作人员统计了近三年10月份的气温数据,得到下列的频率分布直方图.
(1)求2021年10月份桃子一天的需求量X的分布列;
(2)设2021年10月份桃子一天的销售利润为Y元,当一天的进货量为多少千克时,E(Y)取到最大值?
【例10】(2016全国卷)某公司计划购买2台机器,该种机器使用三年后即被淘汰.机器有一易损零件,在购进机器时,可以额外购买这种零件作为备件,每个200元.在机器使用期间,如果备件不足再购买,则每个500元.现需决策在购买机器时应同时购买几个易损零件,为此搜集并整理了100台这种机器在三年使用期内更换的易损零件数,得下面柱状图:
以这100台机器更换的易损零件数的频率代替1台机器更换的易损零件数发生的概率,记x表示2台机器三年内共需更换的易损零件数,n表示购买2台机器的同时购买的易损零件数.
(I)求X的分布列;
(II)若要求P(X≤n)≥0.5,确定n的最小值;
(III)以购买易损零件所需费用的期望值为决策依据,在n=19与n=20之中选其一,应选用哪个?
【解析】(Ⅰ)由柱状图并以频率代替概率可得,一台机器在三年内需更换的易损零件数为8,9,10,11的概率分别为0.2,0.4,0.2,0.2,从而
【作者简介】刘耀忠,湖北黄冈市人,现就职广东潮阳实验学校。在《中学生数理化》《新高考》《中学数学研究》等杂志发表文章30余篇,主编教辅资料两本。
刘耀忠老师往期文章链接:
33.刘耀忠——构造圆求最值
27.刘耀忠——玩转矩形大法
23.刘耀忠——这种解法对吗?为什么与教材提出的问题不符合?
邹生书数学
2021年第4季度
最受读者欢迎的49篇解题文章
47.张成凯——圆锥曲线四点共圆问题命题背景研究——由2021年新高考1卷21题所想
45.杨 俊——对抛物线内接三角形外接圆半径最小值问题的深度研究
22.邓启龙 刘锐 洪一平——2021年数学通讯第11期问题解答
16.洪一平——2021年温州市摇篮杯高一数学竞赛试题逐题解析
16.洪一平——2021年温州市摇篮杯高一数学竞赛试题逐题解析(修正版)
8.邵苏阳——由百校联考圆锥曲线压轴题引发关于三点共线证明之思考
6.邹生书——椭圆参数方程详解2021年全国中学生数学奥林匹克竞赛一试第11题
5.余铁青 邱志权——2021届“结构不良问题”模拟试题归类赏析与命题趋势思考
2.邓启龙——2020年全国Ⅲ卷理科数学第23题的探究与推广
公众号邹生书数学
2020年9月至2020年12月最受读者欢迎的51篇数学解题文章
20191018—20200618最受读者欢迎的70篇文章链接
20191018—20200424最受读者欢迎的101篇文章链接
投稿邮箱:zoushengshu@163.com;
商务联系:13297228197.