请点击上方蓝色字体“邹生书数学”,订阅本微信公众号;请点击右上角的“…”,发送给朋友或分享到朋友圈。
公众号“邹生书数学”创建于2018年8月28日。
开号宗旨:为热爱学习和研究的高中数学教师和教研员搭建学习交流平台,提升教学能力,促进专业发展。本公众号致力传播数学文化,发表教研成果,交流教学经验,探讨数学问题,展示解题方法,分享教学资源,为服务高中教学作贡献。
邹生书,男,1962年12月出生,本科学历,理学士学位,中学数学高级教师,黄石市高中数学骨干教师。主要从事高中数学教学、高中数学解题研究和探究性学习等。从2007年8月到2018年8月,在《数学通讯》《数学通报》《数学教学》《中学数学》《中学数学教学》等,二十多种学术期刊上发表解题和探究性学习文章300余篇。
公众号“邹生书数学”诚请高中数学教师、教研员和热爱数学的朋友不吝赐稿。来稿请注明真实姓名、工作单位和联系方式,一般只接受word文档格式的电子稿件,文稿请认真审查,防止错漏,确保无误,文责自负。
本公众号对优秀作者和名师一般会附上“作者简介”,以让广大读者更好地了解作者的研究成果和方向,以便进一步学习作者的相关数学思想或解题方法。
投稿邮箱:zoushengshu@163.com;
商务联系:13297228197。
![]()
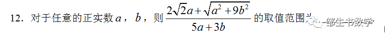
无理分式取值范围试题的两个解法
浙江省平阳中学 洪一平
![]()
解法1:个柯西不等式
![]()
解法2:换元十单位化
![]()
方法点拨:洪老师指出,只要分子分母都是相同的齐次式就可以单位化。
![]()
【作者简介】洪一平,男, 1962年4月出生, 1979年考上浙江大学应用数学系并于83年毕业, 获理学士学位, 毕业后分配到杭州商学院担任高数助教二年, 85年考上浙江大学应用数学系攻读计算机辅助几设计专业硕士研究生学位, 89年获得理学硕士学位, 毕业后回家乡任教于浙江省平阳中学, 96年评上高中数学高级教师职称, 曾连续二十多年担任高中数学竞赛及培优辅导员。
![]()
长按或扫描二维码关注本公众号!
投稿邮箱:zoushengshu@163.com;
商务联系:13297228197。
![]()
洪一平解难题文章专集链接
294.洪一平 魏拴文——妙证一个不等式
293.洪一平 陈佳文——2021高考浙江数列求和题的两个精彩解法
292.洪一平——三种方法解一道向量模取值范围难题
291.洪一平——解答一道费马点相关的取值范围试题
290.洪一平——解答一道函数多选压轴题
287.洪一平——解答一道向量最大值填空压轴题
286.洪一平——解答一道数列和绝对值之最小值
285.洪一平——巧换元解不等式恒成立求双参数代数式之比的最小值
284.洪一平——数学通讯2022年第1期问题533的两个解法
283.洪一平——柯西均值联手 巧证不等式征解题
282.洪一平——正方体线段和最小值试题的两种解法
281.洪一平——正方体线段和最小值试题的多种解法
280.洪一平——半分参与构造双变量函数巧求参数取值范围试题
279.洪一平——等比数列、对数与不等式小综合选择题
278.邹生书 洪一平——二元条件不等式证明题的简解与通法
277.洪一平——解答一道以双曲线为背景的立几最值难题
276.洪一平——解答一道余弦函数与方程的难题
275.洪一平——正方体截面多边形周长的取值问题
275.洪一平——这个方程是表示椭圆还双曲线?
274.洪一平——解答一道分式函数双填题
273.洪一平——三道与二次函数零点相关的最值或取值范围试题
272.洪一平——整系数一元二次方程中的最小问题
271.洪一平——函数只有一个极值点求参数取值范围试题
270.洪一平——分段函数不等式恒成立求参数取值范围试题
269.洪一平——解答一道图象中心对称的函数试题
268.洪一平——不动点法求一道递推数列的通项公式
267.洪一平——解答一道图象中心对称的函数试题
266.魏拴文 洪一平——巧设点坐标简解椭圆最值题
265.洪一平——放缩法求函数至少有两个零点求参数取值范围试题
264.洪一平——解答一道二项展开式的计数问题
263.洪一平 邹生书:一道空间向量投影最大值试题的几个解法
262.洪一平 邹生书——椭圆与抛物线围成封闭图形中过公共焦点的弦长最值试题
261.洪一平——解答一道椭圆离心率取值范围难题
260.洪一平——数学通讯2021年第11期问题521的证明
259.洪一平——解答一道方程有实根求双参数平方和的最小值
258.洪一平——用拉格朗日乘数法解一道三元条件分式最小值
257.邓启龙 刘锐 洪一平——2021年数学通讯第11期问题解答
256.洪一平——解答一道全国高中数学联赛求函数值域试题
255.洪一平——解答一道数列多项选择题
254.洪一平——巧变形 妙解“湖衢丽”三地联考最值题
253.洪一平——解答一道与四个平面都相切的球的半径试题
252.洪一平——2021年温州市摇篮杯高一数学竞赛试题逐题解析(修正版)
251.洪一平——解答一道三元函数值域题
250.洪一平——解答一道以正四面体为载体的多项选择题
249.洪一平——用柯西不等式解两道最值问题
248.洪一平——参数分离十同构十洛比达法则解一道不等式恒成立试题
247.洪一平:一道不等式恒成立求参数最小值问题的解答
246.洪一平——解答一道二元函数最大值征解题
245.洪一平——数学通讯2021年第10期问题518和519的解答
244.洪一平——第175期问题研究A的推广
243.洪一平——解答一道向量数量积最大值试题
242.洪一平:一个二元不等式的证明
241.洪一平——安振平问题6604、6619到6621的证明
240.洪一平——安振平问题6612、6615到6618的证明
239.洪一平——安振平问题6603、6606到6611的证明
238.洪一平——锐角三角形内角余弦最大值问题的拓展
237.洪一平——安振平问题6581、6582和6587的证明
236.洪一平——双参数函数不等式恒成立求参数比的最大值
235.洪一平——安振平问题6565至6567的证明
234.洪一平——分类讨论解武汉高三起点质量检测函数压轴题
233.洪一平——比值法求一道最大值问题
232.洪一平——安振平问题6559至6564的证明
231.洪一平——数学通讯2921年第9期问题514和515的证明
230.洪一平——数学通讯2921年第9期问题514和515的证明
229.洪一平:一个不对称等式中隐藏的恒等关系
228.洪一平——安振平问题6535和6536的证明
237.洪一平——安振平问题6525、6527、6530和6533的证明
236.洪一平——数学通报2021年第8期问题2620的一个解答
235.洪一平——安振平问题6510和6519的证明
234.洪一平——安振平问题6513、6516和6517的证明
233.洪一平——安振平问题6506、6508和6509的证明
232.洪一平——安振平问题6501、6502和6505的证明
231.洪一平——安振平问题6495、6496、 6498和6499的证明
230.洪一平——安振平问题6481、6491和6492的证明
229.洪一平——安振平问题6486至6488的证明
228.洪一平——安振平问题6475、6479、6482至6484的证明
227.洪一平——安振平问题6465、6466、6469、6471至6473的证明
226.洪一平——安振平问题6456、6458、6461和6463的证明
225.洪一平——安振平问题6450、6451、6453和6454的证明
224.洪一平——安振平问题6443至6449的证明
223.洪一平——安振平问题6435和6436的证明
222.洪一平——数学通讯2021年第8期问题509和510的证明
221.洪一平——安振平问题6431至6433的证明
220.洪一平——安振平问题6426至6430的证明
219.洪一平——安振平问题6424和6425的证明
218.洪一平——安振平问题6418、6419、6421和6422的证明
217.洪一平——安振平问题6415至6417的证明
216.洪一平——安振平问题6407、6410和6413的证明
215.洪一平——安振平问题6400、6408和6411的证明
214.洪一平——安振平问题6390、6391和6393的证法
213.洪一平——一道二元不等式的三种证法
212.洪一平——第18届中国东南亚地区数学奥林匹克 高一年级第二天第3题
211.洪一平——安振平问题6382、6385和6387的证明
210.洪一平——安振平问题6378至6380的证明
209.洪一平——第18届中国东南亚地区数学奥林匹克高二年级第一天第3 题
208.洪一平——安振平问题6374至6376的证明
207.洪一平——安振平问题6365和6369的证明
206.洪一平——刘保乾问题的一个证明
205.洪一平——安振平问题6353、6360和6364的证明
204.洪一平——安振平问题6357和6361的证明
203.洪一平——数学通讯2021年第7期问题503和504的证明
202.洪一平——安振平问题6356、6358和6359的证明
201.洪一平——安振平6346—6348问题的证明
200.洪一平——向量数量积最大值问题的两个解法
199.洪一平——安振平问题6342—6344的证明
198.洪一平——安振平问题6339—6341的证明
197.洪一平——安振平问题6329和6338的证明
196.洪一平——安振平问题6325和6328的证明
195.洪一平——安振平问题6320和6324的证明
194.洪一平——安振平问题6316和6322的证明
193.洪一平——安振平问题6313和6314的证明
192.洪一平——安振平问题6310和6311的证明
191.洪一平——安振平问题6302、6305、6306和6307的证明
190.洪一平——安振平问题6298和6300的一个证明
189.洪一平——安振平问题6289和6291的一个证明
188.洪一平——安振平问题6287和6288的证明
187.洪一平:一个PoKok不等式的证明
186.洪一平——安振平问题6283和6284的一个证明
185.洪一平——安振平问题6279和6282的证明
184.洪一平——安振平问题6276的一个证明
183.洪一平——安振平问题6273的一个证明
182.洪一平——安振平问题6272的一个证明
181.洪一平——安振平问题6269和6271的证明
180.洪一平——安振平问题6264的一个证明
179.洪一平——安振平问题6257、6259及6261的证明
178.洪一平:一道向量模最小值试题的解答
177.洪一平——安振平问题6251、6253和6256的证明
176.洪一平——解答一道三元条件最值试题
175.洪一平——安振平问题6239的一个证明
174.洪一平——安振平问题6231的一个证明
173.洪一平——2021年高考浙江卷第22题的一个新解法
172.洪一平——安振平问题6228与6218的证明
171.洪一平——2021年新高考函数压轴题(第22题)解析
170.洪一平、刘锐等——多种方法解答一道网红分式取值范围问题
169.洪一平——安振平问题6212的一个证明
168.洪一平——第163期问题研究B的一个证明
167.洪一平——第163期问题研究B的一个证明
166.洪一平——洛阳二模三角形面积最大值试题的三个解法
165.魏拴文、洪一平——安振平问题6200的证明
164.洪一平——向量等式条件下三角函数的最值试题
163.洪一平——安振平问题6191的证明及强化
162.洪一平——安振平问题6197与6198的证明
161.洪一平——安振平问题6196的两个证明
160.邓启龙、洪一平——数学通讯第5期问题494的又三个证法
159.洪一平——巧设坐标解答一道向量选择题
158.洪一平——数学通讯第5期问题491、492、494的解答
157.洪一平——安振平问题6186的一个证明
156.洪一平、魏拴文——外切两圆中向量数量积最大值试题的两个解法
155.洪一平——这道求参数取值范围题 看起来与做起来其实都不难
154.洪一平、邹生书——安振平问题6180及一个类似最小值问题的解法探讨
153.洪一平——解答一道平面区域的面积试题
152.洪一平——解答一道三角不等式恒成立 求参数最小值试题
151.洪一平——安振平问题6172的一个简洁证明
150.洪一平、邹生书——与圆相关的向量数量积最小值试题的两个解法
149.洪一平——第160期问题研究A的一个证明
148.洪一平——解答一道任意存在双参数恒成立问题
147.洪一平——安振平问题6159的一个证明
146.洪一平——安振平问题6161的一个证明
145.洪一平——解答一道绝对值最大值难题
144.洪一平——安振平问题6156的一个巧妙证明
143.洪一平——切线放缩与巧妙变形简证不等式恒成立
142.洪一平——数形结合半分参解一道双零点问题
141.洪一平——向量试题的这个解法是不是很巧妙?
140.洪一平——综合运用多种方法解端点效应函数压轴题
139.洪一平——补充定义使之连续 再求参数取值范围
138.洪一平——巧构函数比大小 优化解法提质量
137.洪一平——解答一道数列与函数联姻的小题
136.洪一平——安振平问题6143的一个证明
135.洪一平——安振平问题6140的一个证明
134.洪一平——参数变量常分离 灵活放缩总相宜
133.洪一平——简解一道复数模的取值多选题
132.洪一平——解答一道向量模最大值试题
131.洪一平——数学通讯2021年第4期问题488的一个简解
130.洪一平——指对三角相混合 参变分离一统解
129.洪一平——二元分式最大值试题的几个解法
128.洪一平——双绝对值双参数双零点试题的解答
127.洪一平——安振平问题6121的一个证明
126.洪一平——安振平问题6108的一个漂亮证明
125.洪一平——安振平问题6109的一个简洁证明
124.洪一平——三角函数中w最小值试题的两个解法
123.洪一平——用重要不等式的一个变式和待定系数法求一道二元分式的最小值
122.洪一平:一道双参数取值难题的解法
121.洪一平——陈题改编的多选题的一个简洁解法
120.洪一平——含有参数的双绝对值最小值试题的两个解法
119.洪一平——同构函数与先必要后充分解一道函数压轴题
118.洪一平——半分参与倒数换元 巧解百师联盟开年摸底联考第12题
117.洪一平、魏拴文——解答一道函数压轴题
116.洪一平等——2021汕头市高三质量检测压轴题解法大比拼
115.洪一平、韩安静——此题毫无价值 他人无须浪费费时间
114.洪一平——抛物线双切线双三角形外心条件下的数量积最大值试题的解法
113.洪一平:好题速递||直线、圆与向量,求参数取值范围
112.洪一平——三个向量条件下的最大值试题与解法
111.洪一平、邓名武——武汉市三月调考导数压轴题的几个新解法
110.洪一平——辽宁省名校联盟2021届高三三月份联合考试数学压轴题的简解
109.邹生书、洪一平——武汉市2021届三月调考第12题的两个解法
108.魏拴文、洪一平:一道指对函数不等式恒成立参数取值范围试题的两个解法
107洪一平——换元法再解二元最大值试题
106.洪一平:函数在区间内有最大值和最小值参数取值范围试题与解法
105.洪一平——向量最值姐妹试题的坐标解法与代数解法
104.个屋院、洪一平等:一道三元分式最小值问题的解法与推广
103.洪一平:一道递推数列首项取值范围试题与解答
102.洪一平——五种方法解答一道向量最大值试题
101.洪一平:一道双曲线离心率试题的三种解法
100.洪一平——函数不等式恒成立求参数取值范围试题
99.洪一平——递减数列参数取值范围试题的两个新解法
98.洪一平——2021年上海春考数学第12题的解答
97.洪一平、魏拴文:解答一道多元条件最值难题
96.洪一平——分段函数有三个零点求参数取值范围难题的解法
95.洪一平:一道数列多选难题的解法
94.洪一平、勒小平——比例赋值法简解约束条件下目标函数最值题
93.洪一平——双抛物线与四直线纠缠在一起的试题与解答
92.洪一平——以椭圆短轴端点为直角顶点的内接等腰直角三角形有三个的离心率取值范围
91.洪一平——两个函数图象仅有一个公共点难题的两个解法
90.洪一平、魏拴文等:一道向量等式条件下最值难题的几种解法
89.张联忠等——用圆锥曲线的配极原理证明三角形外接圆恒过定点试题
88.洪一平、孙京:一道正弦型函数求w的最小值试题
87.洪一平:2011年高考全国二卷压轴题的新解法
86.洪一平:一道函数有6个零点求参数取值范围
85.魏拴文、洪一平:解答一道二次函数条件下最大值中的最小值
84.洪一平——解答一道数列综合题
83.洪一平:一道双参数双量词绝对值不等式恒成立 求参数取值范围问题的两个解法
82.洪一平、邹生书:一道有三个参数的向量试题的两种解法
81.洪一平、刘锐——圆中同起点动弦向量数量积最小值难题的八种解法 你知道几种?
80.洪一平——简证一道分式不等式
79.洪一平、杨俊等——三线段长度最大值的最小值试题解法研讨
78.洪一平——不等式恒成立 求双参数积最大值试题的两个解法
77.洪一平——解答两道组合竞赛题
76.洪一平——2020湖北高三5月调研模拟理科数学第10题解析
75.洪一平——特殊函数法和构造函数法解一道抽象函数不等式
74.洪一平、陈佳文:一道二元条件最值试题的两个解法
73.洪一平——解答一道精彩的立体几何线段和最小值难题
72.洪一平——解析一道不等式恒成立难题
71.洪一平——这个怪异丑陋的三角不等式征解题 原来的样子很优美
70.洪一平等:一道四元二次式最小值试题的几个创新解法
69.洪一平——解答一道综合性较强的最值选择题
68.洪一平——解答一道圆与抛物线交点纵坐标最小值试题
67.洪一平——椭圆中两个三角面积和的求值与几何背景
66.洪一平——四边形中三角形面积最大值问题的七种解法
65.洪一平——隐极值点法和参数分离法解一道不等式恒成立试题
64.洪一平:一个函数有六个零点求参数取值范围难题
63.洪一平——两种方法解答一道正弦型函数中w取值范围试题
62.洪一平、邹生书——三角形面积最大值试题的两种求解视角
61.洪一平——2011年印度数学奥林匹克抽象函数竞赛题的严谨解法
60.洪一平——两种方法解答一道抛物线焦点弦比值计算难题
59.洪一平、邹生书——六种方法解答一道含有参数的向量模之和的最小值试题
58.洪一平——解答一道模拟考试导数压轴难题
57.洪一平、李有贵——再解一道二元不等式条件下的取值范围试题
56.袁方、洪一平、邹生书——运用“等积线”求解一类条件最值问题
55.洪一平——两种方法解答一道浙江高考难题
54.洪一平——三角形中一个函数最大最小值双填试题及其解法
53.洪一平——解答加拿大CRUX杂志4528问题
52.洪一平、邹生书:一道与椭圆焦点弦相关的向量模取值范围 难题的两个解法
51.洪一平、邹生书——三角形面积最大值问题的两个新解法与几何背景
50.洪一平——运用“同构”解答一道参数取值范围试题
49.洪一平——解答一道动圆半径最大值征解试题
48.洪一平——对一道二次根式线性和取值范围问题的解法再探讨
47.洪一平、张红生——涉及二次函数零点的系数线性和最值问题及其解法
46.洪一平:大胆假设 小心求证——解答一道最小值难题
45.洪一平——二次函数在区间上有零点求参数代数式取值范围
44.洪一平:一个二元条件最小值问题的几何背景及其解法
43.洪一平——山西八校联考向量数量积最大值试题的五种解法
42.洪一平:一道二元条件最小值问题的几个解法
41.洪一平——再解2013年哈萨克斯坦奥林匹克最大值问题
40.洪一平——2019年5月浙江五校联考试题第9题的四种解法
39.洪一平——六种方法解答一道四边形中的三角形面积最大值问题
38.洪一平——不用隐零点另辟蹊径解两道函数压轴题
37.洪一平——证明一道四元不等式征解题
36.洪一平——解答一道模拟考试函数压轴难题
35.洪一平——数形结合简解一道函数压轴题
34.洪一平——一道双参数双层最值联考试题的解法探讨
33.洪一平——三次函数对称中心的一个判定方法与应用
32.洪一平——解答一道高三大联考函数压轴题
31.洪一平——作直角三角形内切圆数形结合解一道最值试题
30.洪一平、 杨飞、邹生书——解答一道以椭圆为载体的轨迹方程与面积最值征解难题
29.洪一平、王桥——一道黄冈中学自主招生试题的两种解法
28.洪一平——建系设点三角代换再解双动点线段和最值题
27.胡长淼、洪一平——一道已知函数的最小值求参数取值试题的三种解法
26.洪一平——一道方程有三个实根求参数取值范围试题的解法
25.洪一平——一道复合方程解的个数恒定问题的解法
24.洪一平——2019届南通海安上学期期末考试第14题的两个解法
23.洪一平——用高线法解2019年江苏省数学夏令营测试卷第7题
22.杨俊、张长新、洪一平、李启印——解答一道与阿氏圆有关的双根式最小值征解题
洪一平——解答两道微信群征解题
21.洪一平——解答一道方程有解求参数取值条件的群聊问题
20.洪一平——构造双曲线解答双根式函数值域问题
19.洪一平——第十六届东南杯数学奥林匹克高一试题第一题的两个新解法
18.洪一平——用函数的凹凸性分析法证明一道函数不等式
17.洪一平、张智刚、霍忠林——一道涉及三角形内心的向量系数和最值问题的几个简解
16.洪一平——一道二元三次条件等式一次最小值问题的几种解法
15.洪一平——利用三倍角公式解证两道三次函数的零点问题
14.洪一平——2017年福建高中数学竞赛第8题的几个精彩解法
13.洪一平、邹生书——两个二元条件指数式取值范围问题及其解法
12.洪一平——解答《数学通讯》第6期问题征解401与402号题
11.洪一平——利用三角形的高线解题
10.洪一平——2018年湖北数学竞赛第11题的优美解法
9.洪一平、张智刚、邹生书——一道三次函数零点个数试题的解法与反思
8.洪一平——解答中科大2019自主招生最后一题
7.洪一平:一道方程有四个实根选择题的新解法
6.洪一平:一道含有双参数绝对值全称量词和特称量词综合小题的四种解法
5.洪一平——消元法再解一道三角函数条件最值题
4.洪一平:一道双参数多层最值问题的三种解法
3.洪一平——直接求解一道四边形面积的最大值问题
2.洪一平——解析两道抽象函数导数小题
1.洪一平——图解一个经典的数学问题
![]()
投稿邮箱:zoushengshu@163.com;
商务联系:13297228197.