本篇报告中,我们将从最基本的利差成因入手,一步步剖析期限利差的演化规律,并介绍如何利用这样的规律构建有效的利率交易策略。顾名思义,期限利差体现的是债券收益率曲线上不同期限品种的利率之差,而收益率曲线的形态也正是由不同区间的期限利差共同刻画而成。在我国市场中,长端代表性的活跃期限为10年,短端活跃期限则是1年,因此国债与国开债的10年期与1年期利差是国内市场关注与研究的重点。关于期限利差的成因,学术界有4种经典的理论解释,分别为纯预期理论、流动性偏好理论、分割市场理论以及期限选择理论。此外,所罗门兄弟公司(1995)还在经典的研究框架中构建了期限利差的三因子分解方法,将远期收益率与即期收益的差值分解至市场预期收益,债券风险溢价以及凸性等三个方面。不过,上述工具普遍建立在严格的假设基础上,直接运用到市场投研分析中可能具有一定难度,而当前市场主流的期限利差研究思路更像是借用了诸多理论方法之后更“接地气”的框架。具体到国内市场而言,常用的分析思路是在分割市场理论的基础上对短端和长端利率中枢分别定价,最后对期限利差水平进行历史研究和比较判断。在短端利率方面,货币市场的资金利率是短期限品种收益率的重要参考。在国内市场,理论的短端定价基准是央行每日进行公开市场操作的逆回购利率,但在实际判断中,DR007和R007往往是短端利率的更佳代理。长端利率方面,基于流动性偏好理论,其中会隐含市场对于未来通胀水平的预期,因此PPI在长时间内成为了有效的代理变量。而自2018年末以来,市场更多将MLF作为长端利率的锚定工具。由此可见,长短端利率的代理变量其实都是经济周期在不同维度的反映,而驱动因素的联动式纠偏,使得期限利差的波动天然具备了与经济运行类似的周期性与均值回复性,而这一特性也使分位数成为期限利差研究中有效的定位工具。基于利差序列的均值回复特性,我们以分位数为指标设计了不同的博弈策略,测试做平或做陡曲线的收益。根据历史经验,在5年的窗口下,当利差分位数达到80~85%高分位点时开始做平曲线,并在利差回到55%~60%分位数的时候及时退出,能获取相对可观收益;而当利差分位数降至20%~25%分位数时可尝试做陡曲线,待其恢复至60%分位数附近时退出。
核心假设风险。定量分析过程存在偏差;货币政策出现超预期调整等。
在本系列的前一篇报告中,我们详尽介绍了新老券利差效应的成因,以及如何利用利差变化与成交量之间的联动关系构建交易策略。
从本质上看,新老券利差是债市期限利差效应的一种微观体现——投资者由于对临近期限品种的流动性偏好存在差异,从而影响新券与老券的定价,带来投资获利的机会。而若将利差的观测期限拓展到更长的时间,那么期限利差中则将蕴含更加丰富的信息与规律,而对于这些利差变化规律的理解,是我们在进行利率债投资中的必修课。本篇报告中,我们将从最基本的利差成因入手,一步步剖析期限利差的演化规律,并介绍如何利用这样的规律构建有效的利率交易策略。
顾名思义,期限利差体现的是债券收益率曲线上不同期限品种的利率之差,而收益率曲线的形态也正是由不同区间的期限利差共同刻画而成。对于常见的利率债品种,如国债、国开债等,由于个券发行期限及上市时间存在差异,因此存量券的剩余期限不均匀地散落在时间轴上。对于这些不同剩余期限的债券,投资者会经由市场化交易行为给出相应的定价,进而形成不同期限品种在收益率上的差异,这样的差异便是我们常说的期限利差。图1展示了一条剩余期限分布在10年内的国债收益率曲线,若将其按照期限拆分,可发现曲线整体的斜率以及弯曲度都是由不同细分区间的期限利差共构成的。
期限利差是收益率曲线研究框架的基础,关注不同期限之间的利差变化可以帮助投资者挖掘曲线中的局部投资机会。由于收益率曲线在时间维度的连续性,因此将所有不同期限之间的利差进行细分研究并不现实,市场上常见处理方式是在交易活跃的期限处对收益率曲线做断点切分,利用这些关键子区间的期限利差来描述整条曲线的形态。如我们在考虑1Y至10Y间的收益率曲线时,往往通过观察3Y-1Y,5Y-3Y,7Y-5Y以及10Y-7Y的期限利差来衡量曲线的凸起程度、倾斜程度以及局部的特殊形态。
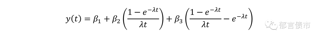
在美债市场中,投资者较为关注的长短利差由交易活跃的10年期与2年期的美国国债构成,因此在西方成熟市场的研究框架中,最具代表性的期限利差往往是10年期国债与2年期国债之差。而在我国市场中,长端代表性的活跃期限同样为10年,但短端活跃期限则是1年,因此国债与国开债的10年期与1年期利差是国内市场关注与研究的重点。对于期限利差基本特征,在早期的基础性研究中,Nelson和Siegel(1987) 利用水平因子、斜率因子以及曲度因子等几何维度因素对收益率曲线进行分解。模型的静态形式如下:
其中y(t)代表曲线上剩余期限为t品种的到期收益率,模型的核心是利用等式右边的三个分项:水平因素、斜率因素和曲率因素及其系数,对t期限债券的到期收益率进行解释。利用回归方法,模型可依照真实的样本数据,对4个未知参数——β1、β2、β3及λ进行估计。最后,根据参数估计结果,我们便可在水平、斜率和曲率三个维度上对收益率曲线的构成进行拆分解释。在三个因素中,代表长端利率变化的斜率因素往往是投资者关注的重点。在Nelson-Siegel模型的分解思路下,曲线斜率变动反映的本质其实就是长端期限与短端期限的利差,而这一因素备受关注的原因有两个:首先,由于久期较长,长端利率的正确预判可以帮助投资者博取更高的资本利得收益;其次,长短两端期限的利差相较于中间期限具有更强的规律性,各类预测分析的施展空间较大(我们将在第二章节的内容中对此展开讨论)。基于此,债市期限利差的研究逐渐成为了固定收益研究框架的核心问题之一。关于期限利差的成因,学术界有4种经典的理论解释,分别为纯预期理论、流动性偏好理论、分割市场理论以及期限选择理论。
纯预期理论认为利率曲线上任意两个期限间的斜率完全取决于市场对于未来利率的预期,不存在风险溢价。当市场参与者普遍认为未来短期利率会上涨时,收益率向上倾斜,反之则向下倾斜。纯预期理论依赖两个严格的假设条件:(1)债券投资者和发行者是风险中性的,他们在做决策时仅关心投资回报率的均值,忽略风险差异;(2)买卖双方可以随意沿着收益率曲线购买或者发行相应期限收益率的债券。在纯预期理论下,隐含的远期利率是市场对未来短期利率的无偏估计,即:![]()
市场分割理论认为各期限的定价相互独立。相比纯预期利率,市场分割理论则走向另一个极端,其认为不同的投资者有自己独特期限偏好,长债投资者只投资长债,短债投资者只投资短债,因此特定期限债券的定价均取决于该期限品种的参与者群体,不同期限债券的定价规则相互独立。某期限债券价格的变动出自该点上供求关系的变化。在市场分割理论下,隐含的远期利率与市场对未来短期利率无关,即:![]()
流动性偏好理论认为具有风险厌恶的投资在购买长期债券时需要获得风险补偿。相比于纯预期理论和分割市场理论,流动性偏高理论更加贴近现实市场。这一理论一方面承认了纯预期理论具有一定的合理性,另一方面也强调了风险与收益的重要性。例如当市场预期未来经济环境会发生恶化时,长期债券价格的受损更大,选择短期债券更为安全,风险厌恶型投资者在购买长期债券时,会要求得到额外的补偿。同时,流动性溢价本身也是导致期限利差形成的重要因素——长期限债券由于流动性相对较差,因此具有较高的溢价。在流动性理论下,市场对远期利率的定价会高于单纯对未来短期利率估计水平,即:![]()
这样的理论显然无法完全解释国内债市期限利差的成因,以国开债为例,10年附近的长端债券才是成交最为活跃的品种,但典型的10Y-1Y期限利差则长期显著为正。不过流动性因素确实可以解释局部的期限利差问题,如果上一篇报告(《新老券利差效应全解析》)中提到的新老券利差以及利率债中时常倒挂的10Y与7Y的利差等。4. 期限选择理论
期限选择理论对分割市场理论的假设进行了放宽,认为投资者虽然存在期限偏好,但若给予足够的期限溢价,那么投资者的期限偏好就会发生改变。由于短期债券的风险更小,在收益率相同的条件下,大多数投资者都会偏好短期债券,因此只有当长期债券给予足够的风险补偿时,投资者才会选择买入长期债券。除上述4种经典解释外,所罗门兄弟公司(1995)还在经典的研究框架《Understanding the Yield Curve》中构建了期限利差的三因子分解方法,将远期收益率与即期收益率的差值分解至市场预期收益,债券风险溢价以及凸性等三个方面。这一方法综合考虑了期限利差的理论成因和形态要素,解释较为全面,并且由于该方法是基于泰勒公式的数据分解,没有过多的假设限制,因此适用范围较广。从基础分解来看,期限利差反映的是相同期限远期利率与即期利率的差异,若远期利率与即期利率相等,期限利差为零。这里可以先将普通债券的到期收益率简化成零息债券的到期收益率,即观察即期收益率,在这样的前提下,期限利差隐含的假设便是相同期限远期收益率与即期收益率的偏差。我们给定Spot[0-1]是从当下开始投资1年期零息债券的收益率,Spot[0-2]是投资2年期零息债券的收益率,Forward[1-2]则是在1年后投资1年期零息债券的收益率,按照无套利的定价原则,需有![]()
若远期收益率Forward[1-2]与即期收益率Spot[0-1]相等,即利率未来预期不变是市场共识,则可推出Spot[0-1]与Spot[0-2]保持一致,那么债券的到期收益率曲线将会是一条直线,期限利差为0。三因素分解的核心在于挖掘远期利率与即期利率差异的影响因素,在所罗门的框架下,期限利差可以拆解为前文所述的市场预期收益(Rate Expectation)、债券风险溢价(Bond Risk Premium)以及凸性偏差(Convexity Bias)等三个因素。假设投资者在债券剩余时长为t2时买入债券,并在剩余时长缩短至t1时卖出,区间的投资收益可做简单分解:
![]()
在两个中括号中,前者与曲线变动收益相关,后者与曲线不变的收益相关,后续通过一系列的推导及近似替代,等式的两端可以变为![]()
详尽的推导过程我们放在了附录当中,敬请各位读者参考。此时,约等号的左侧便是远期利率与即期利率的差异,而约等号的右侧分为了三个部分,(1)衡量的是投资债券与投资短期低风险零息债券(如高等级同业存单)的收益差值,代表债券风险溢价因素,(2)体现的是久期乘以收益率曲线变动幅度,代表市场预期收益因素,(3)考量的则是凸性偏差,至此完成了对期限利差的三因素拆解。![]()
总体来看,该方法是基于泰勒公式的纯数学分解,具有严格的理论依据,且在推导过程中并未加夹杂繁复的假设限制,普适性较强,是认识期限利差的理想入门工具。但遗憾的是,目前暂未能匹配较好的数学模型对三个因素进行定量分析,因而国内市场难以将所罗门的拆解框架有效地应用在投资领域中。从前文介绍的理论方法来看,理论研究提供的工具普遍建立在严格的假设基础上,直接运用到市场投研分析中可能具有一定难度,但这些方法的核心思想仍能对期限利差的研究提供重要指导。例如前文中介绍的分割市场理论,尽管并非所有期限的债券都严格遵循独立定价原则,但在国内市场中,不同需求下的交易确实驱使长短两端演化出了各自定价的锚利率,并且和预期波动一同左右了期限利差的变化。而在对长端利率进行定价时,投资者也会考虑后续的通胀水平、未来的即期利率及期限溢价等因素,这部分研究思路也体现了纯预期理论的思想。
总体来看,当前市场主流的期限利差研究思路更像是借用了诸多理论方法之后更“接地气”的框架。具体到国内市场而言,常用的分析思路是在分割市场理论的基础上对短端和长端利率中枢分别定价,最后对期限利差水平进行历史研究和比较判断。在短端利率方面,货币市场的资金利率是短期限品种收益率的重要参考。在美债市场,美联储给定的联邦基金利率与短端活跃的2年期美债在趋势上有着高度的一致性。作为美国的基准利率,联邦基金利率是其货币政策的直接体现,也是政府通过资金利率调节市场流动性的重要手段;在国内市场,与之相对应的则是央行每日进行公开市场操作的逆回购利率。不过相较之下,国内市场利率体系与美国存在一定程度的差别,OMO利率作为国内政策利率,更多是作为利率走廊的一个指导利率,作为市场利率的参考值。而在国内债市中,更能快速反映资金面的银行间质押式回购利率成为短端利率更重要的定价参考。一般情况下,为了减少跨月、跨季时点短期供给收紧带来的波动影响,我们考虑采用平滑后的DR007(或R007)作为资金流动性有效代理变量。
从实际的利率运行来看,中债1年期国债到期收益率与10日平滑处理后的DR007中枢走势具有高度协同性,可作为锚定短端利率变化的重要代理。在样本观测期内,平滑后的DR007数据与1年期国债收益率的线性相关系数高达0.85,二者偏离度基本维持在30bp以内,一方面说明DR007的确可以灵敏地代理短端利率变化,另一方面也说明了短端利率中枢成其实很大程度上受到流动性环境的左右。
不过同样需要注意的是,在事件性冲击频发的阶段,短端利率与货币市场利率间的平衡也会出现阶段性波动。例如,在2017年中至2018年中及2020年末两个阶段内,1年期国债到期收益率便与DR007中枢发生了较大的偏离。阶段一:2017年,银监会陆续发布各类针对银行理财的监管文件,重点规范商业银行的委外投资及各类套利行为。这一系列新规对彼时理财机构长期形成的投资交易模式带来了较大影响,截至2016年上半年,银行理财投资中的债券占比超过50%,期间的委外赎回给短端债市带来了明显冲击,并持续至2018年中。在这一阶段,短端利率定价与货币市场利率的联动性明显减弱。阶段二:2020年8至10月,经济修复推动利率整体上行。彼时,尽管央行通过投放MLF释放流动性,但市场对流动性的宽松预期较弱,债市空头情绪占主导。在这样的背景下,11月的“永煤事件”进一步给债市造成一定程度的冲击,部分债基在赎回压力下开始抛售流动性较强的利率债品种,造成了了短端利率与货币市场利率的阶段性“脱钩”。而在大部分时间内,短端利率中枢与货币市场利率间均保持着较强联动。![]()
(二)MLF利率逐渐成为国债长端的定价锚
根据流动性偏好理论,长端利率中会隐含市场对于未来通胀水平的预期。事实上,在过去10年中,PPI可作为10年期国债的一个代理变量。PPI作为工业品出厂价格的衡量指标,在国内地产&基建占比较大的经济结构中具有重要意义,可以反映经济的周期性特征。从整体走势来看,自2003年以来,PPI与10年国债收益率大体保持相同趋势。但受制于数据披露的频率和公布时间,PPI作为利率辅助判断工具的时效性会受一定影响。同时,PPI与长端利率中枢也并不总是契合,尤其在当前“房住不炒”的大背景下,地产行业对经济增长的贡献度逐渐减弱,叠加2020年疫情对大宗商品供需产生的影响,PPI与长端国债收益率的联动性也在下降。![]()
自2018年末以来,市场逐渐将MLF利率视为判断10Y期国债基准的更关键工具。2017年至2018年末,10年期国债与MLF利率的差距逐渐由高点收敛至0后,10年期国债收益率开始围绕MLF利率上下波动,整体利差多数时间内维持在正负20bp以内。在经济上行期间,10年期国债到期收益率往往处在MLF利率的上方,反映加息预期渐浓;而随着经济拐头向下时,10年期国债收益率往往会来到MLF利率的下方,对未来的降息预期得到提前反应。近年来,长端利率和MLF利率的最大偏离出现在2020年初。受突如其来的疫情影响,债市各期限收益率急剧下行,致使10年期国债收益率大幅低于MLF利率,而2020年5月开始,流动性回归常态的过程,使债市迅速向上做出调整。在这一期间,市场开始为后续可能出现的货币政策收紧而定价,长端利率相应高于MLF利率。随着后续债市波动恢复常态,10年期国债收益率的定价也逐渐向“锚”回归,2021年中以来,10年期国债收益率基本稳定在MLF利率以下,多较MLF利率低0-20bp。![]()
(三)流动性变化对期限利差研究至关重要
综合来看,把握住流动性的变化是现阶段期限利差研究的重要环节。当我们将两端的锚利率的利差与10Y-1Y期限利差放在一起做比对时,可以发现两组利差具有高度相关性。拆分来看,由于MLF利率在整个政策利率体系中有着“承短端,启长端”的桥梁作用,MLF的每次加息与降息都蕴含着重要的政策信号,因此长端定价的基准MLF利率调整频率相对较低,运行也相对稳定,因此MLF-DR007(MA10)的波动性更多由短端的流动性利率提供。从近年数据来看,DR007的十日中枢与10Y-1Y期限利差保持着较高的负相关性,期限利差的快速扩大与缩窄往往伴随着流动性的放松与收紧。![]()
(四)分位数是期限利差研究中的核心定位工具
在实际投研中,投资者常利用分位数作为判断后续利差走势的经验工具。长端方面,过去市场参考的是经济周期变量,而随着长端定价向MLF利率靠拢,市场关注点也相应更加侧重加减息周期,同时,这两个代理变量也均可认为是经济景气程度的衡量指标。而短端所参考的流动性指标,则是央行对于货币调控的直接体现,当经济过热时货币政策会趋向收紧,而当发展出现疲态时央行又会重新注水,恢复市场活力。长短两端参考依据的联动式纠偏,使得期限利差的波动天然具备了与经济运行类似的周期性与均值回复性,而这一特性也使分位数成为期限利差研究中有效的定位工具。
为进一步观察期限利差及其分位数的运行特征,我们对期限利差的历史数据进行了回溯。在回溯统计中,我们对计算分位数的区间做了滚动窗口处理,即对每一个历史时刻都按照以当期为基点的历史区间进行定位。假设投资者常用的期限利差回溯区间是5年,并对历史上各个时期的期限利差分位数进行滚动计算,可以发现国债10Y-1Y期限利差序列围绕中枢水平(50%分位点)均值回复的特性十分明显,同时,利差中枢自2019年起呈逐渐上行的趋势,而上下1/4分位点之间的带宽却在不断地收窄。若将窗口区间长度进一步缩短至3年,这样的趋势则会体现地更加明显。造成带宽收窄的原因或与长短两端收益率的波动不断降低有关。以10年国债收益率走势作为依据,将起点设置为2016年末,截至近期,债市大体经历了两轮持续时间较长的熊牛周期,第一轮是2016年10月底至2020年4月底,第二轮则是2020年5月至今。从持续时间以及上下幅度来看,第二轮熊牛周期运行时长更短,利率的变化也相对较小,抑制了期限利差的波动空间,带宽相应地缩窄。
![]()
如前文所述,长短端利差分别受到资金流动性、未来经济预期、市场需求等诸多因素的影响,在多重扰动下,利差的每次剧烈波动均能从不同角度进行解释,对应到当时的预判也需要抓住当期的主要矛盾。在本篇报告中,我们暂不对长短利差单次的放大与收敛进行事件分析,而更多从更具普适性的均值回复特性入手,展示如何挖掘期限利差变动中隐含的交易机会。当期限利差向上偏离中枢水平时,自然地会引出两个问题:一是期限利差还会继续扩大吗?二是期限利差若向中枢回归,大概会回到什么位置?(类似的疑惑也会在利差分位数处于低点时出现)。这类问题很难通过标准的量化手段进行严密回答,但从常规的交易逻辑来看,投资者的逐利行为会在很大程度上抑制期限利差的无止境放大与缩小。每个投资者心里都有自己的一把标尺,我们希望做的便是通过统计规律探测标尺的刻度,看看当期限利差到达什么位点时,市场愿意对其调整,而调整至什么幅度时,市场逐渐开始接受,从中发现交易机会。为验证分位数方法的判断效果,我们分别对不同情景下做平和做陡曲线的收益进行了测试。在做平曲线方面,我们结合动态的利差分位数,设置了5个高利差标准作为入场准则:达到历史75%、80%、85%、90%及95%分位数,并以利差下行至历史40%、45%、50%、55%及60%分位点作为利差回归中枢的信号,构建25个回测组合。当期限利差突破高位时,我们选择入场做平曲线,并在利差回复至低位阈值时选择获利了结,记录策略表现。
我们设置了三个维度来观察组合的效果,分别是交易轮数(入场与退场算一轮交易)、每轮交易的平均持续时长以及各轮交易的平均收益情况。在计算收益时,我们记录的是做多长端做空短端利率获取的收益,暂未考虑债券借贷的成本,旨在重点搜索入场与出场的较优分位数。在择券方面,短端选取的是最新发行1年期国债,而在长端方面则选用国债10年期活跃券。从组合的设计来看,入场触发分位数决定着入场的难度,与最终的交易轮数挂钩;而退场分数数则通过影响退场的难度,决定着每轮交易的持续天数,而二者间的差距则决定整个交易的获利空间。
从表1的结果可以看出,当入场触发分位数设置未80%~85%的时候,可以获得较为多次的入场机会,同时配合上60%分位数的退场条件,可大大缩减单轮次交易的所用时长,同时做平曲线获得收益也相对理想,多轮次交易及较短的持续时间可大大降低在持券过程中遇到的价格波动风险。进一步观察80%入场+60%退场组的表现来观察,因此应尽量避免在熊市周期中进行做平曲线的操作。
![]()
同时,我们还考虑了将回溯窗宽缩短至3年的情景。与5年窗口期的情况相比,当我们仅看过去3年的利差分位数时,整体的中枢与运行带宽会出现较大波动,在观测分位数变化时,更容易达到入场条件与退场条件,策略也会进行更多轮次的操作。两种窗口设置的相似点在于,当我们把入场条件设置为90%~95%的较高分位数时,策略的触发次数会明显下降,尽管利差肥尾的分布特性可以为单轮次带来更多收益,但由于其恢复到收敛分位数的耗时较长,期间的价格波动风险也相应偏高。在做陡曲线方面,我们同样构建了25个回测组合,与做平曲线的操作类似,设置了5个低利差标准作为入场准则,即利差向下突破历史5%、10%、15%、20%及25%分位数,并等待利差上行放大至历史的40%、45%、50%、55%及60%分位点作为利差回归中枢的退出信号。从结果上来看,以20%~25%的分位数作为入场的准则可以获得更高的单轮次收益或更多的交易机会。
值得留意的是,在做陡曲线时,显然期限利差由5%的低分位水平上行至45%中枢水平的过程,相较于由20%分位走阔至45%分位数的过程难度更大,但考虑到两种情形下触发交易的轮次一样(均为两次),后者的平均收益反而比前者会更高一些。
进一步观察对应时期的利率运行特征可以发现,近年来利差的局部低点往往在熊市的中期形成,即在利率上行的过程中,利差常会形成一个V型的底部。在这种情况下,不同组合策略的退场时间相对一致,但更早入场可获得更多做空长端的收益。
![]()
![]()
定量分析过程存在偏差,本报告结果仅供参考;国内货币政策出现超预期调整;流动性超预期收紧;美联储货币政策超预期紧缩。
固收策略大百科系列
之四:新老券利差效应全解析
之三:子弹和哑铃策略实战选择
已外发报告标题:《固收策略大百科之五——期限利差怎么看?》
对外发布时间:2022年9月22日
刘 郁,SAC 执证号:S0260520010001,SFC CE No.BPM217,邮箱:shliuyu@gf.com.cn
田乐蒙,SAC 执证号:S0260520090001,邮箱:tianlemeng@gf.com.cn
![]()
法律声明
请向下滑动参见广发证券股份有限公司有关微信公众平台推送内容的完整法律声明:本微信号推送内容仅供广发证券股份有限公司(下称“广发证券”)客户参考,相关客户须经过广发证券投资者适当性评估程序。其他的任何读者在订阅本微信号前,请自行评估接收相关推送内容的适当性,若使用本微信号推送内容,须寻求专业投资顾问的解读及指导,广发证券不会因订阅本微信号的行为或者收到、阅读本微信号推送内容而视相关人员为客户。
完整的投资观点应以广发证券研究所发布的完整报告为准。完整报告所载资料的来源及观点的出处皆被广发证券认为可靠,但广发证券不对其准确性或完整性做出任何保证,报告内容亦仅供参考。
在任何情况下,本微信号所推送信息或所表述的意见并不构成对任何人的投资建议。除非法律法规有明确规定,在任何情况下广发证券不对因使用本微信号的内容而引致的任何损失承担任何责任。读者不应以本微信号推送内容取代其独立判断或仅根据本微信号推送内容做出决策。
本微信号推送内容仅反映广发证券研究人员于发出完整报告当日的判断,可随时更改且不予通告。
本微信号及其推送内容的版权归广发证券所有,广发证券对本微信号及其推送内容保留一切法律权利。未经广发证券事先书面许可,任何机构或个人不得以任何形式翻版、复制、刊登、转载和引用,否则由此造成的一切不良后果及法律责任由私自翻版、复制、刊登、转载和引用者承担。