预存参会储值卡,享好礼
详情咨询何老师17717827961
无论您是想更好的学习R,还是更好的学习统计,都值得你来收获
用R语言做统计初高级速成分享会
2022/10/22-23 网络分享会 莫速乎教育主办
两天会议的目标是让您具备独立完成R语言统计分析能力。当你搞懂了常用的数据类型、函数、循环与判断、包等几个概念之后,你发现R语言并不难。不仅适合零基础的临床科研工作者,也适合正在进行相关研究的资深临床研究者。
Dr.Joe,国内某三甲医院副主任医师,擅长SPSS、R、SAS等相关统计软件的实操及与临床研究的结合。近三年在Colloids and Surfaces B、J Endod、J Am Dent Assoc、J Dent、Sci Rep等国际权威杂志上发表与参与发表SCI论文10余篇,总影响因子超过30分。开展统计相关培训七十多场,其在统计方面的高深造诣,受到学员的高度好评。以第一发明人身份申请发明专利2项,实用新型专利1项。主持省部级课题一项,参与国自然3项,多年参与大型前瞻性临床人群队列研究的设计与实施,具备与SCI接轨的科研设计与数据处理经验,对现代临床流行病学的临床研究设计与数据处理具有经验,担任国内多个杂志的审稿人。
时间地点:
2022/10/22-23
使用腾讯会议客户端进行在线会议(非录播)
注册费用:3200元/人
R语言统计与其他两天的会合报6000元
可开具会务费、测试费、测序费、检测费、试剂费等发票
缴费账号:
方法一:企业银行转账
收款单位:上海荆麦信息科技中心 开户行:中国建设银行(上海泗泾支行)
银行账号:3100 1983 0100 5002 2781(转账去除空格)
备注:写明姓名+R统计 以便于核实 少数单位需银行行号:105290080036
方法二:支付宝转账
支付宝收款账户:mosuhu@163.com
核对姓名是:上海莫速乎教育投资有限公司
付款备注:写明姓名+R统计 ,便于核实
方法三:信用卡或公务卡支付
微信或支付宝扫描二维码支付,通过信用卡/公务卡扣款
报名后发送付款二维码
付款备注:写明姓名+R统计 ,便于核实
主办单位:
莫速乎科研会议平台(上海莫速乎教育投资有限公司);上海荆麦信息科技中心
报名咨询:
19821036515 莫速乎夏老师(手机/微信);4000-709-739 莫速乎客服热线
加微信发送以下信息:
姓名;邮箱;手机;单位;发票信息(发票抬头、税号、开票内容);在哪里看到会议信息,以免弄错。
有任何疑问,也可直接拨打会务组电话4000-709-739或19821036515 莫速乎夏老师(手机/微信)
临床数据预测模型类论文专题研讨会
报名方式见文末
通过临床预测模型发表论文是目前的热点和未来的趋势,前二十多期推出后受到广大学员的 满满好评,同时也引来了个别同行的模仿,虽然与我们的会议名完全相同,但内容及讲解质量千差万别,无论怎样被模仿,都无法阻挡我们教会学员、保证课程质量 的初心;老师经过近三年的课程优化、实力及讲课通俗易懂、受欢迎程度之热烈,使我们不得不继续举办,以便让学员都能安排时间来参加,欢迎广大学员报名这次超值的会议。
建群老师课后回答学员问题,还收获了粉丝;独家会后发放视频,供学员复习,保证学会;前几期学员已有人发表SCI论文!
会议背景
很多医生临床业务工作繁忙、收病人、写病例、上手术……几乎没有时间去进行做实验、跑电泳等基础科研,也根本不可能完成科研任务,更不用说批量发表SCI论 文。那么在临床任务繁忙几乎没有时间去做科研,同时不写综述、不写Meta分析、不做RCT、不进实验室,如何完成临床医生科研SCI高效输出?如何利用 既往临床大数据资料,成就SCI发表的批量化之路?临床预测模型就是利用临床数据资料发表SCI的套路模板,成为临床科研工作者发表SCI的高效途径。几 乎所有临床问题都可以建立预测模型。
会议特色
线下会议已举办25期,前几期会议受到学员的广泛好评,有些学员参加完后还发表了临床预测模型研究方面的SCI论文;
会议会发放STATA和R软件全套代码,学员无需编程基础,无需相关统计软件SPSS\STATA\R的前期知识,极大降低统计软件的学习成本。案例性教学,注重实战,发放会议素材和案例数据,给学员手把手指导,即便零基础的学员也能轻松学会。
讲师为三甲医院的临床医生,深耕临床预测模型研究十余年,发表此方面的SCI论文十余篇,深谙此方面的写作、投稿及发表技巧。讲师在前几期的会议中,受到学员的广泛好评。
从统计学软件的命令使用到讲师自身经验分享,两天会议让你具备独立完成临床预测/预后模型课题研究的能力。本会议旨在通过案例性讲解预测模型类论文的具体操作方法,帮助临床医生开启临床数据科研的SCI发表之路。
主办单位
学习目标
通过两天的学习,使学员掌握临床预测/预后模型的选题、数据收集、数据清洗、统计建模、模型验证、撰写方法、投稿及应对审稿人问题,最终可以独立完成临床预测/预后模型课题研究和论文撰写发表的能力。
内容安排
具体根据学员接收情况有稍许调整。
第一天上午:08:30--12:00
一、如何利用现有临床数据快速发表SCI论著?(构思一个故事、获得一个灵感、挖掘一个SCI创作点)
1、面对巨大科研压力,三无小医生(无钱、无时间、无精力)如何快速发表SCI.
2、不做实验、不做RCT,临床小医生如何做到批量化有SCI文章在写?在投?在发表?(三驾马车套路让你受益终身)
3、一线SCI实战的研究思路是你快速发表SCI的不二法门
二、深度完美剖析一篇26分SCI临床预测模型完整流程
1、临床预测模型有关基本概念与核心本质是什么?
2、古有曹植七步成诗,今有讲师七步成文(临床小医生必备的临床研究预测模型的构建思路)
3、Discrimination\calibration\clinical utility analysis分别是什么?万用Flowchart 流程图模板
4、临床预测SCI论文撰写模板(完型填空)和一线实战经验
第一天下午:13:30--17:00
一、快速掌握预测模型构建神器STATA\R软件
1、熟练应用SPSS,手把手让你快速学会STATA\R,无需相关统计软件的前期知识。
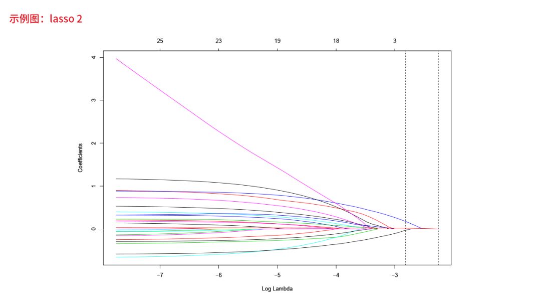
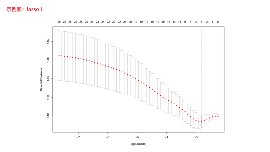
2、全程实战数据现场演示特征筛选、变量选择中三大法宝(逐步法、最优子集、Lasso);模型评价中的三大法宝(AIC\BIC\Adjr2)。
3、发放STATA和R软件全套代码(形成2张Table,5张Figure),学员无需编程基础,对号入座,极大降低统计软件的学习成本。
二、反复练习掌握Liner\Logistic\Cox回归构建预测模型的策略
1、实战经验告知你不同类别预测模型构建的关键点、侧重点、闪光点
2、以问题为导向的案例式教学,帮你快速厘清建模时的哑变量、交互作用、调整作用、混杂因素、独立作用、阈值作用……
第二天上午:08:30--12:00
一、实战临床预测模型-验证部分实战课
1、快速实战体会什么是内部验证和外部验证?模型的可重复性Reproducibility,Cross-Validation、Bootstrap 验证等方法?如何体现模型的外推性(generalizability)?
2、2个以上模型比较的套路流程与模型改进思路
二、实战经验分析二分类结局(logistic回归)与time-to-event数据(COX回归)的similar与dissimilar
1、模型改进验证特点
2、快速理解NRI\IDI等最新评价指标
第二天下午:13:30--17:00
一、来自实战的数据,手把手的教你结构化的研究方式,利用STATA、R编程,每一个学员都能亲自独立完成基本的临床预测模型研究。(DCA分析结果、Nomogram图的制作代码等)
二、临床预测模型国际指南(TRIPOD)详细解读
三、既往学员的案例示范讨论,经典预测模型高分文章解析,回复审稿人问题的技巧,国际上喜欢刊登临床预测模型文章的期刊分析,开拓你的眼界……
可达到的目标
预测/预后模型的构建原则,尤其是参数化预测模型在临床问题转化为科学问题中对SCI发表的重要作用;
不同预测模型验证评价的标化思路及具体软件(SPSS\R\STATA)操作步骤;
利用影响/危险因素筛选、混杂因素调整的思路形成SCI论文的写作套路;
临床预测模型的建立验证及应用,包括验证、改进既有模型的思路及方法;
预测及预后模型的具体操作方法、操作技术问题及统计分析与结果解读;
从临床研究中常碰到的问题出发去设计和开展预测研究,建立预测/预后模型,并验证此模型的准确性;
独立完成此类SCI论文的撰写和发表;
示例图
时间地点
第44期 2022/10/22-23
使用腾讯会议客户端进行在线会议(非录播)
注册费用
3200元/人
临床预测模型与R统计合报6000元
可开具会务费、数据分析费、测序费、检测费、试剂费等发票
报名咨询
19821036515 莫速乎夏老师(手机/微信),4000-709-739 莫速乎客服热线
缴费账号
方法一:企业银行转账
收款单位:上海荆麦信息科技中心
开户行:中国建设银行上海泗泾支行
银行账号:3100 1983 0100 5002 2781(转账去空格)
少数单位需银行行号:105290080036
备注:写明姓名+临床预测 以便于核实
方法二:支付宝转账
支付宝收款账户:mosuhu@163.com
请核对户名:上海莫速乎教育投资有限公司
备注:写明姓名+临床预测 以便于核实
方法三:信用卡或公务卡支付
微信或支付宝扫描二维码支付,通过信用卡/公务卡扣款
报名后发送付款二维码
付款备注:写明姓名+临床预测,便于核实
微信报名
加微信发送以下信息:
姓名;邮箱;手机;单位;发票信息(发票抬头、税号、开票内容);在哪里看到会议信息,以免弄错。
如有任何疑问,也可直接拨打会务组电话4000-709-739或19821036515 莫速乎夏老师。
更多会议信息,请扫码关注公众号:
| 1 | SCI插图规范化操作研讨会 |
| 2 | 科研图表专题研讨会 |
| 3 | 用R语言做统计分析初高级会议 |
| 4 | 用生信热点发表3-5分生信热点文章 |
| 5 | 独创“金字塔式”SCI论文写作研习会 |
| 6 | 国家自然基金撰写经验分享会 |
| 7 | 国自然基金写作话术手把手指导提高会议 |
| 8 | 国自然基金撰写一对一指导训练营 |
| 9 | 临床数据预测模型类论文专题研讨会 |
| 10 | Python与临床公共数据挖掘专题研讨会 |
| 11 | 机器学习生存分析2.0:深度学习生存分析专题会 |
| 12 | 利用公共数据库将单细胞与空间转录组结合发表5分以上SCI |
| 13 | 系统评价与meta分析实战速成研讨会 |
| 14 | R语言混合效应模型高级研讨会 |
| 15 | 中药网络药理学、分子对接进行数据挖掘发表SCI |
| 16 | CRISPR/Cas9基因编辑技术专题研讨会 |
| 17 | 文献计量学适合各个学科,综述可以当论著发表 |
| 18 | SNP相关数据分析、论文写作和课题设计 |
| 19 | 肠道菌群机制研究及国自然课题设计专题会 |
| 20 | 零基础快速上手影像组学与Python研讨会 |
| 21 | 肿瘤微环境、免疫浸润分析公共数据库生信挖掘实操 |
| 22 | 数据分析之SPSS统计思维实战专题会 |
| 23 | 医学专利申请及转化细节精讲会 |
| 24 | 肿瘤微环境和免疫治疗课题思路及热点分析专题会 |
| 25 | 临床科研设计高级研讨会 |
| 26 | 外泌体与非编码RNA课题设计及数据分析工具实操 |
| 27 | 肿瘤耐药机制研究及热点方向思路设计专题会 |