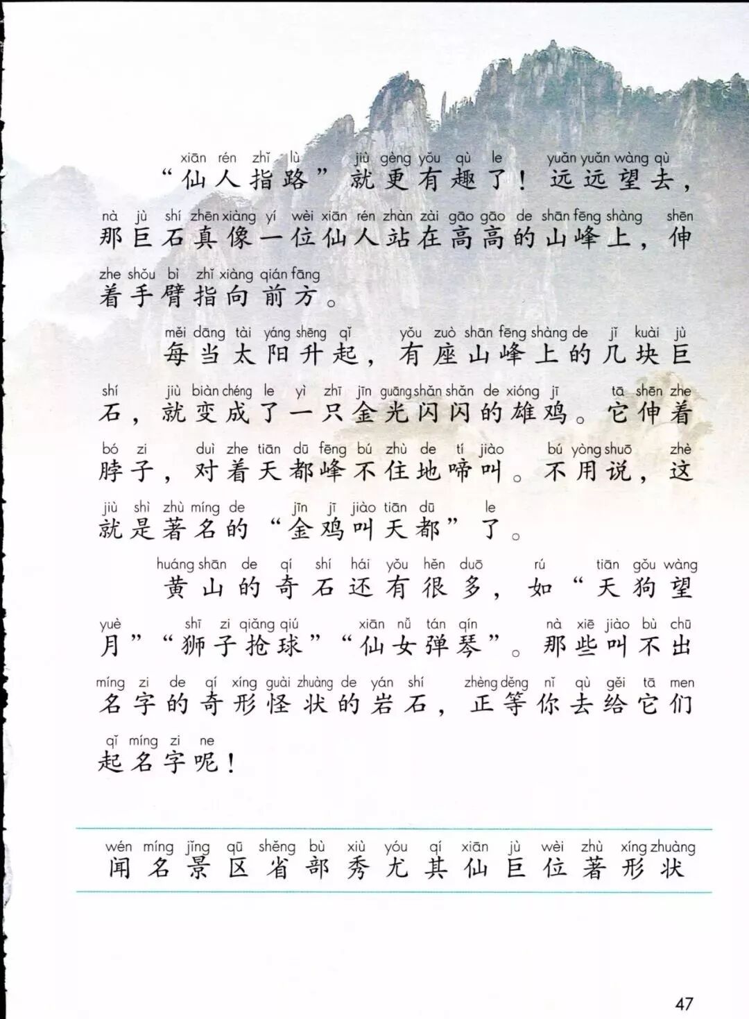
部编二年级语文(上册)高清电子课本

燕语文