![]()
锂离子电池阴极材料中,与传统的插层阴极相比,I2阴极具有许多优点,如211 mAh g-1的高容量、低成本和环境友好。最重要的是,中间产物(I3-),即多碘化物,在液体电解质中的高溶解度可以促进I2阴极的快速电化学反应。![]()
这种现象为液体LIB提供了卓越的速率能力和长循环寿命。然而,在充电过程中,溶解的多碘化物会不受控制地扩散到阳极,造成严重的锂腐蚀和低的库仑效率。在液体LIB中,多碘化物的穿梭是不可避免的。此外,安全问题,如与液体电解质相关的泄漏、火灾和爆炸,对液体锂离子电池的应用构成了巨大挑战。基于不可燃固态电解质的全固态LIB可以同时解决多碘化物的穿梭问题和液体LIB的安全问题。与液体LIB中的两步多碘化学反应相反,在传统的固态LIB中,I2阴极在放电时进行一步I2/I-氧化还原反应。然而,如图1a所示,固相转化导致反应动力学迟缓,电池的充电能力差。其次,固/固界面接触差和固态电解质的不稳定性导致电池的内阻很大。因此,为了实现可充电和高性能的全固态LIB,消除传统的固相反应路径是至关重要的,应该设计一种具有快速动力学和高可逆性的新电池化学。
![]()
图1. (a)一次全固态LIB和(b)可充电全固态LIB中正极/电解质界面上的反应机理。在初级全固态锂离子电池中,I2和I-之间的固相转换过程具有迟缓的动力学特性,导致电池的可充电性差。在本工作提出的可充电全固态锂离子电池中,通过封闭式溶解策略实现了具有快速动力学和高可逆性的两步多碘化物化学。多碘化物可以很好地溶解在分散层中,但它们的穿梭被阻挡层所避免。在放电过程中,I5-首先被放电成I3-,然后是I-。充电过程遵循从I-到I3-最后到I5-的转换反应。I2接受来自KB的电子,形成I5-,然后溶解在分散层中。
本工作通过使用 "封闭式溶解 "策略,在全固态LIB中实现了一种全新的、令人满意的电池化学特性。该策略的核心思想是在I2阴极附近的有限空间内将多碘化物的溶解局部化。同时,多碘化物向阳极一侧的穿梭被完全阻断。如图1b所示,我们精心设计了一种由分散层和阻断层组成的混合电解质。作为分散层的聚环氧乙烷(PEO)可以在很大程度上溶解放电/充电过程中产生的多碘化物,从而促进快速和高度可逆的多碘化物化学。采用单一的锂离子导体Li1.5Al0.5Ge1.5(PO4)3 (LAGP)作为阻挡层,有效避免了多碘化物的穿梭效应。此外,PEO分散层具有低杨氏模量。这可以在固体电解质和固体I2阴极之间提供一个紧密的接触,促进锂离子在电池内的便捷传输。因此,通过采用这种混合电解质结构,成功地诱导了多碘化物的氧化还原反应。鉴于快速而稳定的多碘化物氧化反应,全固态锂离子电池表现出卓越的电化学性能和高安全性,在需要长循环寿命和高安全性的能源储存方面显示出巨大的应用前景。I2阴极的特征和电化学行为
![]()
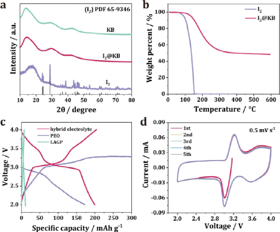
图2.I2@KB正极的表征及其电化学性能。
在液体电池中,I2阴极遭受严重的穿梭效应,因为多碘化物很容易溶解在液体电解质中。在此,采用了由PEO(分散层)和LAGP(阻断层)组成的混合电解质,使多碘化物在I2阴极附近局部溶解。为了改善混合电解质和金属锂之间的接触,在LAGP/Li界面上还引入了一层薄的PEO。从图2c可以看出,基于混合电解质的全固态LIB表现出100%的理想库仑效率,其容量约为200 mAh g-1,接近I2阴极的理论值(211 mAh g-1)。作为对比,没有分散层,全固态LIB只能提供10 mAh g-1的容量。这可能是由于I2/I-固体转换缓慢,以及LAGP和固体电极之间的界面接触不良。相比之下,没有阻隔层的电池在3.25V时显示出一个无尽的充电平台,类似于液体LIB中的情况。这一现象表明,由于缺乏阻挡层,在充电过程中产生的多碘化物不受控制地在阴极和阳极之间来回穿梭,从而导致了低的铌效率。上述结果有力地证明了多碘化物的密闭溶解对全固态锂离子电池实现高容量和理想的CE起着重要作用。
有趣的是,全固态LIB的放电曲线在3V和3.6V处分别显示出两个明显的平台,而不是之前固态LIB中报告的单一斜率。这表明在混合电解质的推动下,全固态锂离子电池出现了新的电池化学特性。循环伏安法(CV)的结果也证实了一个两步反应过程(图2d)。观察到两对氧化还原对,分别位于3.6/3.65 V和3/3.2 V。位于3/3.2 V的一对峰值可归因于液体锂离子电池中普遍报道的I3-/I-氧化还原对。而在更高电压(3.6/3.65V)的另一对氧化还原对很可能是对应于I5-/I3-。从第二到第五个周期,CV曲线完全相互重叠,这意味着电池的高度可逆和稳定的电化学过程。全固态LIB的反应机制
![]()
图3. 全固态LIB的反应机理研究。
从原位拉曼/XPS结果来看,可充电的全固态锂离子电池在电化学过程中的两步反应机制为:
![]()
EIS结果证明了全固态LIB的稳定和可逆的电化学过程。
电化学性能
![]()
图4. 全固态LIB的电化学性能。
虽然LAGP阻隔层在室温下具有很高的离子传导性,但它与I2@KB阴极之间的高界面电阻将严重限制锂离子的传输,从而导致基于LAGP电解质的电池几乎没有容量。具有弹性特性的PEO同时作为分散层和缓冲层,可以大大改善LAGP和I2@KB阴极之间的界面接触。因此,基于混合电解质的电池在30℃时显示出约85 mAh g-1的容量。因此,电化学性能测试是在60℃下进行的,以获得更好的离子转移动力学。在速率性能测试中,电池显示在0.2、0.5、1、2和5C时的比容量分别为180.1、159.9、138.8、117.5和83.2 mAh g-1(图4a)。当电流转回0.5C时,比容量可以恢复到158.8 mAh g-1。鉴于全固态LIB表现出优异的速率能力和高可逆性,我们进行了1C的高速率放电/充电循环测试,以验证其超长的循环寿命。该电池稳定地循环了9000次,持续了1年多,并保持了112.9 mAh g-1的高比容量,容量保持率高达84.1%,平均库伦效率高达99.8%(图4b)。即使在静止3天后,该电池仍然可以显示出很高的性能。如此出色的长期循环稳定性应归功于多碘化物的成功封闭溶解。经过长期循环,光谱测试表明没有聚碘化物移动到阳极一侧。作为比较,液体电解质的LIB在第一次充电过程中显示出无尽的充电行为,表明穿梭的多碘化物和金属锂之间有严重的副反应。这可能会导致严重的锂阳极腐蚀和循环过程中的容量下降。仅仅在100个循环内就可以观察到快速的放电容量从101 mAh g-1下降到56 mAh g-1。CE也从85.3%迅速下降到47.7%。这些结果提供了强有力的证据,表明在全固态LIB中实现的多碘化物的封闭溶解对于实现卓越的循环稳定性至关重要。反应动力学和离子传输
![]()
图5. 全固态LIB的反应动力学与锂离子传输特性。
经计算,I3-/I-氧化反应偶的氧化/还原过程的b值为0.78和0.8,而I5-/I3-氧化反应偶的相应值为0.94和0.79。因此,I3-/I-和I5-/I3-的氧化还原反应是由离子扩散和类似电容的行为共同控制。这种氧化还原反应的电容性贡献在液体锂离子电池中被广泛报道,它促进了低电压差和全固态锂离子电池的卓越速率能力。在PEO/LAGP界面的存在下,与LAGP相比,混合电解质的活化能仅略微增加到0.456 eV,并且该值大大低于PEO的活化能(0.861 eV)。这一结果表明,溶解层对锂离子传输的影响很小。然后,进行了二维核磁共振交换实验来研究混合电解质内的锂离子交换。证明了PEO和LAGP之间快速和自发的锂离子传输。混合电解质的合理设计在全固态LIB中实现快速的多碘化物反应动力学和便捷的锂离子传输方面发挥了重要作用。
通过使用精心设计的混合电解质促成的封闭式溶解策略,在全固态LIB中成功诱导了新的多碘化物化学反应。分散层促进了快速和高度可逆的氧化还原反应,而阻隔层有效地将多碘化物的溶解定位在I2阴极附近。原位拉曼结果显示,在充/放电过程中,由I5-/I3-和I3-/I-氧化还原对实现了两步多碘化物反应,而不是传统的一步固相反应(I2/I-)。正如CV、NMR和EIS结果所证明的,快速的反应动力学和便捷的锂离子传输也得以实现。因此,该电池表现出较高的电能效率,优良的速率性能,以及超过9000次的长循环寿命,在1C条件下容量保持率为84.1%。此外,该电池显示出高安全性和卓越的高温性能。这项工作证明了全固态LIB在需要高容量和高安全性的储能方面有很大的应用潜力,并为开发新型可充电全固态电池开辟了一条新的途径。
Achieving long cycle life for all-solid-state rechargeable Li-I2 battery by a confined dissolution strategy
Nature Communications ( IF 14.919 ) Pub Date : 2022-01-10 , DOI: 10.1038/s41467-021-27728-0
Zhu Cheng, Hui Pan, Fan Li, Chun Duan, Hang Liu, Hanyun Zhong, Chuanchao Sheng, Guangjin Hou, Ping He, Haoshen Zhou