锂离子电池的预锂化技术
锂电前沿
锂电前沿
微信号
lidianqy
功能介绍
专注储能材料领域、传播科技知识,分享锂电技术与资讯
发表于
收录于合集
锂离子电池(LIBs)由于具备高能量密度、高工作电压和无记忆效应等特点成为广泛应用的电化学储能系统之一,其常用的石墨负极由于容量相对较低(372 mAh g
-1
)而难以完全满足日益提升的市场需求。
在过去几十年中,研究人员提出了多种新型负极材料,这些材料通常表现出理想的电势范围、更高的容量、优异的倍率性能以及长的循环寿命等优势,但具有初始活性锂损失较大(ALL)这一不足。
因此,在全电池组装之前,如何消除ALL对实现高性能LIBs来说至关重要。
在近几年发展过程中,用于下一代LIBs的新型负极材料逐渐开始商业化,因此对消除ALL至关重要的预锂化技术研究成为一个重要的研究方向。
【工作介绍】
近日,
同济大学郑俊生副研究员联合纽约州立大学布法罗分校郑剑平教授
在国际顶级期刊Advanced Science上综述了预锂化技术的研究进展,金黎明博士研究生为本文第一作者。该综述首先从理论上阐述了引起负极容量损失的主要原因及其对全电池性能的影响,然后总结、分类和详细比较了解决此类问题的各种预锂化技术的优劣势,对具有代表性的电化学预嵌锂策略的研究进展进行了详细的综述,最后对当前预锂化技术面临的挑战进行了系统的分析和展望。这个综述从新的视角重新评估预锂化技术的重要性,比较已经提出的预锂化技术,为后续锂离子电池预锂化技术的研究提出研究方向。
【内容表述】
1.负极高初始活性锂损失的起因
负极的高初始ALL发生在前几个循环中,库伦效率较低(CE < 100%),这表明负极中残留了一些Li
+
,导致LIBs中可循环的Li
+
数量下降。当与正极匹配时,减少的可循环Li
+
将不可避免地导致整个电池的能量密度降低。图1显示了负极材料典型的嵌入/插入、转化和合金化锂存储机制,这些材料主要表现出相对较低的电势,且其容量比商业化石墨和Li
4
Ti
5
O
12
高得多,但这些材料的首圈库伦效率通常是低于80%,导致较低的库伦效率机制,负极初始ALL的原因通常可分为SEI的形成、活性材料材料的损失以及死锂的出现等。
图1. 典型的锂离子电池负极材料及其电化学性能
图2. 负极初始活性锂的损失对锂离子电池能量密度的影响
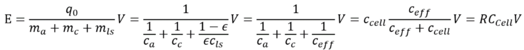
2. 负极活性锂损失的影响
在实际应用的LIBs中,一些可循环的Li
+
被消耗用于负极表面上形成SEI,导致首圈较低的CE,进而导致电池的快速容量衰减。图2所示,这个过程中电极的可逆容量没有降低,当将额外的锂源添加到系统中时,电池的比容量将恢复到到理想情况。引入额外的锂源将抵消预嵌锂带来的特定能量增益,通过理论计算分析详细阐明较高的初始ALL对全电池比容量损失的影响,可得出基于负极、正极和锂源总质量的比能为
图2显示了不同的额外锂源对比能的影响。展现出对于初始CE分别为50%、70%和90%的不同负极的锂源,R关于锂源(c
ls
)比容量函数。可看出,随着c
ls
的增加,R因子增加,而CE的降低将导致R因子的较低。还可看出,当c
ls
大于c
c
时,需要使用锂源能够有效地提高能量密度,这些结果的分析针对不同的体系可以加入更详细的参数。
3. 负极中加入锂源
初始ALL是由负极上不可逆的电化学过程引起的,因此消除初始ALL最直接策略是在与正极配对之前通过电化学和/化学策略制备预嵌锂的负极。针对正极策略可分为三类:图3所示的半电池电化学法(HC-EM),短路电化学法(SC-EM)和化学方法(CM)。在负极预嵌锂之后,可很好地解决初始ALL大的问题,且整个电池首圈库伦效率能够得到有效地提升。
图3. 典型的预嵌锂策略示意图。
3.1 HC-EM
HC-EM是实验室研究中广泛使用的预锂化策略,可通过在构造由所需的负极材料作为正极和锂金属作为负极的半电池结构来实现。预嵌锂完成后,将预嵌锂的负极从半电池上拆下与正极重组装成全电池。该策略最重要的优点是实验室规模的简化,可通过电流以及预嵌锂后的电压终止来控制。
3.2 SE-EM
为避免HC-EM引起的复杂操作和电解质的大量使用,提出使负极直接与锂金属箔接触策略,预嵌锂的终点由可在整个过程中的电池电压或者预嵌锂时间确定。与HC-EM相比,SC-EM不仅可以在预嵌锂过程中在表面上生成具有非常相似特性的SEI,而且不会牺牲负极的结构稳定性。
3.3 CM
近年来提出了各种化学方法来直接生产预嵌锂材料作为负极候选物与正极匹配,并且预嵌锂结果比电化学预嵌锂策略的产品更稳定。但对于这种方法获得的预嵌锂负极材料的电极制备是非常困难的,由于预嵌锂负极材料具有很高的化学活性,必须使用无水溶剂并在干燥的气氛中进行。与HC-EM和SC-EM相似,由于预锂化负极的化学性质不稳定,CM仍然需要干燥的气氛才能组装整个电池。因此,在负极中加入锂源的方法都面临严苛条件的挑战,这将不可避免地增加制造成本。
3.2 正极中的加入锂源
预嵌锂负极的高反应性无法得到有效解决,使得规模化的应用难以实现。因此,研究人员在将锂源预置到正极方面也做了很多努力,以此来缓解首圈充电过程中的初始ALL(图4D)。在这种策略下,所有方法主要可分为两大类,即用额外的Li
+
(OL-C)制备预嵌锂正极材料或在正极中添加含锂的添加剂LA-C,以减少初始ALL。
3.2.1 OL-C
过度预嵌锂的正极(也称为“锂储存器”)是指充电过程中会释放额外Li
+
以减轻首圈充电过程中初始ALL的材料。过度预嵌锂的负极材料可以传递更多的Li
+
,且这些Li
+
存储在未占据的晶体学位置中。表4所示,如典型的正极材料Li
1+x
Mn
2
O
4
、Li
1+x
Mn
1.5
Ni
0.5
O
4
和Li
3+x
V
2
(PO
4
)
3
等。Li
1+x
Mn
1.5
Ni
0.5
O
4
是一种新型的过度预嵌锂的正极材料,可以在低于3 V的电势下存储多余的Li
+
。OL-C可自己提供额外的Li
+
,以减轻首圈充电过程中的初始ALL,即无需在负极中添加额外的材料(重量)以降低器件的能量密度。但OL-C提供Li的能力相对较低,无法完全减轻负极的初始ALL,这限制了其在LIBs中的应用领域。
图4. 正极预锂化过程及其对锂离子电池性能的影响
3.2.2 LA-C
LA-C材料需要满足以下几个方面的特征。首先,按重量和体积计,良好的正极添加剂应比现有的正极材料具有更高的锂存储容量;其次,添加剂的充电电位必须低于正极最高电位,而添加剂的放电电位必须低于最小正极放电电位;第三,正极预嵌锂添加剂不应对电极材料、电解质和整个电池的稳定性产生负面影响;第四,正极预嵌锂添加剂应在环境条件下稳定,并与现有的工业电池制造工艺兼容。与OL-C相比,LA-C具有相对较高的容量以少正极的质量,但是,释放Li
+
后,剩余的材料将会是惰性材料,甚至是绝缘材料,这对系统的比容量具有负面影响。
3.3 牺牲电极方法
目前正极和负极的预锂化方法仍然面临化学不稳定性的问题,阻碍了其实际应用。因此提出了在电池制造过程中加入锂源的方法。在这种方法中,先将未预嵌锂的负极、正极和隔膜组装成一个电池,然后将锂金属箔固定在电池的最边上。当锂金属与未预嵌锂的负极连接时,对负极的预嵌锂开始,如图7所示。这种方法对于预嵌锂是相对实用的,其中可以通过负极的电势很好地控制嵌锂程度,同时可以在整个预嵌锂过程中保持电极的完整性,且只需在干燥室中执行一个组装金属箔的步骤即可。但是仍有一些问题需要解决:预锂化效率低,即完全预锂化需要较长的时间,并且具有通孔的电极显着增加了电池的成本,同时各个电极的嵌锂度不均匀,因此需要较长的时间来平衡嵌锂度。
图5. 牺牲电极的预锂化方法
3.4 加入额外的锂源
除了以上方法,加入额外的锂源也是一种有效的方法,能够实现高效的预嵌锂,而无需使用通孔电极。FMC Corporation(美国)生产的稳定的锂金属粉末(SLMP),是一种特殊的锂源,其粒径为10 – 20 µm,可以在干燥空气中安全地处理。预嵌锂过程,由于惰性的Li
2
CO
3
涂层,SLMP和电解质之间的反应得以最小化。SLMP可用作锂源,以在压力激活后实现预嵌锂。但由于颗粒很小,在电池制造过程中很难在电极上实现实用水平的均匀分散,这促使研究人员寻找将SLMP结合到电极中的更好方法。在实际应用中,使用额外锂源的方法被认为是具操作性的预锂化工艺。但是,仍然存在一些挑战:i)尽管提出了几种分散的方法,但SLMP的分散性问题仍未得到解决;ii)由于SLMP的纯度相对较低(< 98%),该方法相对容易引起短路;iii)粒径小的SLMP难以控制,并且具有爆炸的隐患;iv)与SLMP相比,超薄锂膜是更好的选择,但对于大规模生产仍然不切实际。
图6. 加入额外锂源的预锂化方法
3.5 各种代表性的预锂化策略的比较
本文仔细总结了四种类型的预锂化策略,即负极中加入锂源、正极中加入锂源、牺牲电极法和加入额外的锂源等。图7仔细比较了这些预锂化策略所需的操作条件,可控制性,实用化潜力以及对全电池能量密度的影响的主要属性。总的来说,所有当前的预锂化策略仍然面临着不同挑战。负极中加入锂源具有出色的可控性,并且对全电池的能量密度没有负面影响,因此适合在实验室研究中使用。锂化负极和负极材料对水非常敏感,因此在所有制造过程中都需要严格的组装条件,并且难以实现大规模的应用。但如果可解决化学嵌锂材料对水的敏感性问题,则负极中加入锂源的策略仍具有商业应用的潜力。
图7. 常见的预锂化方法的对比
【展望】
本文在总结了常见预锂化技术的基础上,重新评估预锂化策略对下一代LIBs的重要性,由于当前的预锂化策略在实际应用中具有多个瓶颈,因此作者总结了一些可能突破的方向:
4.1 负极中加入锂源
可以通过三种方法将锂源预置到负极中,即HC-EM,DC-EM和CM。HC-EM是利用半电池制备预嵌锂负极与正极配对以进行全电池电化学评估的有效方法。DC-EM也可以起到与HC-EM相同的作用。与这两种策略相比,CM具有更大的实际应用潜力,但是前提是应解决预嵌锂负极材料的化学稳定性。
4.2 正极中加入锂源
这种方法在实际应用中是减轻初始ALL的一种有效的策略。但锂源应同时满足几个要求,即化学稳定性、高容量、合适的电势范围以及良好的电导率。另外,当使用这种方法时,需要仔细设计和测试电极的微结构。
4.3 牺牲电极法
此方法已在LICs制造中广泛使用,但在LIBs领域中并未广泛使用。电池电极的容量与LICs相比高出几倍,并且电极匹配良好,预嵌锂需要处理应更加均匀和准确,以确保安全循环。因此,有必要仔细控制预嵌锂程度和预嵌锂速率,这涉及集流体和电极上的孔密度和孔径设计,离子扩散至平衡所需的静置时间优化以及其他详细的参数优化。
4.4 额外的锂源
SLMP的小粒径和相对较低的纯度(< 98%)给涂覆和组装带来一些困难,并对电化学性能产生负面影响。为与LICs预嵌锂策略进行比较,介绍四种不同类型锂源结构,即SLMP、厚锂条、薄锂箔和带针孔的薄锂箔。薄薄的锂箔上的针孔可帮助电解质流向电极,并使气体从电极溢出。与使用SLMP相比,使用锂箔进行预嵌锂可以制造出效率更高,更安全的电池,并且由于Li
+
来自锂表面,因此锂源(例如SLMP)的高表面积导致了较高的预嵌锂率。但用于LICs的锂箔厚度为15 mm或更厚,由于工业上的巨大生产困难,其仍不足以进行预嵌锂。较薄锂箔(< 10 um)的商业化是该方法实现实际应用前提之一。
Liming Jin, et al. Pre-lithiation Strategies for Next-Generation Practical Lithium-Ion Batteries, Advanced Science, 2021, DOI:10.1002/advs.202005031.
Liming Jin, Junsheng Zheng, Jim P. Zheng. Theoretically Quantifying the Effect of Pre-Lithiation on Energy Density of Li-Ion Batteries[J].
Journal of The Electrochemical Society,
2021, 168(1): 010532.
通讯
作者简介:
郑俊生,
同济大学汽车学院副研究员,博士生导师。主要研究方向为锂离子电池,锂离子电容器和燃料电池。相关研究成果已在Advanced Materials,Energy & Environmental Science,Advanced Science,Journal of Power Sources等国际知名学术期刊上发表学术论文30余篇,授权国家发明专利10余项。
郑剑平,
美国纽约州立大学布法罗分校SUNY Empire Innovation教授,美国National Academy of Inventors Fellow,主要研究方法为能源储存材料与器件,包括锂离子电池,超级电容器,燃料电池等,发表相关学术论文超过170余篇。
预览时标签不可点
微信扫一扫
关注该公众号
知道了
微信扫一扫
使用小程序
取消
允许
取消
允许
:
,
。
视频
小程序
赞
,轻点两下取消赞
在看
,轻点两下取消在看