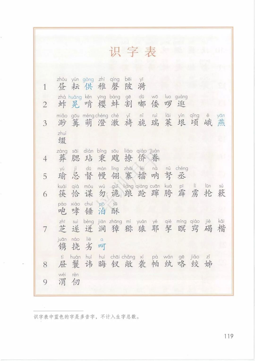
预习 | 2020春部编五年级语文(下册)生字字帖(带拼音笔顺可下载)

i小学