![]()
MammaPrint是针对早期乳腺癌患者的70基因检测产品,主要作用是提示患者的5年复发风险及指导早期乳腺癌治疗决策,辅助甄别是否需要化疗。目前已经被国际多个权威指南和专家共识收录的1A级临床诊断工具,2019年也被纳入国内CSCO BC(中国临床肿瘤学会乳腺癌诊疗指南)及中国抗癌协会乳腺癌诊疗指南。2016年发表于NEJM杂志上的前瞻性、随机、多中心的临床试验MINDACT验证了70基因的准确性。目前,MammaPrint是验证最严谨的多基因检测,可为临床高风险乳腺癌患者安全避免化疗,并且首次且唯一识别出LN1-3队列化疗无获益的前瞻性、随机数据。2020年的ASCO公布了基于70基因检测的MINDACT研究的随访数据,进一步加持MammaPrint的检测价值。此外,多项研究也探索了在临床低风险的早期乳腺癌患者中MammaPrint的应用价值,今天就带大家一起来梳理一下。在2017 ESMO大会上 , Abstract 4208 / 157PD研究中,报道了RASTER临床试验10年随访更新,使用MammaPrint针对临床低风险的早期乳腺癌患者进行检测。结果显示:无论基因风险高低,5年的DRFI(无复发间期)是一致的;然而5年后的生存率有显著差异,基因低风险10年DRFI为94.4%,基因高风险10年的DRFI为85.5%。![]()
因此,在临床低风险患者中,MammaPrint可提示基因低风险与高风险患者的5年后的生存率。目前针对这部分患者后期化疗组和不化疗组的还没有达到10年随访时间,所以没有NCCN指南审批的资料,建议酌情化疗(用药方案及剂量遵医嘱)。MammaPrint提示临床低风险的小肿瘤亚组的患者是否需要增加化疗
![]()
在2017 ESMO Abstract 150O研究中,研究者回顾性分析了MINDACT临床研究的数据,从中筛选出淋巴结阴性的患者,分为T1a-b组(肿瘤小于1cm)和T1c-T2-T3组(肿瘤大于1cm)。结果显示:临床低风险但基因高风险的小肿瘤患者T1a-b,化疗亚组DMFS(无远端转移生存期)优于未化疗亚组,5年的DMFS差异为5.9%。因此,基于此研究,临床低风险的小肿瘤患者,若MammaPrint检测结果为“基因高风险”需要增加化疗,以保证患者长期获益。MammaPrint极低风险(0.355-1) 可以免除内分泌治疗
![]()
![]()
![]()
![]()
![]()
![]()
STO-3临床研究的二次分析纳入了652名淋巴结阴性、绝经后患者,进行MammaPrint检测结果显示:377位(58%)为低风险、275位(42%)高风险、98(15%)为极低风险(MammaPrint指数>0.355)。经过20年随访发现,MammaPrint极低危风险患者在接受有限或不接受内分泌治疗的情况下,20年远期复发可能性低,是患者预后良好的最重要指标;基因低风险患者接受内分泌治疗长期获益,而基因极低风险患者接受内分泌治疗,长期获益不明显。因此,MammaPrint极低风险可提示接受有限或不接受内分泌治疗。MammaPrint为21基因中风险患者增加辅助治疗决策的信心
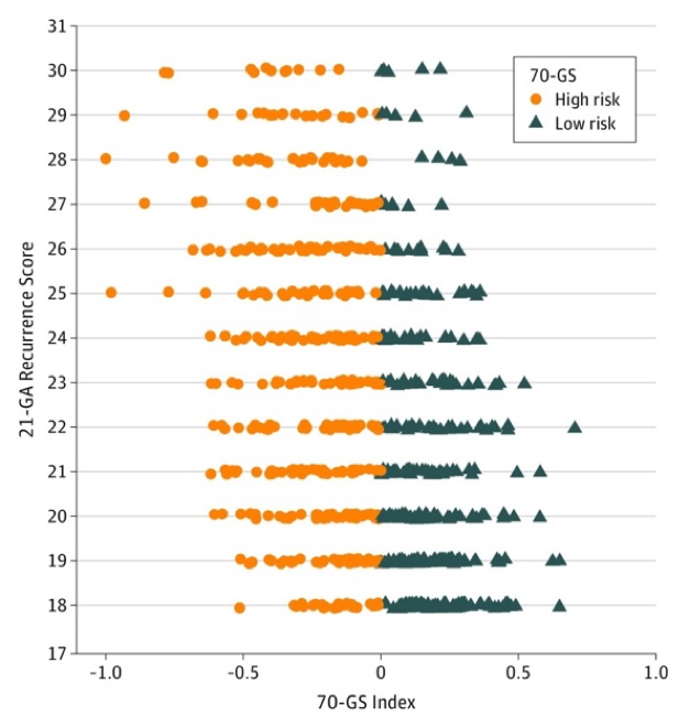
PROMIS研究纳入了840名通过21基因检测为中风险(RS=18-30)的患者。研究人群以临床低风险患者为主:主要是绝经后妇女(平均年龄59岁),88.6%为LN阴性,肿瘤大小T1为75.7%、T2为23.6%,18.7%为低分化,57.0%为中分化,99.9%为ER阳性,97.7%为HER2阴性。这些21基因中度风险的患者,进行70基因检测。![]()
研究结果表明:通过MammaPrint将840例经21基因检测为中风险的患者重新划分为低风险组374例(44.5%),高风险组466例(55.5%)。660例(78.6%)患者的主治医生根据MammaPrint的检测结果改变了其辅助治疗决策,明确治疗方案。
因此,在临床上评估为21基因中风险的乳腺癌患者,无法明确是否加化疗时,可再通过MammaPrint检测进行辅助治疗建议。当然,这部分患者的临床肖像相对固定,也可以直接进行MammaPrint检测。
MammaPrint为Ki67中/高表达的临床低风险患者辅助治疗决策
Ki67是乳腺癌患者非常有价值的预后标志物,正常乳腺组织中,Ki67的表达量很低,如果患者的Ki67的表达量增高,提示患者的预后不良。Ki67比例高的肿瘤往往对化疗敏感,化疗效果好。因此,临床上会将Ki67的表达程度作为是否化疗的一个参考依据。然而,针对Ki67中表达(14%-30%)和高表达(≥30%)的临床低危患者是否需要加化疗?相信很多医生会遇到这样的临床问题,此时需要参考其他的证据来指导治疗决策,而MammaPrint即可解决这一困惑。![]()
CL= 临床低风险, CH= 临床高风险,GL= 基因低风险, GH=基因高风险;
数据显示:在ki67 中/高表达的患者中,有近乎一半(42.8%)的患者为临床低风险,这部分患者是否需要加化疗?通过MammaPrint检测,显示Ki67 中表达的临床低风险的患者中,30.8%为基因高风险;Ki67高表达的临床低风险患者中,56.5%为基因高风险。此部分患者提示复发风险高,结合Ki67中/高表达可酌情增加化疗。因此,在ki67中/高表达且临床低风险的患者中,可以利用MammaPrint进一步检测给以佐证,为是否化疗提供依据,辅助指导治疗决策。1、MammaPrint是Agendia公司推出的一款面对“早期乳腺癌”患者的70基因检测产品,是唯一经FDA510(k)批准、CE认证,且被国际多个权威指南和专家共识收录的1A级临床诊断工具,用于早期浸润性乳腺癌体外诊断检测。2、针对ER阳性,HER2阴性,LN1-3或LN0的临床高危早期乳腺癌患者,MammaPrint是可以为一部分患者安全避免化疗,提供最有效的信息。3、此外,多项研究还探索了MammaPrint在临床低风险的患者中的应用价值:
综上所述:首先,在临床低风险的早期乳腺癌患者中,MammaPrint可提示患者的5年后的复发风险;其次,针对部分特定人群——MammaPrint极低风险患者、小肿瘤患者、MammaPrint结果可指导临床决策;最后,针对部分特殊人群——21基因中风险患者或Ki67中/高表达的临床低危人群等,会使临床治疗产生困惑,无法决策,MammaPrint则可以作为佐证,辅助指导临床决策。当然,MammaPrint在临床低风险人群中的应用价值,仍需在中国人群中进行大型随机前瞻性临床试验验证,进一步明确和探索。1、ESMO 2017, Abstract 4208 / 157PD, Vliek, SB. et al. Poster Presentation.2、Tryfonidis K, et al. 2017 ESMO Abstract 150O.3、Breast Cancer Res Treat. 2017 Nov;166(2):593-601.4、JAMA Oncol. 2018 Jan 11;4(1):e173470致力于癌症、慢病、妇幼等领域的科研成果报道,以及科普知识的传播;关注于肿瘤、妇幼、病理、检验、内科等科室的最新资讯及政策指导;