乳腺癌
为什么需要肿瘤基因检测?
PART1
我国乳腺癌现状
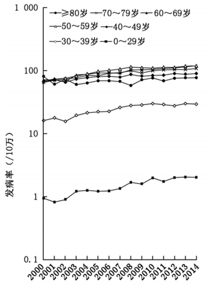
02.乳腺癌各个年龄段的发病趋势
欧、美、日等发达国家自上个世纪末先后制定并推行了女性乳腺癌群体筛查指南,从而将乳腺癌5年生存率提高到89%。中国女性乳腺癌的 5 年生存率为73%,农村地区为55.9%,而美国女性乳腺癌的5年生存率达89%。相比之下,中国女性乳腺癌的防治工作任重道远。
世界卫生组织(WHO)已明确将早期乳腺癌列为可治愈性疾病,早诊早治是提高乳腺癌治愈率的最佳途径。
中国抗癌协会协同国家肿瘤临床医学研究中心组织专家团队先后主持开展了由原国家卫生部牵头的针对城市妇女为主的中央财政转移支付乳腺癌筛查项目、针对农村妇女的国家重大公共卫生“两癌”筛查项目中的乳腺癌筛查项目和中国多中心乳腺癌优化筛查方案研究(MIST)3项女性乳腺癌群体筛查项目。
45~69岁的一般风险女性,推荐进行规律性筛查(A级推荐)
年龄<40 岁的一般风险女性,推荐不接受规律性筛查(C级推荐)
年龄>69 岁的一般风险女性,身体健康且预期寿命>10年,如有意愿,应有机会接受筛查(B级推荐)
乳腺 X 线筛查被证实能有效降低乳腺癌死亡率,因此,推荐其作为一般风险女性的主要乳腺癌筛查方法(A级推荐)
乳腺X线筛查阴性的致密型乳腺女性,补充乳腺超声筛查能够有效地提高乳腺癌检出率,推荐补充乳腺超声筛查(B级推荐)
单独采用乳腺触诊筛查乳腺癌,由于目前证据不充分,尚不推荐。但乳腺触诊对于从未接受乳腺癌筛查的女性,仍有可能提高乳腺癌检出率,因此推荐乳腺触诊作为乳腺影像学筛查之前的初始手段(B级推荐)
推荐乳腺超声筛查用于无早发乳腺癌家族史或不携带有乳腺癌致病性遗传突变的40~44岁的其他乳腺癌高危风险女性的筛查;推荐乳腺X线联合乳腺超声筛查用于45岁以后该类高危风险女性的筛查(B级推荐)
PART2
乳腺癌多基因检测
01.乳腺癌高危风险女性
一个人是不是乳腺癌高危,最关键的就是看家族病史和遗传基因!
02.70岁女性乳腺癌累积风险
携带BRCA1 和 BRCA2 突变的健康女性到 70 岁累积发生乳腺癌的风险分别为37.9%和36.5%,普通女性发生乳腺癌的风险仅为3.6%,相较于普通女性,BRCA1和BRCA2基因突变携带者乳腺癌发病风险提高了10~20倍。
03.BRCA相关的乳腺癌/卵巢癌综合征
04.胚系致病基因导致遗传性肿瘤综合征
04.遗传性乳腺癌或乳腺癌/卵巢癌综合征的遗传模式及胚系致病基因
05.乳腺癌高危风险女性多基因检测
《中国女性乳腺癌筛查指南》
PART3
突变携带者的风险管理
01.BRCA具体检测及风险管理流程
中国乳腺癌患者BRCA1/2基因检测与临床应用专家共识(2018年版)
02.BRCA1/2的遗传检测人群
03.BRCA基因突变携带者随访监测
早期基于受试者家族史区别危险程度的回顾性分析发现,中高危患者采取预防性双侧乳腺切除术可降低约90%的乳腺癌发病风险,其中亚组分析结果显示,其可降低BRCA突变基因携带者85%~ 100%的乳腺癌发病风险。
05.BRCA1/2胚系突变携带者的风险及管理
PART4
总结
乳腺癌是我国女性发病率最高的癌症,发病率呈连续上升趋势,有乳腺癌家族史的女性患癌风险更高,5%~10%的乳腺癌患者具有明确的遗传基因突变;
推荐BRCA1/2、CDH1、PTEN、STK11、TP53、ATM、CHEK2、PALB2、NBN、NF1 等多基因检测;
基因突变携带者后续可以进行随访监测、预防性手术切除、预防性用药。