本文1.8万字,精简版将刊在《北大金融评论》
文 | 邵宇 陈达飞
目录:
一、创新的生命周期
二、S形曲线:创新扩散的标准形态
三、鞍形曲线:考虑微观主体的异质性
四、企鹅效应:精准定位目标客户群
五、客户终身价值模型:核算创新的价值
六、结语
骑在马上的行政长官自言自语道:“为什么我不是部长、内阁首脑或者公爵呢?……如果我是的话,我会给那些创新者戴上枷锁。”没有什么比创造新规则更艰难、遥远、凶险的了。无论何时,反对派一旦有机会,就会毫无保留地攻击创新者,而其他人则谨慎地防御着。创新者腹背受敌。供给侧结构性改革的核心任务是将经济发展动能从要素投入转移到全要素生产率(TFP)的提升上,这是因为,TFP决定了存量要素的使用效率。根据日本一桥大学吴晓鹰教授的核算,以1992年为基准(1992年=100),中国TFP指数在2007年接近120的峰值,而后一路下跌,至今已经跌至1992年的水平(Wu,2018)。从潜在GDP增速来看,中国也是在2007年前后出现了向下的拐点(蔡昉,2014),2008年美国金融危机加速拐点的到来,并延长了中国经济下行的周期。所以,理解供给侧结构性改革,就是要抓住TFP这个关键词。TFP与创新密切相关。一个合宜的方式,是将创新理解为一个过程,将其看作技术周期的一个阶段。范·杜因(1992)将技术变化划分为六个阶段:基础科学、科学发现、发明、开发、创新和创新的扩散。所以,创新是技术周期的末端,始于技术的应用和商业化。本文的目的就是要将创的过程具象化,描述创新扩散的轨迹,并根据客户终身价值模型,建立核算创新产品的价值的一般框架。理解创新产品的扩散路径和内在机制,对于如何缩短引入期、延长增长期和产品的生命周期,寻求新产品在扩散中的停滞不前的解决方案,以及把握一个产品、一个公司或一个行业的价值十分关键。法国社会科学家加布里埃尔·塔尔德(Gabriel Tarde)在1890年出版的《模仿的规律》 中描述了创新——新产品、新观念或新的信仰——发展的一般规律:起初进展缓慢,接下来是迅速的和匀加速的发展,然后发展逐步地减缓下来,直到最后停止。这些就是我们称之为发明或发现的真正社会机体的三个阶段……若统计学家,或更一般地,社会学家以这个法则为指导的话,他们就可以避免许多假象的干扰。塔尔德正是用这个规律来描述新事物的扩散动力学的。在引入期,创新产品的价格一般比较昂贵,配套设施还有待完善,对大众消费者而言,陌生感本身就是一个壁垒。但是,随着营销活动的开展和使用者数量的增加,一旦越过了某个节点,创新产品的市场渗透速度就会快速提升,直至市场成熟、饱和,增长又开始放缓。而后,它有可能被另外一个新事物替代,出现负增长,直至被淘汰。这是因为,每一次通过降低成本、充分利用原材料和劳动力所产生的技术进步,都将阻碍其进一步提高。这种越来越狭小的可能性使许多领域中的技术发展呆滞下来,或完全停止。(Julius Wolf,1912)门施(Mensch)将其成为“技术僵局”。以上所描述的新产品扩散的动力学即使产品生命周期,在几何上,可用“S型曲线”来描述,它表示新产品从引入到市场饱和期间不同阶段增速由慢而快,再由快而慢的动态特征。市场营销中讲的产品生命周期,这个是由乔尔·迪安(Joel Dean)创造的,他将新产品的扩散分为三个阶段:引进、迅速扩散和成熟,周期的长短取决于技术变化率、市场接受速度和竞争者进入的难易程度。实际上,还可用它来描述行业生命周期、经济周期中的长波,乃至国家的兴衰。因为,其背后的驱动因素都是创新。比如,库兹涅茨(Kuznets)就认为,一个国家的长期经济发展是以一系列前后相继的主导部门的拉动为特征的。他考察了五个早期进入工业化的国家——英国、法国、比利时、德国和美国——不同行业的57个生产指标在1850-1924年间增加值的变化,认为S形增长曲线能够很好的描述新兴行业的发展轨迹,经过一定的调整之后,也能够描述衰落行业的情况。他想要论证的是,行业的发展有其生命周期,从快速增长到增速停滞的转换似乎是一种惯性,其背后相互依赖的三个基本力量是:人口增长、需求变化和技术进步(包括经营组织改进),其中,技术进步是主导性力量。按照弗里德曼的说法,理论的价值在于预测的准确性。本文的目的是基于标准的“S形曲线”,提供一个事前(或事中)核算创新的货币价值的分析框架,从微观视角阐述创新扩散的内在逻辑和理论渊源;并利用该框架解释现实中遇到的“鞍型曲线”扩散轨迹,并对标准模型进行修正;最后借助“客户终身价值”模型核算创新的货币价值。本文介绍的框架是工商管理和市场营销学(或传播学)中的标准分析框架,常被用于企业决策,其价值已被实践证明。对S形增长路径的建模最常用的方法是建立对数方程,以描述随着时间的推移,某一变量的变化不仅与其自身有关,还与其增长的极限值有关:为目标序列,为时间(t)的函数;k和A都是常数,𝑦=𝐴表示增长的极限值;是一条水平渐近线,随着时间轴右移,曲线无限向其接近。求微分可得对数增长方程:其中,𝑎=𝑘∙𝐴。常数C的变化会带动曲线的左、右移动,C变大,曲线右移,反之择左移;𝑎被称为产品的“扩散系数”(diffusion coefficient),它决定了产品扩散的速度,数值越大,速度越快。不同产品,市场容量,这表现为的不同。为了标准化,一般都用渗透率(饱和率/普及率/采用率)来进行描述,F=𝑦/𝐴即。方程(1)和(2)可分别表示为(3)和(4):方程(4)为渗透率的原始方程,方程(3)为其一阶导数,是一个开口向下的抛物线,表示创新产品的扩散速度先增长,后下降。用图1形可表示为:图1是创新产品扩散的标准形式,它有一个特点,即拐点左右是对称的,也就是说,在拐点处,创新产品的渗透率正好为50%。产品生命周期一般被划分为四个阶段:引进、增长、成熟和下降[2]。拐点的到来,标志着产品进入成熟期,扩散的速度会不断下降,这是因为,还会有更新一代的创新产品加入竞争,从而对其形成替代。当然,并不是所有序列的增长路径都是严格一致的,S形增长只是整体上的一种趋势,并非绝对法则。例如,戈尔德(Gold)就考察了美国35个生产指标在1930-1955年的时间序列数据,发现只有4个指标触顶之后下折。事实上,他发现了12中不同的模式。所以,“S形增长”只是标准型,现实中存在多种变体。归纳起来,大体可表现为如下四种模式(参考图2):资料来源:范·杜因:《经济长波与创新》, p.23,笔者绘制形式(1)为标准型,描绘的是全新一代产品对旧产品的替代,比如智能手机替代传统手机,汽车替代马车,彩色电视替代黑白电视,以及正在进行的电动汽车对燃油汽车和5G对4G的替代;形式(2)描述的是产品生命周期的延续,这可能是因为发现了新的用途,典型代表就是尼龙这种材料,再比如石油,除了作为能源之外,还可以制作涂料、塑料等,每一种新用途的发现都会延伸创新的生命周期;形式(3)表示的是同一种产品的再生,但功能可能发生了变化,比如自行车,它是作为一种重要的交通工具而出现的,而随着摩托车和汽车的发明,其作为交通工具的功用就下降了。但是,随着健康生活理念的盛行,自行车变成了一种健身器材,骑自行车有时候也成了一种娱乐活动;形式(4)表示的是某种产品进入饱和阶段之后,并没有立即被全新一代的产品所替代,其市场占有率进入到了一个比较稳定的平台期,例如彩色电视机、冰箱、洗衣机等。图3为苹果公司四类产品——手机Iphone、平板电脑Ipad、随身听Ipod和和台式电脑Mac——的生命周期。Ipod引入市场的时间为2001年10月,直到2004财年,其销量才突破100万台,而后进入增长期和成熟期,到2008年,其产量达到峰值,为548万台,而后开始进入下降期,2015年退出市场。Mac的数据从2002年开始,2004年之前,都可以看作是引入期,年销量维持在30万到33万之间,从2005年开始进入快速增长期,2009年突破100万台,2015达到峰值,突破200万台,而后波动下行。笔记本电脑尚未退出市场,但不同品牌(或型号)之间的竞争会使得市场份额发生变化。苹果公司最突破性的产品自然是Iphone,带来人类进入到了移动互联网时代。2007年1月,第一代Iphone手机问世,当年销量仅为139万部。仅仅用了两年时间,便进入到快速增长期,2009年突破2000万部,2015年峰值时达到2.3亿部。但过去几年,随着三星和华为等品牌的崛起,苹果手机的销量和市场份额也都在下降。值得注意的是,Iphone的引入期与Ipod的成熟期,Iphone的增长期与Ipod的下降期正好对应,这是由于Iphone的功能涵盖了Ipod,对其进行了替代。最晚发行的是Ipad,2010年4月首发之后便快速进入到增长期,前80天销量就达到了300万部,后一个季度达到了420万,远远超出了行业分析师的估计。2013财年,Ipad销量达到峰值——7100万,2014-2016年连续三年销量减少1000多万部,2016-2018年连续三年维持在4300-4500万部。可以看出,Ipod符合图2中形式(1)的轨迹,其它三类产品目前更符合形式(4)的轨迹。当然,在每一个类型内部,实际上都存在着形式(1)所描述的替代行为,Iphone已经发行到Iphone 11,Iphone 6之前的机型均已经停产。整体来说,苹果产品的引入期都比较短,能够快速的进入到增长期和成熟期,也就是说,产品的生命周期的跨度比较短。这很难绝对的说是优点或缺点,因为公司总是希望引入期相对更短一些,增长期更长一些。那么,产品生命周期的总时间跨度和各阶段的长度是如何决定的?这对于企业的管理层和产品研发团队都很关键,因为它决定了投资回报率(ROI)和企业的估值。创新是勇敢者的游戏,无论对于创新者,还是对于消费者都是如此。马基雅维利在《君主论》中说:“无论何时,反对派一旦有机会,就会毫无保留地攻击创新者,而其他人则谨慎地防御着。创新者腹背受敌。”谷歌智能眼镜上市之初,被称为继智能手机和平板电脑之后的“又一伟大发明”,《时代》杂志将其评为2012年最佳发明之一,并暗示可能会引发“信息处理技术的革命”。但消费者好像并不买账,有人打趣说到:“我估计谷歌眼睛的使用者会上传大量迎面而来的拳头的特写镜头。”这样伟大的产品,市场表现却远低于预期。问题出现在哪里?罗杰斯在《创新的扩散》中详细论述了影响新产品市场扩散的因素,如产品的相对优势、复杂性、试用性、观察性和兼容性。新产品大多是对旧产品的替代,那么,相对优势就显得尤其重要,一个有代表性的负面营销案例就是赛威格双轮平衡车,它的诞生也被成为是革命性的。2001年在进行宣传时,为了描述其革命性,发明者迪安·卡门将其类比成汽车对马车的替代,认为赛威格两轮平衡车也将对汽车进行替代,成为未来主要的交通工具。从消费者的角度来看,相比汽车来说,赛威格两轮平衡车恰恰具备“相对劣势”,而非“相对优势”,因为它每次充满电只能行驶10英里,只能搭载1人,最高时速仅为12英里/小时,所以,其应用场景实际上非常有限。对于“复杂性”而言,一定是复杂度越低的产品越容易被接受;“试用性”是指消费者能否有体验的机会,就像现在的汽车4S点一般都提供试驾服务,赛威格两轮平衡车当初旨在亚马逊销售,也限制了其拓展市场;“观察性”则是从视觉角度来说的;“兼容性”也会影响消费者对产品的接受情况,比如Iphone的IOS系统与安卓系统有很多不兼容的地方,习惯了用三星、华为手机的用户,接受Iphone的难度就会增加。哈佛商学院工商管理学教授欧菲克(Ofek E.)等在《创新的价值》中将影响创新扩散的力量归纳为:个人力量和社会力量。所谓个人力量(也叫外部力量),就是指消费者在选择是否接以及何时接受新产品时,不考虑社会体系中其他人如何选择,完全凭借的是自己的偏好;社会力量(也叫内部力量)正好相反,其他人的选择对其有很强的影响力,也就是“随大流”,这正是网络外部性的体现。这两个因素可分别由两个参数来代替,个人力量为p,社会力量为q。参数越大,影响力越强。市场营销学专家弗兰克·巴斯描述了创新扩散的基本模式,用数学公式可表述为:上述等式被称为“巴斯等式”,描述的是每一期新增接受者的动态变化。其中 𝑛𝑡=𝑁𝑡−𝑁𝑡−1,表示第t期新增的接受者,等于本期累计接受者(𝑁𝑡)减去前一期累计接受者(𝑁𝑡−1)。M表示潜在的接受者,也就是市场潜力;巴斯等式用文字可表述为:第 t期新增接受者人数 =本期尚未接受的人 ×(个 人 力量 +社会力量 ×截至前一期接受的比例 )所以,时间、市场潜力、个人力量和社会力量都影响着创新产品扩散的速度,以及扩散的轨迹(参考图4)。巴斯等式起源于流行病学模型——标准炎症反应(Standard Inflammatory Response,SIR)模型,也可以理解为易感染(Susceptible)—感染(Infected)—消除感染(康复或死亡,Recovered 或者Die),它描述的是病毒传染的三个阶段。病毒的传播也可以被分为两种途径:一是外部感染,如野味、污染、空气等;二是内部感染,如人传人。以新型冠状病毒(2019-nCoV)为例,所有尚未被感染的人都是潜在感染者,而一旦被感染,脱离被感染状态的就只有两种路径,要么康复,要么死亡,对于康复者而言,很可能会保持一段时间的免疫,新型冠状病毒的情况目前还不知道,水痘(chickenpox)的感染者就可以终身免疫,肠胃炎几乎没有免疫期,一般流感的免疫期短则3个月,长则1年(或更长)。如果没有免疫期,康复之后,又立即变成易感染人群。![]()
在公式(5)中,𝑛𝑡就表示第t期新增感染者,它等于经过外部渠道和内部渠道感染的人数之和,分别等于(𝑀−𝑁𝑡−1)×𝑝和(𝑀−𝑁𝑡−1)×𝑞×𝑁𝑡−1/𝑀,前者理解起来相对容易,即本期未被感染的人数与经外部渠道传,前者理解起来相对容易,即本期未被感染的人数与经外部渠道传染的可能性的乘积;对于后者,多了一个刻画内部渠道强度的内容,由𝑁𝑡−1/𝑀来表示,即本期之前已感染者比例,比例越高,内部渠道的影响力就越大。这一点也很容易理解,在病毒传播过程中,随着感染者比例的提高,哪怕一个人只传一个人,每一期新感染者的数量也会递增。当然,也会出现拐点,因为一旦所有人都感染了病毒,病毒就无法继续扩散了。由此可见,创新产品的扩散与流行病毒的扩散的基本原理是一致的。那么,第t期的累计市场渗透率(𝐹𝑡)就可以被表示成𝑁𝑡/𝑀,第期新接受者的比例(𝑓𝑡)可表示为𝑛𝑡/𝑀,它等于𝐹𝑡−𝐹𝑡−1,即第t期的累计市场渗透率减去前一期的累计市场渗透率。用公式可表示为:所以,只需要知道三个参数,就可以推导出新产品在不同时期的扩散情况,以及市场渗透率情况。假如:那么,该如何预测𝑛𝑡、 𝑓𝑡、 𝑁𝑡、 𝐹𝑡,又如何将其拆分成个人力量和社会力量?运用递推公式(5),我们就可以回答这些问题。比如,对于第1期而言,尚未接受的人群总数为1000万,前一期接受的比例为0,第1期新增接受的人数就等于10,000,000×(0.02+0.2×0)=200,000 ,第1期累计接受人数也是20万,而且全都是通过个人力量传播的;同理,第2期新增接受人数为:其中,个人力量为196000,社会力量39200,期末累计接受人数435200。以此类推,可将前40期的扩散情况表示成表1。表1有几个值得注意的现象,结合图5可以看得更清楚。第一,累计接受人数沿着标准的S型增长轨迹扩散,当期新增接受人数呈倒U型,扩散速度先增加,后递减,第12期达到高点,新增60.5万。截至第12期,累计渗透率已经超过了50%,到第21期,渗透率就超过了90%;第二,在整个扩散的过程中,从贡献率上来说,个人力量趋弱,社会力量趋强。前4期,个人力量占主导,第1期是绝对主导,因为在此之前,已接收人数占比为0。从第5期开始,社会力量占主导,其最高点出现在第13期。至第40期,累计接受人数达到了9,990,100,渗透率为99.87%,其中,个人力量贡献了25.9%,社会力量贡献了74.1%。![]()
社会力量之所以能够快速占据主导地位,主要有两个解释:一方面,社会力量系数为0.2,是个人力量系数的10倍;另一方面,随着时间的推移,累计接受人数和渗透率在不断提高,增强了网络外部性,形成了巨大的黏性。2007年的时候,用智能手机可能被看作是“另类”,或者是新潮,但2020年如果还在用诺基亚(Nokia)3210,一定会被视为“老古董”。所以,社会力量足够强大时,就变成了一种外部的压力。每个群体都有各自的默会规则,想要融入其中,就得按规则行事。这就是网络外部性形成的黏性,常见于互联网信息时代的各种场景。为了考察个人力量和社会力量对新产品扩散的影响程度,以及在不同阶段力量的差异,笔者共设置了五个场景,潜在接受人数都是1000万,但个人力量和社会力量参数的组合不同。不同场景渗透率的变化如图6所示:场景1中的参数与上文中的例子相同;场景2将个人力量扩大1倍,保持社会力量不变;场景3保持个人力量不变,将社会力量降低50%;场景4是在场景3的基础上,再把个人力量增强1倍;场景5是将场景1中的个人力量减少至原来的10%,以此考察个人力量在整个扩散中的作用。图5为不同场景下新产品市场渗透率的动态。如果将场景2与其它4个场景进行比较,就可以发现,如果个人力量和社会力量都比较大(或者至少有一个参数更大),那么,在任意时间点其渗透率都会比较高。![]()
通过两两比较就可以得到相应的结论。第一,场景1和场景2。以前者为参照系,可以发现,个人力量倍增之后,新产品向市场渗透的速度大大提升,虽然个人力量的贡献率仍然是递减的,至第6期,社会力量便开始占主导(场景1是第5期)地位,但整体上,个人力量的贡献率大大提升了,场景1为25.9%,场景2提升至38.27。值得强调的是,个人力量与社会力量并不是互斥的关系,个人力量会反哺社会力量,因为个人力量越强,前期扩散就会越快,网络效应就可以更早发挥作用。但是,社会效应会“反噬”个人效应的空间。拆解场景1和场景2中的个人力量和社会力量(参考图7),可以看出,在前期,一方面,个人力量引起的产品扩散显著增强了,截至第14期,场景2中的个人力量都要高于场景1;另一方面,强大的个人力量也增强了社会力量,使得社会力量的影响力前置,致使新产品的渗透率在第10期就达到了54.3%,仅比场景1中的第14期低2%。到第17期,产品渗透率就超过了90%。前期扩散快的结果就是下半场后劲不足,所以,在场景2中,个人力量从第18期,社会力量从第12期,开始弱于场景1。![]()
![]()
综合而言,个人力量越强,新产品引入期的扩散速度越快,而且,引入期建立的客户群基础会加速增长期的到来。如果没有引入期的客户群基础,社会力量再强,也需要等比较久才能发挥,增长期的到来将会显著延迟。通过比较场景1和场景5的S型扩散曲线(参考图6),能够更清楚的看出个人力量的作用。在场景5中,个人力量参数为0.002,仅为场景1中的10%。可以看出,前期扩散的速度非常慢,增长期显著延迟,直到第17期,新产品市场渗透率仍低于20%,至第25期,渗透率才超过50%。从图7中对个人力量和社会力量的分解也可以看出,场景5中的个人力量非常弱,这与社会力量峰值的延迟是紧密相连的。但是,个人力量的大小不仅仅取决于个人力量参数的绝对值,还取决于其与社会力量的相对大小。这可以从场景1与场景3的对比中看出。两个场景的个人力量相等,但场景3的社会力量仅为场景1的一半。首先,从图6可以看出,相对于场景1,场景3的扩散整体较慢,但增速较为均匀,增长期和引入期扩散速度的差异没有场景1显著;其次,从对两种力量的分解可以看出(图7右上角),虽然两个场景的个人力量参数相等,但并不等于说,两个场景的个人力量扩散曲线是重合的,说明个人力量与社会力量是相互依存的关系。个人力量参数相同,仅仅意味着两个场景有共同的起点。在整个扩散过程中,场景3的个人力量都高于场景1,这是因为,场景3中的社会力量更弱,留给个人力量的扩散空间也会较大。比较场景1和场景3中的社会力量参数,也能够得到有意思的结论。无论是从绝对意义上,还是从相对意义上,场景3的社会力量参数都小于场景1,但其相对于场景1的社会力量扩散曲线,在不同时期,却有不同的表现。在引入期和增长期,场景3的社会力量的扩散效果都明显较弱。但是,正是由于前期扩散速度慢,反而在后期,场景3的社会力量超过了场景1。所以,社会力量主要表现为一种爆发力,社会力量越强,增长期爆发力就越强,在S型扩散曲线中,主要体现为快速上升期的斜率的陡峭程度。从前文的分析可知,个人力量与社会力量是相互依赖的,个人力量增强有助于使社会力量的影响前置,新产品将会以更快的速度扩张(场景2),反之,如果社会力量更强,一旦进入增长期,其扩散的速度就会更快。相对于场景1而言,场景4的个人力量更强(增加1倍),社会力量更弱(50%)。从图6中的S型累积扩散曲线可以看出,场景4在前期扩散更快,后期扩散更慢。从第15期开始,场景1的渗透率反超场景4,并一直维持到最后。从图6可以看出,场景4的个人力量始终强于场景1,只是在扩散过程中,两者的剪刀差在不断缩小,但是,由于社会力量的剪刀差以更快的速度递减,从第26期开始,场景4的社会力量反而超过了场景1。两种力量对比的变化,最终导致渗透率出现了交叉。由此可见,虽然场景4的社会力量参数较小,但这并不意味着,在整个过程中,社会力量都弱于场景1。在场景4中,个人力量参数更大,其扩散曲线始终在场景1之上,但这并不等于说,只要个人力量参数大就有这样的特征,对比场景1和场景2来看,虽然场景2的个人力量参数也为0.04,但其与场景1的个人力量曲线同样也出现了交叉。由此可见,个人力量和社会力量参数的相对大小决定了扩散速度在时间上布局,从而也决定了创新产品扩散的S型曲线和生命周期的形态。个人力量直接作用于引入期的扩散速度,当然,对社会力量也会产生间接影响。个人力量越强,就能越快地建立坚实的客户基础,从而导致增长期迁移。社会力量直接作用于增长期的扩散速度,它体现在增长阶段的斜率上。社会力量越大,斜率越大。社会力量对个人力量的间接影响主要是通过潜在接受者人数实现的,社会力量越强,增长期速度越快(持续时间也会越短),从而对个人力量影响的空间形成挤压。对照图3中苹果产品的例子来看,Iphone和Ipad在发行之初增速就很快,故个人力量就比较强,而Mac和Ipod都经历了比较长、且比较平缓的引入期,个人力量相对较小。进入增长期后,Iphone的扩散曲线比较陡峭,说明社会力量和示范效应也很强。诺奖得主弗里德曼认为,理论的正确性不是建立在假设条件的现实性上,而在于理论的预测能力。对创新扩散模式的抽象,目的也是预测。图8显示了包交换软件和协议与互联网的扩散,散点是实际数据,实线是模拟数据,可以看出,S型扩散曲线有较强的拟合性。欧菲克等(2016)对CD播放器、文字处理器、手机等许多创新产品都做了类似的拟合,发现S型扩散模式都可以很好的拟合新产品上市后的实际数据。![]()
数据来源:ISC InternetDomain Survey但是,这并非故事的全貌。以美国个人电脑的销售情况为例,1980-1984年,年增长率一直维持在50%以上,但随后连续几年负增长,直到1990年才超过1984年的水平,1992年开始新一轮增长期。标准的S型扩散曲线意味着新产品的扩散只增不减,但个人电脑却出现了下折的情况,类似情形还出现在彩色电视机、无线电话机、打印机和录像机的扩散中,差别仅在于下折的幅度和时间长度。在一项关于19个发达国家有代表性的创新产品的扩散曲线的调查中,显示有45%的产品都出现了这样的鞍状曲线——“顶峰—低谷—顶峰—低谷”,出现下折的时机一般在渗透率达到30%的时候,持续的时间长度约为8年,下滑幅度为峰值的约30%(欧菲克等,2016,p.120)。由此可见,鞍状扩散曲线也是常态。![]()
创新产品由慢而快,再由快变慢的扩散节奏是潜在客户群数量、个人力量和社会力量共同作用的结果。在加速的过程中,已有客户群体通过社会效应吸引更多的人接受新产品,但在渗透率超过50%之后,潜在未接受的客户越来越少,约束了社会效应的发挥,扩散速度速度随即变慢。在标准的S型(累积)扩散曲线中,一阶导严格大于零,曲线严格递增,新增接受人数呈现倒U型,只有一个峰值。但在现实中,创新产品的扩散不是一帆风顺的,有时会出现客户流失的现象,也会随经济周期而波动,从而出现存量和渗透率的下降的情况,累积扩散轨迹出现波折,新增用户曲线可能会出现两个或多个峰值。如图9所示,两次世界大战期间,电话、电力、汽车、洗衣机的扩散都经历了显著的波折。1970-1980年代,多种创新产品的扩散又经历了较为显著的波动,如洗衣机,则经历了第二次下折,洗碗机、微波炉也都在不同时间段出现下折。![]()
欧菲克等(2016)研究了《经济学人》杂志在2001年评出的7种主要的创新产品的扩散轨迹,发现个人电脑、录像机和无线电话的新增客户数量都呈现出鞍状轨迹。在这三类产品中,初期的销售都快速增长,但很快就见顶,随后几年,下降幅度都超过了10%,需要经历3年以上的时间才恢复到前期的峰值。他们画出了这三类产品的平均扩散曲线,两个顶峰之间的距离平均为4年,中间的低谷,相对于前期高点下降了16%以上(参考图10)。是否可以在标准型的基础上对模型进行修正,以模拟鞍状扩散轨迹,并对其做出合理解释?![]()
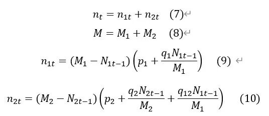
在标准的S型扩散曲线形成的过程中,我们实际上假设了所有潜在客户是同质的,且每个客户都受到同样的个人力量和社会力量的影响,但在现实中,客户至少可以被划分为两个有明显差异的群体:激进派和温和派。这是从对新产品的狂热程度来说的,前者一般被称为“达人”,对于感兴趣领域的新知识和新产品都有较高的关注度,尝鲜的积极性非常高,而后者则相对比较慢热,对创新的感知力有些迟缓。从参数角度来说,激进派属于小众群体,潜在客户群(M)相对较小,但他们黏性高,转化快,个人力量(p)和社会力量(q)都比较强。温和派是主流群体,大众市场,个人力量和社会力量相对较弱。当然,这两个群体并不是截然分割的,激进派也被称为“影响者”,温和派是“模仿者”,意思是说,前者的社会力量有跨群体影响力。一般认为,温和派对激进派没有跨群体的社会力量。以上描述并非理论虚构,而是对历史和实践的一个抽象,已为大量相关研究和实践者的描述所证实(欧菲克等,2016,p.123)。实证研究发现,早期接受群体与中后期接受群体有较为显著的群际差异。以个人电脑为例,早期接受者大多为“技术达人”,很多都是信息技术领域的工程师,对电子产品和计算机非常着迷。大型计算机的问世早于个人电脑,但只适用于大型实体,如企业,或研究机构,工程师们想要拥有一台属于自己的计算机非常合理,他们当中就有一些组装过个人电脑,对于参加各种与计算机相关的论坛也非常积极,还会组建计算机俱乐部或协会。对个人电脑的需求早于个人电脑的诞生,故民用个人计算机的发明能够以很快的速度消化这部分需求,当然,其中也不乏富裕阶层。但是,毕竟价格不菲,超出了主流群体的承受能力,与此同时,电脑的有用性还需要时间来证明。激进派是少数派,潜在客户群数量有限。调研数据显示,激进派客户群的占比约为15%-20%,主流群体占比则在80-85%。在激进派内部,个人力量和社会力量都比较大,从而产品扩散速度比较快,而对于温和派来说,本群体内部的个人力量和社会力量比较弱,激进派对温和派的跨群际影响力也会减弱。两者合力的结果可能就是产品扩散过程的中断,从而形成鞍状曲线。如果考虑客户群体的异质性特征,创新产品扩散模型中的参数就需要做出调整,以充分考虑现实因素,这可以通过修正标准扩散模型来实现。数学表达式为:![]()
𝑛𝑡为第t期的新增接受人数;𝑀为潜在接受人数,包括激进派(𝑀1)和温和派(𝑀2)。公式(9)表示的是新产品在创新激进派中的扩散,形式和逻辑上等价于公式(5),但参数不一样,故用下角标作了区分;公式(10)表达的是产品在创新温和派中的扩散,相比于公式(9)而言,多了一项内容( 𝑞12*𝑁1𝑡−1/𝑀1),表示的是激进派对温和派的示范效应,参数𝑞12表示跨派别社会力量参数,𝑁1𝑡−1/𝑀1表示产品在激进派中的渗透率。如果想要表示没有跨派别社会影响,只需要将𝑞12设为0即可。那么,用文字可描述为:![]()
由此可见,相比较于标准的S型扩散,鞍型扩散的要点就在于考虑客户群体的异质性,以及群体之间的交互性。通过参数校准,便能够模拟出鞍型扩散轨迹,设定:![]()
潜在客户群总数仍然是1000万,其中激进派为150万人,占比15%,温和派850万,占比85%,这样分配比较贴近现实。对于两个群体,相对于社会力量参数而言,个人力量参数都较小,但激进派的个人力量和社会力量参数都大于温和派。激进派对温和派的跨派别社会力量参数为0.001,是参数值中最小的。结果如表2所示。![]()
……
结合图11,可以得到几个重要结论:第一,激进派扩散速度很快,第7期达到峰值,第10期累积渗透率便超过了90%,同期,温和派的累积渗透率仅为5.56%,到第25期,激进派的150万潜在客户已经全部接受创新产品;第二,一个巧合是,同样是在第10期,温和派新增接收人数开始超过激进派,至第34期,累积渗透率超过90%;第三,第7期为第一增长阶段的高点,当期新增接受者数量为26.7万人,其中,激进派21.1万,占比79%。连续5期新增接受者人数下降,第12期为谷底,当期新增接受人数为15.2万人,相比峰值下降了43%,而后在温和派的牵引下再次进入增长期,到第18期才超过前期高点。那么,销量复苏的主要动力是什么?从图12可以看出,激进派的跨派别社会力量最弱,温和派个人力量仅在前4期发挥主导作用,从第5期开始,社会力量便占据主导地位,在第25期达到峰值。温和派的新增客户数量在第24期达到峰值。![]()
![]()
创新是在一个网状结构的社会中传播的(参考图13)。除了一小部分人可能是信息孤岛之外,社会基本可以被看作是一个相互连接的完整的网络,但是,密度并不是均匀的,而是呈现块(即群体)状结构,有些节点的“中心性”(centrality)更明显,有些群体的密度更高。这种结构被称为“帕累托分布”,与之相对应的是随机分布——每个节点的连线数量是相等的。所谓物以类聚,人以群分,大体是一个普适性的规则,其分类的依据可能包括民族、种族、校园、价值观、宗教信仰等等。在每一个群体内部,成员(在某些方面)有着共同的认知,从而,信息在同质性的群体内部的传播速度会更高,跨群体的传播效率更低。就创新而言,激进派的个人力量和社会力量都更强,激进派对温和派的传播,需要在温和派中找到关键节点,然后借助于温和派内部的力量推动创新的扩散。基于对社会的网络结构的分析,有助于理解为什么有些创新会呈现病毒式传播的发散状态,而有些却快速走向终结,这可能是因为,初始节点没找准确,或者是客户群定位不准确。![]()
资料来源:尼尔·弗格森在《广场与高塔》中用此图描述信息在网状社会结构中的传播,笔者对其作了重新诠释。在创新的鞍状扩散模型中,参数更多,这也使得产品扩散轨迹的形态也更为灵活。前文分析只是将潜在客户群划分为两个群体,实际上还可以根据现实情况进一步细分,并对每个群体设置不一样的参数。如果新增接受客户数量有三个峰值,那就可以划分为三个群体。标准的S型扩散曲线与倒U型新增客户增长轨迹相对应,只有一个峰值,在此之前,扩散速度递增,在此之后,扩散速度递减。所以,它可以被看作是鞍状曲线的特殊情形。在鞍状扩散模型中,也可以通过设置不同的参数,实现单峰增长路径。理解鞍状扩散路径的微观机制的意义在于,它可以为企业经营者或营销规划人员在面对产品销售降温时提供一个思考应对方案的思路。销量下滑的原因是什么,是短期调整,还是长期趋势?前期客户的特征是什么?产品在温和派扩散的决定性力量是什么?这些问题都可以通过研究模型中对应的参数去回答。![]()
马基雅维利在《君主论》中所说的:“无论何时,反对派一旦有机会,就会毫无保留地攻击创新者,而其他人则谨慎地防御着。创新者腹背受敌。”齐美尔(Simmel)为马基雅维利作了很好的注解。他认为,一个个体可依附的团体是和谐的,个人依附这个团体后,他将会明确地成为这个圈子里的人。所以个体的社会关系会影响甚至约束该个体的行为,因此,创新者会因为采用了某项创新而偏离这个体系的规则,最终成为“陌生人”。基于上一节对创新激进派和温和派的描述,可以认为,马基雅维利和齐美尔的描述,更适用于温和派。对于激进派而言,个人力量和社会力量都比较强,对创新整体上持欢迎态度,所以,创新激进派中的“创新者”不仅不会腹背受敌,反而会成为被模仿的对象。敢于创新是这个群体的标签,所以也不会成为“陌生人”。但是,对于温和派来说,激进派的乐趣有点事不关己的意思,在模型中,表现为激进派跨派别社会力量参数比较小。温和派的个人力量较小,谁都不想成为最先“吃葡萄的人”,他们很容易被其他温和派看作异类,他们的出发点是经济实惠,需要见到实效才会接受新产品。在鞍形曲线的模型里,极端情形的参数组合为:![]()
意思是说,创新温和派只有社会力量参数为正,只有这一个扩散的渠道有效,其它两个路径都走不通,温和派与激进派之间是完全分割的状态。这种极端状态下,产品扩散的格局如图14所以,产品扩散的路径等同于其在创新激进派中的扩散路径,温和派接受者人数始终为零,累计接受者人数的最大值就是激进派总人数(150万),渗透率的最大值就是激进派所占的市场份额15%。这是企业管理者和营销人员经常面临的困境,对温和派有影响力的不是激进派,而是温和派自身,但由于其个人力量很弱,前期客户基础无法建立,新产品的扩散只能是短暂的繁荣。经济学家将这种现象比喻成“企鹅效应”,温和派就像企鹅群体,它们必须跳进海里才能获得食物,但它们不确定海里是否有海豹和鲨鱼正在等着它们跳下来,所以,它们都希望有别的伙伴先跳下去试水,从而出现了协调困境。这是很多创新产品在开拓市场时所遇到的问题,即使不是此处描述的极端情形,和如果太小,也会长期出现销量下滑的现象,还没等到下一个高峰出现企业可能就破产了。![]()
所以,营销者需要思考的问题是,如何提高温和派的个人力量,或者说,对温和派中的细分群体进行精准营销,让他们成为新产品的接受者,为温和派社会力量的发挥打下基础。欧菲克等(2016)认为,提供“完整产品”是一个可供选择的方案。所谓“完整”,是指不仅提供创新产品本身,还应该包括售后服务和配套设备等,打消消费者使用完全陌生的产品的一切后顾之忧。亚马逊在上世纪80年代的时候就制定了数字化战略,90年代中期电子书就诞生了,但到2000年初,电子书几乎退出了市场,连市场上的分析师都不再预测其销量了。重要原因在于,它缺少配套设备,亚马逊研发Kindle的目的是买电子书。当然,还有其他方式增强个人力量,比如网购中承诺的“7天无条件退款”就是一个案例。相对于线下销售而言,网购的缺点就是缺少“可试用性”,消费者不确定产品合不合适,“无条件退款”就可以消除这一不确定性。那么,“买家秀”的作用是可以被看作是提高社会力量,能点开买家秀查看的潜在消费者应该与买家的眼光是相似的,如果买家的评价都说好,那购买的可能性就高了,反之,如果给的都是差评,那生意可能就做不成的。商家当然也可以采用一些方法去提高社会力量参数,例如送一些小礼品去鼓励买家给好评等等,再比如云存储公司Dropbox激励客户推荐新客户以获取更大的免费存储空间等。克服创新温和派企鹅效应的关键,在于找到那些跃跃欲试的企鹅,助他们一臂之力,推它们入水。![]()
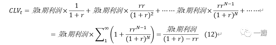
商业的目的是创造客户,这是营销大师彼得·德鲁克的名言,但这并非商业的终极目的,终极目的一定是创造利润。对于每一个创新产品来说,创造尽可能多的客户,并且从客户身上获得尽可能多的价值,才能最大化创新产品的价值。前文讨论了创新产品扩散的基本模式,从中可以得到各个时期的接受者数量,大体上也等价于产品销量,但要想预测产品的终身价值,还需要考虑获取以及维护客户的成本、客户的保留率(retention rate,rr),以及时间价值(time value)。市场营销学中的“客户终身价值模式”(Customer LifetimeValue,CLV)为计算创新的货币价值提供了一个分析框架(欧菲克等,2016)。CLV模式的思路是分别计算每一个时期新创造客户的净利润的现值。利用CLV分析框架只需要回答四个问题:第一,每一时期从所有客户身上的盈利是多少?它等于当期总收益减去客户服务成本。第二,保留率是多少,这决定了客户能否为公司持续创造利润,计算公式可表示为:![]()
但是,分子必须是分母的子集,也就是说,要把当期新增的客户从分子中剔除掉。与保留率相对的是“损耗率”,等于1减保留率。那么,要想计算第N期的客户,到第M期还剩下多少,只需要将第N期开始的客户数量,乘以即可。假如第1期客户数量是100,保留率为0.9,第2期,老客户数量就是90,第3期又会流逝9位客户,只剩下81位,整体呈现指数衰减轨迹。对企业来说,肯定是保留率越高越好,所谓服务创造价值,瞄准的就是客户的黏性,它可以提高保留率。前文讨论创新扩散的S型或者鞍型曲线,目的是想预测每一个时期创造的客户数量。但是,客户对公司的价值,并非只局限于当期。极端情况下,如果保留率等于1,那就意味着,每一期新创造的客户在将来各期仍将创造利润。所以,第期新创造的客户价值的计算公式为(未贴现):![]()
其中,1/(1-rr)被称为“平均停留时间”,比如,如果保留率是80%,那么平均每个客户的平均停留时间就是5期,从而,公式(11)的意思就是:每一时期新创造客户的价值(未贴现)等于当期利润乘以客户的平均停留时间。第三,货币的时间价值。不同时期创造的客户在时间价值上是不等的,这与今天的1元钱与明天的1元钱不等是一个道理。为此,如果考虑折现因素,公式(11)就变成:![]()
实践中,贴现率常使用公司的资本加权平均成本(WACC),故公式(12)可以表示成:![]()
举例来说,中国移动今天获得了一位新客户,每个月的电话费是200元,客户服务的成本是20元/月,净利润就是180元/月,2160元/年。以年为单位的保留率是90%,移动公司的资本加权平均成本(WACC)为7.5%,那么,这位客户对于移动公司的终身价值的贴现值就是:2160/(1+7.5%-90%)=12342.9元。第四,购置成本,即获得一位客户所需要的所有成本,包括广告、奖品、雇员报酬等市场营销费用。从获客流程上来讲,一般是先考虑购置成本,再算收益。但从经营逻辑上来讲,也可以是先计算客户的终身价值,再考虑成本问题。购置成本需要分摊在已接收产品,从而是付费的客户身上,而不是所有的潜在客户身上。加入中国移动在一次营销推广活动中的总花费是10万元,参与活动的人数共有10万,但最终只有1万人成为移动的用户,那么,每位客户的购置成本就是10元,需要从客户终身价值中减去。所以:![]()
如果产品已经推向市场,在核算创新的价值时,还需要将历史销售情况考虑进去。至此,将对产品扩散轨迹的预测和每位客户的未来终身价值相结合,就可以评估创新的价值。当然,这仍然是一个相对简化的计算方法,因为这里的保留率被假定为是个常数。现实中,企业往往需要考虑产品的更新换代问题,新产品的推出,往往会加速客户从老产品中流逝,从而降低保留率。更为重要的是,这里实际上还假定了一个完全垄断的市场,即只有一家公司,所有潜在客户都会成为这家公司的真实客户,只是时间早晚而已,所以,在考虑潜在客户人数的时候,还需要将公司的市场份额考虑进去。比如,1000万总潜在客户,市场份额是30%,那公司的潜在客户群就是300万,再根据以往数据,从这300万客户基础上划分创新激进派和温和派。除此之外,在建模时,还要考虑客户存量下降的情况(类似于图2中的第1种情形),这既可能是行业竞争的结果,也可能是产业的迁移和替代。任何创新,都可能变为传统。本文从传播学的视角解释了创新产品扩散的S型或鞍型轨迹的微观机制,并基于客户终身价值模型搭建了核算创新的货币价值的分析框架,对于企业管理者和风险投资者都有一定的指导意义。需要强调的是,在实际运用中,不宜将模型的参数视为常数,可依据实际经济运行情况对其做一定修正。比如,本次新冠疫情的爆发,将会刺激物联网、数字化和智能技术的扩散,这可以通过对社会参数做一定的修正(上调)来实现外部冲击的影响。文中关于单一产品扩散的分析,同样适用于分析中观层面的产业变迁和宏观层面的产业在全球范围内的迁移,对于当下正在进行的智能革命,和中美间的技术竞争,都有一定的启发。现有学术研究结论还认为,能够将科技创新与企业组织创新结合起来的企业会有更高的组织效率,能够引领重要创新的国家也能够在世界政治经济体系中获得更多的话语权。但是,技术革命并不只是科学家和企业家推动的,它需要金融资本的支持,还需要政治体制的变革。技术革命是个系统性工程,如何引爆新一轮科技革命,加速新技术的扩散,在强调竞争的同时,更要注重协同,特别是在以城市群为单位战略架构中。我们当下以政治锦标赛为代表的政治体制构架更倾向于强调竞争的作用,忽视了协同的重要性。任何创新,都可能变为传统。每一次重大技术创新,都会带来相应的技术—经济范式的转变。传统的技术—经济范式的既得利益者很有可能成为范式转变的阻力,因为他们为此投入了大量的成本,包括人力和资金,故希望延长其获利的周期。面对新范式的挑战和竞争,他们首先采取的可能是利用现有的规则,或者制定规则的权力去排斥竞争,而不是去适应新范式,更别对自己的革命而成为新范式的创造者。所以,唯有对创新的敏感性,对风险有足够的包容性,才能在不断变化的世界中永立潮头。邵宇为东方证券首席经济学家,总裁助理;陈达飞为东方证券宏观分析师
参考文献:
1. Wu,2018. LOSING STEAM?——An Industry Origin Analysis of China’s Productivity Slowdown,35th IARIW generalconference and seminars at NSD of Peking University.
2. 范杜因:经济长波与创新,上海文艺出版社1992年版
3. 蔡昉:从人口红利到改革红利,社会科学文献出版社。
4. 欧菲克、穆勒和李白:《创新的价值》,中信出版集团2016年版。
5. 范·杜因:《经济长波与创新》,中国人民大学出版社1992年版。
6. 罗杰斯:《创新的扩散》,电子工业出版社2016年版。
相关文章链接:
创新的范式:康波、世界体系与大国兴衰——何为中美长期博弈的关键词
陈达飞 | 创新的范式:康波、世界体系与大国博弈(附PPT)
创新演化、产业迁移与世界政经体系转变——从病毒的传播理解创新的扩散
这是一瓣在2018年4月23日“世界读书日”发起的一个公益活动。每篇文章获得的赞赏,全部捐献给“深圳市石门坎教育公益基金会”,为石门坎的孩子建一个“图书馆”。感谢各位读者的支持,目前已为小朋友们筹集6350元“图书基金”。
|