以下文章来源于中科院地质地球所 ,作者罗浩
我们的目标就是做一个科学、严谨、生动、有趣的地球科学科普平台
出品:中科院地质地球所
公众号:dizhidiqiusuo
【前沿报道】Nature Communication:
“极光珠”的剪切阿尔芬波源——研究亚暴触发机制的新思路
极光这种宏伟壮观的自然景象,颇具神秘色彩,其运动变化,像是自然界的魔术师,以天空为舞台上演一出出光的大戏,上下纵横成百上千公里。极光的形成和磁层亚暴密切相关,磁层亚暴是磁层中的磁能和粒子热能集中释放并转化为粒子动能的过程(Akasofu, 1964)。一次大的亚暴所释放的能量,相当于一次5.5级地震的能量。能量的释放导致地球磁层发生诸如极光增强(图1)、同步轨道高能粒子注入、地磁脉动等一系列空间物理现象。
图1 亚暴爆发过程中极光点亮伴随的“极光珠”现象(图片来源:ESA)
自从1964年发现磁层亚暴以来,其触发机制一直是磁层物理极具挑战性的核心问题之一,亚暴触发过程的时间在分钟尺度,而涉及的空间尺度从几十公里的中高层大气延伸至磁尾几十个地球半径,要想在有限时间内探寻如此广阔空间区域的触发源具有相当大的难度,描述磁层亚暴过程的模型一共有六个之多,但目前为止其触发机制仍然存在较大争议(Lui, 2009)。
极区电离层中的极光点亮被认为是亚暴触发最清晰而直接的证据,超过90%的亚暴事件都能够在点亮的极光弧附近观测到类似珍珠状的“极光珠”,因此,极光珠被认为是亚暴触发的指示器之一。研究极光珠的精细结构及其产生机制能够为理解亚暴触发机制提供重要的参考信息。
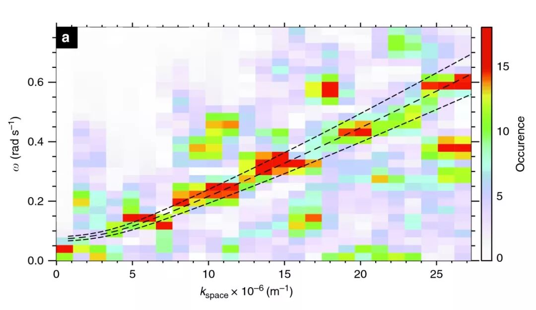
英国科学家Kalmoni等人近期在Nature Communication上发表最新研究成果,利用一种新颖的极光分析方法(state-of-the-art)得到极光珠色散关系(图2颜色区域),利用T96磁场模型,将极光珠区域投影到磁尾等离子体片区域,并基于理论计算得到该区域的剪切阿尔芬波色散关系(图2虚线),两者对比显示出非常好的一致性,由此推断,伴随亚暴的极光珠是由磁尾等离子体片中剪切阿尔芬波所携带的能量沿磁力线传播到极区电离层所激发(图3)。
图2 观测得到的极光色散关系和理论计算的阿尔芬波色散关系对比(Kalmoni et al., 2018)。其中颜色区域代表在该波数对应频率的发生率,三条虚线分别代表理论计算的磁尾赤道面区域平行波长为1.8RE,1.8RE±10%的阿尔芬波色散关系曲线
图3 极光观测区域以及对应利用T96磁场模型(Tsyganenko et al., 1995)将该区域投影到磁尾赤道面。磁尾赤道面的等离子体片中剪切阿尔芬波携带能量传播到极区电离层激发极光珠
文章的独特之处在于以下三点:
(1)首先通过选定极光珠这一极光结构来研究其产生机制,而极光珠又是亚暴触发的指示器之一,把亚暴触发机制转变为对极光珠的产生机制的研究。
(2)其次,由于极光珠所对应的磁尾等离子片区域相对于整个亚暴发生过程所涉及的巨大空间尺度而言较小,因此通过将极光珠区域沿着磁力线投影到近磁尾等离子体片中并探寻其来源,这将大大提高探寻亚暴触发机制的效率。
(3)最后,通过得到极光珠的色散关系,从时间和空间两个维度上揭示极光珠特征,发现和近磁尾等离子体片不稳定性所激发的阿尔芬波密切相关。
该研究为解决亚暴触发机制问题提供了新的思路。
相关参考文献
Akasofu S I. The development of the auroral substorm[J]. Planetary and Space Science, 1964, 12(4): 273-282.
Kalmoni N M E, Rae I J, Watt C E J, et al. A diagnosis of the plasma waves responsible for the explosive energy release of substorm onset[J]. Nature communications, 2018, 9(1): 4806.
Lui A T Y. Comment on “Tail reconnection triggering substorm onset”[J]. Science, 2009, 324(5933): 1391-1391.
Tsyganenko N A. Modeling the Earth's magnetospheric magnetic field confined within a realistic magnetopause[J]. Journal of Geophysical Research: Space Physics, 1995, 100(A4): 5599-5612.
(撰稿:罗浩/地质地球所地星室)
阅读推荐:
临近空间科学覆盖学科广泛,涉及大气科学、空间物理、飞行器技术、探测载荷技术、天文观测、遥感观测等,"临近空间的奥秘"公众号将为您带来临近空间科学相关新闻及科普知识。
投稿、转载请联系:
sunjy@aircas.ac.cn
▲ 微信号:nearspace_hh ▲